参考教程:
一、傅里叶积分
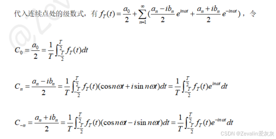
1、傅里叶级数


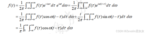
2、傅立叶积分
(1)傅里叶积分的极限思想:

(2)傅里叶积分定理:

(3)傅里叶积分公式的三角形式:

(4)傅里叶正弦积分和余弦积分公式:

(5)特殊积分简便计算方法:
①奇函数在无限区间内的积分结果为0,只要被积函数是奇函数,且积分区间为无限区间,那么该积分的计算可直接省去。
②偶函数在无限区间内的积分结果等于在半无限区间
内的积分结果的两倍。
3、举例

二、傅里叶变换及δ函数
1、傅里叶变换的定义

2、单位脉冲函数及其性质
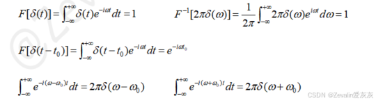
(1)狄拉克函数(δ函数/单位冲激函数)定义:


(2)δ函数的筛选性质:

(3)δ函数的傅里叶变换与傅里叶反变换:

(4)重要结论:

3、频谱
(1)周期函数的频谱:

(2)非周期函数的频谱:

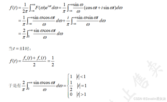
4、举例



三、傅里叶变换的性质
1、一些常见的傅里叶变换对

2、线性性质

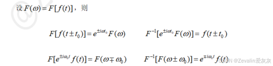
3、位移性质

4、微分性质

5、积分性质

四、卷积
1、卷积的定义

2、卷积的性质
(1)卷积满足交换律,即
![]()
(2)卷积满足结合律,即
![]()
(3)卷积的微分有

(4)任意函数与δ函数卷积,结果为其本身,即

3、卷积定理

傅里叶变换基础与应用

被折叠的 条评论
为什么被折叠?



