四、串并联谐振变换器(LCC)
1、LCC谐振变换器简介
(1)下图所示的是串并联谐振变换器的电路图及等效电路图,其中在大电感条件下,负载侧可等效为一个直流电流源。

(2)有源器件的控制方案不同,那么谐振变换器的基本模态也会有所差异,下图所示的是开关频率小于谐振频率的电路响应及基本模态,分析方法和分析串联谐振变换器类似,由于使用并不广泛,这里不过多赘述。

(3)串并联谐振变换器同样可能会工作在断续模式,这里不进行一一介绍。

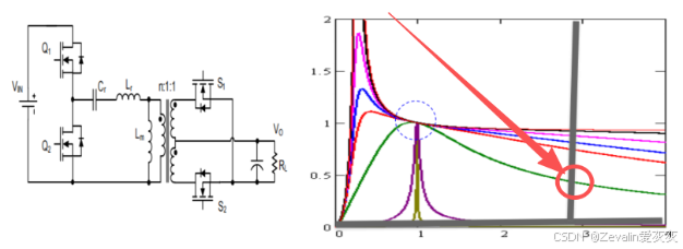
2、增益
(1)下图所示的是串并联谐振变换器的增益曲线,与前两种谐振变换器不同的是,它存在一个与负载无关的恒压输出点(即负载电阻的变化不影响电压增益,此时和
存在串联谐振),推导过程此处不过多赘述。

(2)从等效电路也不难看出,值的大小决定了串联谐振频率
与并联谐振频率
的相对偏移量,当
越大时,增益曲线在峰值附近的变化率越大。

五、LLC谐振变换器
1、兴起背景
(1)在设计DC/DC变换器时,需要考虑其电压工作范围,如果对输出电压的范围要求较高,也即要求浮动范围小,那么DC/DC变换器就需要应用大容量电容器以并稳定输出电压。

(2)在设计所有PWM变换器时也都有类似的问题,如果预期输出电压的范围较大,也即宽占空比范围要求,那么变换器的效率也会相应地较低。

(3)前面介绍了串联谐振变换器的设计方法,其中以100%~10%负载(负载阻值的上下限倍数关系约为10倍)为例进行说明,但分析串联谐振变换器的增益曲线规律,不难看出,当负载范围变为100%~0.01%时,Q值的选取会相应地变小,这非常不利于轻载调节,并且也存在高输入电压下的关断电流及导通损耗的问题。

(4)并联谐振变换器不会有轻载调节的问题,但它同样存在高输入电压下的关断电流及导通损耗的问题。

(5)LCC谐振变换器是由电路拓扑“排列组合”产生的,LLC谐振变换器也是如此,它们的增益曲线如下图所示,这种对称的结果并不意外,首先“串联路”的电容和电感能构成谐振腔,它们的谐振频率可称为“串联谐振频率”,而加上“并联路”元件组成的谐振腔,其谐振频率可称为“并联谐振频率”。如果并联电容,高频电流的通过性提高,高频成分更容易产生平衡的能量置换,则并联谐振频率大于串联谐振频率,而如果并联电感,高频电流的通过性降低,不难得出并联谐振频率小于串联谐振频率,这从数学公式中也能推导出来。

(6)LLC谐振变换器的优势:
①无论是轻负载还是重负载,输入侧开关管均能实现ZVS技术。
②负载侧二极管在特定开关频率下能够实现ZCS。
③不仅能进一步降低开关损耗,还能减小导通损耗。

(7)下图所示的是LLC谐振变换器的增益曲线,当开关频率在串联谐振频率附近时,电路会有比较高的效率,如果输出电压降低,无论是轻负载还是重负载,都能实现ZVS技术。

横向对比以往介绍过的变换器,在宽输出电压下,LLC谐振变换器的效率可以说是完全领先的(深紫色线为LLC谐振变换器的效率,粉紫色线为PWM变换器的效率)

2、模态分析与软开关实现
(1)LLC谐振变换器大致可分为下图所示的三个工作区间,三个区间的交界点即为串联谐振点。

(2)当LLC谐振变换器工作在区间2时,它普遍具有6个模态,不过前三个模态与后三个模态具有高度对称性,因此仅介绍前三个模态的工作流。




(3)ZVS技术与ZCS技术的实现:




3、状态轨迹
(1)应用同步整流技术,可以将LLC谐振变换器输出侧的二极管替换为晶体管,在二极管应该导通的时候控制晶体管导通,在二极管应该截止的时候控制晶体管截止。
(2)使LLC谐振变换器工作在区间2,同样地,仅介绍前三个模态的状态轨迹。
①模态1:



