一、高频逆变
1、几类射频功率放大器
(1)下图所示的是四类射频功率放大器的波形图,其中从左到右、从上到下,开关管中产生的损耗是递减的,不过从波形图也能看出,提高效率的同时,必然会伴随信号波形形状的改变,这只能通过滤波器将信号形状还原,还原度不能保证100%。


(2)下图所示的是D类射频功率放大器,它晶体管中产生的损耗比上面四类射频功率放大器开关管中产生的损耗更少,相应地,目标波形是正弦波,而实际输出波形是方波,这就意味着信号波形形状的改变更严重。

(3)E类射频功率放大器的引出:
再次研究开关损耗,一个比较理想的开关,其切换状态时应该是这样的:
①开关在即将开启前,两端电压为零——ZVS
②开关在即将开启前,两端电压的变化率为零——ZVDS
③开关在即将关闭前,通过开关的电流为零——ZCS
④开关在即将关闭前,通过开关的电流的变化率为零——ZCDS

而正好存在这样一类电路——E类电路,它可以实现与最优波形(上右图所示)最相似的波形,能同时满足ZVS、ZVDS或同时满足ZCS、ZCDS

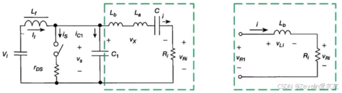
E类电路输出侧的LC元件能形成谐振腔,但需要注意的是,L需要拆解为两个串联电感,其中一个与C构成谐振腔,另一个则是提供额外的感抗jX
输入侧电感无穷大,因此输入电流
可近似为一恒定值
输出侧RLC电路的品质因数Q很大,即很大,能稳定地将输出电流波形控制为正弦波,或者说输出电流波形的形状可认为是一个正弦波
2、E类电路实现ZVS与ZVDS
若选择E类电路实现ZVS与ZVDS,以开关占空比D=0.5为例,开关管门极信号和其两端电压的波形如下图所示(输出电流i的直流分量为0,下图波形图有误)







从设计步骤不难看出E类电路有很大的局限性,因为是给定负载电阻再进行设计,如果负载阻值不恒定,那么E类电路的工作点也将不稳定,通俗地说就是“白做”
3、E类电路与F类电路
(1)E类电路还有一个缺陷,开关器件承受的电压峰值是输入电压的3.56倍,这就意味着E类电路不能工作在过高的电压下,或者器件选型需要选取能承受高电压的开关器件。

(2)要想削弱峰值电压,可以使用F类电路,通过对谐振腔的设计,改变阻抗开路点、短路点,以达到编辑电压波形的目的。

二、高频整流
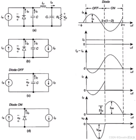
1、电流驱动D类整流器
下图所示的是两类电流驱动D类整流器的电路拓扑及波形图,分析较简单,此处不过多赘述

2、电压驱动D类整流器
下图所示的是两类电压驱动D类整流器的电路拓扑及波形图,分析较简单,此处不过多赘述

3、E类整流电路
E类整流电路可由E类逆变电路反向连接而得

对其做模态分析,可以发现波形图和E类逆变电路的波形图是高度对称的,不仅如此,设计方法也是类似的

以下给出E类整流电路的设计参数表

4万+

被折叠的 条评论
为什么被折叠?



