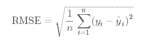
Root Mean Squared Error (RMSE)
The square root of the mean/average of the square of all of the error.
The use of RMSE is very common and it makes an excellent general purpose error metric for numerical predictions.
Compared to the similar Mean Absolute Error, RMSE amplifies and severely punishes large errors.
MATLAB code:
RMSE = sqrt(mean((y-y_pred).^2));
R code:
RMSE <- sqrt(mean((y-y_pred)^2))

1470

被折叠的 条评论
为什么被折叠?