②模态2:



③模态3:



④6个模态的状态轨迹如下图所示,前三种模态的分析和后三种是高度对称的。

(3)不同开关频率对应的状态轨迹:
①开关频率等于串联谐振频率:

②开关频率大于串联谐振频率:

③开关频率小于串联谐振频率:

4、设计方法与数学模型
(1)在设计LLC谐振变换器时,往往不会让它工作在串联谐振频率上,原因主要有两个,一是输出电压有纹波,这将导致工作点可能在串联谐振频率附近来回抖动,二是预留一定的调节余量。

(2)在设计LLC谐振变换器前,先对LLC谐振变换器进行数学分析,为了简便计算,进行数学分析时可将开关死区忽略不计(当死区时间远小于开关周期时,可将死区移除,死区两端拼接,不影响死区中的参量求解),假设开关频率等于串联谐振频率。




(3)设计步骤举例及数学模型优化:
①需求为(最大)输入电压为400V,输出电压为48V,输出功率为1000W,输出电压稳压时间(Hold-up time)为20ms,电路效率大于95%,负载变化范围为20%~100%,电路拓扑如下图所示。

②根据经验选取开关频率,所谓“经验”比较复杂,它与器件特性等相关,此处不展开介绍。
③(最大)输入电压与输出电压之间的倍数关系通过变压器实现,倍数关系对应变压器匝数比,有。
④根据实际需求设计输入电压范围,因为实际中输入电压不一定稳定在400V,可能是一个宽范围输入电压,比如220V~400V,当输入电压低于400V时,谐振变换器相应地需要提高增益;相应地,有电压范围的选取就有工作点位置的确定,串联谐振频率点往右,该谐振变换器相当于串联谐振变换器,负端无法实现ZCS,且不利于轻载调节,同时为了源端能够实现ZVS,工作点需要选取在增益曲线的“区域二”中。

⑤在开关死区中,开通晶体管前需要对晶体管的结电容进行放电,关断晶体管前需要对晶体管的结电容进行充电,这个过程是近似恒定不变的,根据电容的伏安特性,结电容的两端电压就是近似线性变化的,结合先前对LLC谐振变换器进行的数学分析,可以得出开关死区内的电感电流为
,在此电流下,需保证死区时间
内
能够完成结电容的充/放电,根据电荷守恒,有如下表达式,其中
为单个晶体管结电容大小为降低导通损耗,需最小化有效值电流,优先选择较大的电感值。


⑥上一步的结论是建立在死区时间远小于开关周期的基础上的,如果死区时间无法忽略不计,(开关周期与串联谐振频率
作差的结果越大,死区越难忽略),那么整个电路的数学模型需要进一步优化(要想进一步减小有效值电流,励磁电感的选取值需要更大,相应地,死区时间也需要加长,这种制约关系在忽略死区时是矛盾的,因此必须优化数学模型)。

在忽略死区得出的励磁电感电流表达式的基础上考虑死区(仍然将死区中的励磁电感电流近似为恒流),可得



⑦最后确定及
,它们的关系为
,这意味着
越大,Q值将会越小,那么开关频率将会处在更窄的频带中,且经过数学分析也能看出,
越大,谐振腔电容所受的电压应力也会更小,晶体管的有效值电流(导通损耗)也会更小,因此往往希望
尽可能往大取值。

⑧不同和Q值的组合所能达到的最大电压增益不同(开关频率等于并联谐振频率时达到最大电压增益),三个变量可构成一个三维空间中的扭曲平面,同时
和Q值的数值关系也可构成一个三维空间中的扭曲平面,两平面相交,得到关于
和Q值的增益曲线,增益曲线的最小值需大于输入电压为最小值时谐振腔所需的电压增益,否则无法满足需求。

⑨开关频率选取1MHz,一种设计结果如下图所示。

六、同步整流技术
1、同步整流技术的背景
实际的二极管均存在正向导通电压,当LLC谐振变换器的负端使用二极管作为开关元件时,二极管的导通损耗可由二极管压降乘以电流对时间的积分得出,由于导通压降无法消除,这就决定了大电流场景(尤其伴随着低输出电压)下二极管将产生非常严重的导通损耗

