一、概述
1、时域法的作用和特点
(1)时域法是最基本的分析方法,是学习复域法、频域法的基础。
(2)时域法的特点:
①直接在时间域中对系统进行分析校正,直观,准确。
②可以提供系统时间响应的全部信息。
③基于求解系统输出的解析解,比较烦琐。
2、时域法常用的典型输入信号

3、线性系统时域性能指标
(1)对控制系统的三个要求:
①稳:系统受扰动影响后能回到原来的平衡位置。(基本要求)
②准:稳态输出与理想输出间的误差(稳态误差)要小。(稳态要求)
③快:阶跃响应的过渡过程要平稳、迅速。(动态要求)
(2)动态性能:
①系统动态性能是以系统阶跃响应为基础来衡量的,一般认为阶跃输入对系统而言是比较严峻的工作状态,若系统在阶跃函数作用下的动态性能满足要求,那么系统在其它形式的输入作用下,其动态性能也应是令人满意的。
②动态性能指标通常有如下几项:
[1]延迟时间:阶跃响应第一次达到终值
的50%所需的时间。
[2]上升时间:阶跃响应从终值的10%上升到终值的90%所需的时间;对有振荡的系统,可定义为从0到第一次达到终值所需的时间。
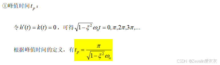
[3]峰值时间:阶跃响应越过终值达到第一个峰值所需的时间。
[4]调节时间:阶跃响应到达并保持在终值
的±5%误差带内所需的最短时间。
[5]超调量%:峰值
超出终值
的百分比。

二、一阶系统的时间响应及动态性能
1、一阶系统传递函数标准形式及单位阶跃响应

2、一阶系统动态性能指标计算
(1)一阶系统的单位阶跃响应如下图所示,响应时单调的指数上升曲线,根据调节时间的定义,有

解得

(2)一阶系统的典型响应:

(3)系统对某一输入的微分/积分的响应,等于系统对该输入信号的响应的微分/积分,这是线性定常系统的重要性质,对任意阶线性定常系统均适用。
(4)举例:


三、二阶系统的时间响应及动态性能
1、二阶系统传递函数标准形式及分类



2、过阻尼(临界阻尼)二阶系统动态性能指标计算





3、欠阻尼二阶系统动态性能指标计算
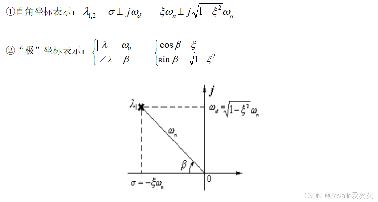
(1)欠阻尼二阶系统的极点可用下图所示的两种形式表示。

(2)欠阻尼二阶系统的单位阶跃响应与单位脉冲响应:




(3)欠阻尼二阶系统动态性能指标计算:



(4)最佳阻尼比:

(5)典型欠阻尼二阶系统动态性能、系统参数及极点分布之间的关系:



(6)举例:
①一控制系统结构图如下图所示。



②一二阶系统的结构图及单位阶跃响应如下图所示,试确定系统参数、
、
的值。


③对一个典型欠阻尼二阶系统,要求如下,试确定满足要求的系统极点分布范围。


4、改善二阶系统动态性能的措施

(2)举例:

5、附加闭环零、极点对系统动态性能的影响
(1)对于一个系统的闭环传递函数,其分母决定了它的闭环极点,分子决定了它的闭环零点。
(2)附加闭环零点不会影响闭环极点,因而不会影响单位阶跃响应中的各模态,但它会改变单位阶跃响应中各模态的加权系数,由此影响系统的动态性能。附加闭环零点会使系统的峰值时间提前,超调量增加,如果它越靠近虚轴,这种影响就越强烈。
(3)附加闭环极点不会影响闭环零点,它不会改变单位阶跃响应中各模态的加权系数,但会影响单位阶跃响应中的各模态,由此影响系统的动态性能。附加闭环极点会使系统的峰值时间延后,超调量减少,如果它越靠近需轴,这种影响就越强烈。

6698

被折叠的 条评论
为什么被折叠?



