参考教程:
一、复数项级数
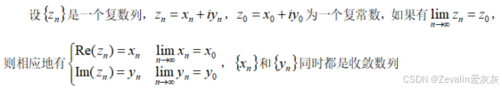
1、复数列的极限
(1)复数列的定义:

(2)复数列的收敛与发散定义:


(3)复数列与实数列的敛散关系:

2、复数项级数
(1)正项级数敛散性的常用判别法:
①比较审敛法:

②比值审敛法:

(2)级数添加、减少或改变有限项,不会改变级数的敛散性。
(3)复数项级数的收敛与发散定义:

(4)复数项级数与实数项级数的敛散关系:

(5)级数的绝对收敛与条件收敛:

(6)定理:

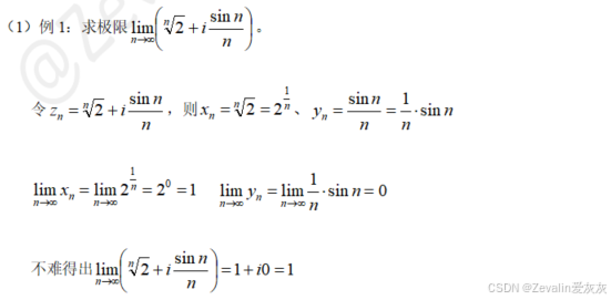
3、例题





二、幂级数
1、幂级数的概念
(1)复变函数列的定义:

(2)幂级数的定义:

2、收敛定理(阿贝尔定理)


3、收敛圆与收敛半径
(1)幂级数的收敛范围可能的情况:

(2)收敛圆与收敛半径的定义:

(3)收敛半径的求法:

4、幂级数和运算和性质
(1)代数运算:

(2)代换(复合)运算:

(3)分析运算:


5、例题






三、泰勒级数
1、泰勒定理


2、将函数展开成泰勒级数
(1)直接法:

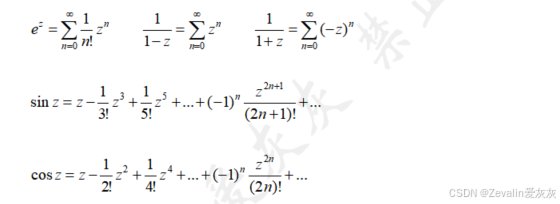
(2)间接展开法:
借助于一些已知函数的展开式,结合解析函数的性质、幂级数运算性质(逐项求导、积分等)和其它数学技巧(代换等),也可以求出函数的泰勒展开式

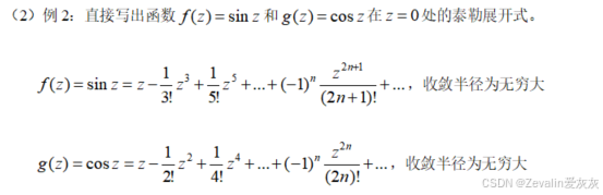
3、例题






四、洛朗级数
1、双边幂级数
(1)双边幂级数的定义:

(2)双边幂级数的收敛域:
根据双边幂级数的定义可知,它可拆分为负幂级数和正幂级数相加,如果负幂级数和正幂级数同时收敛,那么双边幂级数也收敛,反之亦然


2、洛朗定理

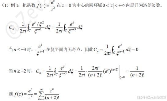
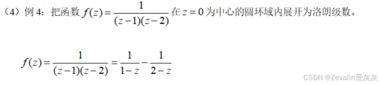
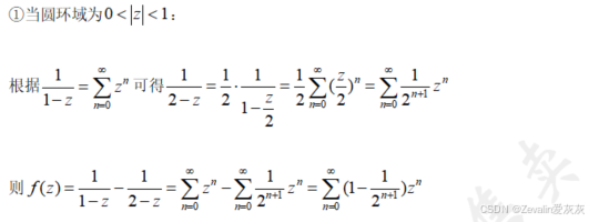
3、例题








5278

被折叠的 条评论
为什么被折叠?