为了减少负端的导通损耗,可以将负端的二极管替换为带体二极管的主动开关器件(如MOSFET管),当原二极管在某个时刻应该导通时,控制主动开关器件导通即可,如果控制开关导通的时机有延迟,主动开关器件的“体二极管”会暂时先导通
主动开关器件虽然增加了驱动损耗,但其导通损耗远小于二极管的导通损耗,这就能解决二极管产生严重导通损耗的问题,以上就是同步整流技术,它不仅仅能应用在LLC谐振变换器中,对于其它有类似问题的变换器同样适用
2、主动开关器件的控制
(1)自激驱动:
①电压自驱动:
当器件导通所需的门极电压与谐振变换器负端的电压大小相近时,可直接使用负端电压驱动MOSFET管开通,当然,这种方法的前提是负端电压的变化趋势与原二极管的导通/关断时机完全吻合
如果器件导通所需的门极电压与谐振变换器负端的电压大小相差过大时,可借助辅助线圈绕组从变压器“取”合适大小的电压,用该电压驱动MOSFET管开通
如果谐振变换器负端电压的直流分量过大,可用电容隔离负端电压的直流分量后,用以驱动MOSFET管开通

②电流自驱动:
当器件导通时,其支路应有相应的电流,对此可以考虑使用支路的电流作为开关管的驱动信号(开关管的体二极管开通时能使支路能够通过电流),将其放大后作为开关管的门极信号,这种方法理论上是万能的,不受网络拓扑限制,但如果应用在高频电路中,电流传感器(Current sensing)的感性特性将会影响电路原本的电流波形,显然它不适用于LLC谐振变换器

(2)IC控制驱动:
器件的门极信号完全由芯片控制,工程师仅需考虑芯片需要接入哪些信号作为参考即可

3、同步整流技术应用
(1)以下是使用电压自驱动的PRC谐振变换器和LCC谐振变换器的电路图,这种驱动方法对它们而言并不是最优的,因为负端的电压信号呈正弦状,而门极信号最好呈方波状;SRC谐振变换器和LLC谐振变换器不能使用电压自驱动方案,因为其负端开关管的节点电压跳变是由开关管状态变化引起的,换句话说,开关管状态变化是因,节点电压跳变是果,因果倒置是不可行的。

(2)对此,SRC谐振变换器和LLC谐振变换器可以考虑使用电流自驱动方案,经过分析,输入端流入变压器的电流可以用来做负端开关管的驱动信号,但在实际的物理世界中,励磁电感和理想变压器是一体的,根本无法获取这个电流,对此需要增加电感元件,“构造”出这样的一个电流,当然,代价就是使用了更多的元件。

(3)为了不在SRC谐振变换器或LLC谐振变换器中加入额外的元件,可以使用芯片对开关管进行控制,芯片获取信息的电路与开关管并联,当开关管的体二极管导通时,电流从体二极管流过,体二极管将会产生压降,当压降绝对值大于一个阈值时,芯片控制开关管导通,由于开关管的导通损耗低,因此压降很快就会下降,接着当压降绝对值小于一个阈值时,芯片控制开关管关闭,半周期内剩下的时间为体二极管导通,这么做的目的也是留有一定的控制误差余量。

(4)芯片获取信息的电路与开关管并联,这意味着芯片与开关管可以集成为一个封装,这在低频场景下完全没有问题,但在高频场景下,其封装引脚上的寄生电感无法忽略,这将导致两端电压的相位超前与电流,从而引起提前导通和提前关断的现象,从而增加了损耗。

七、软启动与短路保护
1、软启动的背景
(1)前面在介绍各种变换器时,都是针对它们的稳态做分析,以电压源型负载为例(负载并联大电容),在分析它们的时候,都是默认其电容具有一定电荷量,能够维持负端电压,但是,在变换器启动的时候,这个电容的初始状态是零电荷的,如果对其直接施加一个很大的电压,那么变换器的电流将会非常大,相当于短路,极有可能损坏MOSFET管等元件。
(2)继续以电压源型负载为例,为了解决启动过程的过载问题,在启动的时候可以将开关频率提高,使谐振变换器工作在一个电压增益较低的点,以降低启动瞬间负端电压的瞬变量。

(3)继续以电压源型负载为例,举例几种已量产芯片的软启动方案:
①从低频开始启动,启动瞬间电流应力会稍高。

②从高频开始启动,启动瞬间电流应力会减小,但启动过程结束前还需要提高开关频率降低电流应力。

③从中频开始启动,启动瞬间电流应力会减小,但启动过程结束前也需要提高开关频率降低电流应力。

2、软启动的实现
(1)前面介绍的4类谐振变换器,其增益曲线在高频方向基本都没有很低且容易实现的电压增益,对此可以考虑改变增益曲线,直接构造零电压增益的工作点,比如添加一个陷波器(陷波器的特点是滤除某一特定频率成分的信号,该频率对应的增益为0),如下图所示。

(2)基于加设陷波器的方案,可以再设置一个串联谐振频率点,比如添加一个双带通滤波器(带通滤波器的特点是保留某一特定频率成分的信号,该频率对应的增益为1),利用三阶谐波叠加基波(比单个基波更加接近方波,当然,不能无限逼近方波,否则电压突变会引起过流)传输功率,可以降低导通损耗,不过相应地电路成本将会增加,而且谐振频率点增加,相应地也会提高设计难度。

八、轨迹控制
1、轨迹控制的引入
(1)根据上一节软启动技术的介绍,不难发现谐振变换器是存在变频控制的,而在介绍LLC谐振变换器时,也曾说过不同开关频率下状态轨迹有所不同,因此,软启动控制的本质就是谐振变换器状态轨迹的控制。
(2)下图所示的是LLC谐振变换器软启动过程状态轨迹的变化,左边对应存在超调但调节时间短,右边对应不存在超调但调节时间稍长。

2、线性控制与最优控制
(1)线性控制是一种使用“逼近思想”的手段,控制器清楚当下的瞬态和目标的稳态,持续监测变换器的状态,用闭环控制的方法逐渐将当前的状态轨迹向目标稳态的状态轨迹逼近,这个过程谐振腔的电压增益、开关频率是不断变化的。

(2)最优控制是一种使用“极限思想”的手段,控制器清楚当下的瞬态和目标的稳态,用开环控制的方法从当前的状态轨迹直接跃迁到目标稳态的状态轨迹,这个过程谐振腔的电压增益、开关频率是瞬变的,同时由于是开环控制,这对控制精度的要求也是非常高的。

九、多元件谐振变换器
1、前置知识回顾
(1)前面介绍谐振变换器的大体结构时,默认基本谐振单元是一个带通滤波器,实际上,它还可以是一个带阻滤波器。

(2)对一个电感和一个电容以不同的方式进行连接,可构成各式各样的谐振腔(基本谐振单元),如下图所示,谐振腔的输入往往是经过整流的方波,根据电感和电容的特性,可将谐振腔分为电压源输入和电流源输入两种。

2、高阶谐振变换器
(1)不同谐振腔两两组合(甚至若干个谐振腔组合),然后合并可合并元件(如两个串联的电感或两个并联的电容),可以形成新的高阶谐振腔,相应地,谐振频率点也会增加,增益曲线也会发生相应的变化(软开关工作区间也会发生变化),需要说明的是,这并非简单的谐振腔级联,而是继承简单谐振腔的特性,在其基础上继续设计复杂的谐振腔。





(2)以上三阶谐振变换器,较为突出的有LLC谐振变换器、LCL谐振变换器和CLL谐振变换器,它们各自有各自的优缺点,其中LLC谐振变换器的使用最为广泛。
| LLC谐振变换器: |
| ①具有良好的效率与较长的输出电压稳压时间(Hold-up time) ②启动困难,难以实现软启动 |
| LCL谐振变换器: |
| ①容易启动,易于实现软启动 ②电路拓扑需要额外的电容 ③谐振电容需要承受更高的电流应力 |
| CLL谐振变换器: |
| ①具有良好的效率与较长的输出电压稳压时间(Hold-up time) ②易于实现软启动 ③具有更好的变压器性能 ④启动困难 |
(3)为了解决LLC谐振变换器难以启动的问题,可以对其谐振腔进行改造,增加零电压增益的谐振频率点,如下图所示,其中为最长输出电压稳压时间工作点,
为最佳工作点,
用于启动电路。

(4)通过电容电感按照不同位置进行排列组合的方式,还可以构成更多高阶谐振变换器,当然,阶数越高,排列组合的结果也就越多,对此在设计高阶谐振变换器时,可以先不区分电容和电感,而是先确定网络拓扑中元件摆放的位置,提前去除无法实现需求的网络拓扑,再进行电容和电感的排列组合,接着根据增益曲线做进一步筛选。


(5)除了排列组合的方式,还可以基于低阶谐振变换器进行改造,这在介绍软启动实现时已经有所举例,可回顾LLC谐振变换器向LCLCL谐振变换器的转变。
3029

被折叠的 条评论
为什么被折叠?



