一、z变换及其收敛域
1、由拉普拉斯变换到z变换
(1)z变换是离散系统与信号分析的重要工具,其地位犹如拉普拉斯变换在连续信号与系统中的地位。
(2)z变换的定义可以从理想信号(离散信号)的拉普拉斯变换引出,也可以独立地对离散信号(序列)给出其定义。
(3)从拉氏变换演变为z变换:
2、s平面与z平面的映射关系
3、z变换定义及其收敛域
4、z反变换
(1)由求出原序列
的过程称为z反变换,表示为
,实际上就是求
的幂级数展开式。
(2)求z反变换的三种方法:
①围线积分法(留数法):利用复变函数中的留数定理,通过计算积分围线内极点的留数求和得到原序列,这里不进行详细介绍。
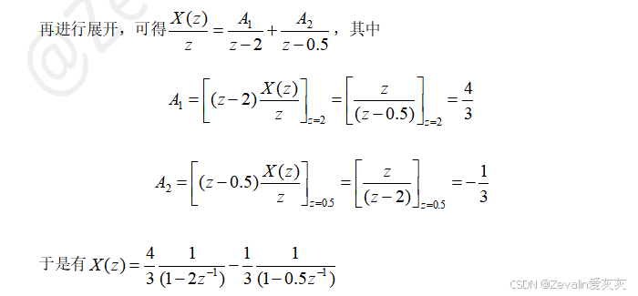
②部分分式法:将展开成部分分式的形式,然后求每个部分分式的z变换。
③幂级数展开法(长除法):直接用的分子多项式除以分母多项式,得到
。
(3)部分分式(展开)法介绍:
(4)幂级数展开法(长除法)介绍:
5、z变换的性质
(1)线性性质:
(2)移位性质:
(3)卷积和性质:
(4)z变化更多的性质如下所示,此处不过多赘述。
(5)举例:
二、离散时间信号的傅里叶变换
1、离散时间信号傅里叶变换的基本概念
(1)一个离散时间(非周期)信号及其频谱的关系,可以用离散时间信号(序列)的傅立叶变换(简称DTFT)来表示。
(2)DTFT正变换:
(3)DTFT反变换:
2、DTFT的共轭对称性质
(1)两个实部相等,虚部互为相反数的复数互为共轭复数,在复平面上可表示为两个点关于实轴对称。
(2)共轭对称序列与共轭反对称序列的定义:
(3)用共轭对称序列和共轭反对称序列表示一般序列:
(4)关于频域函数的共轭对称性质描述:
(5)时域与频域对应的共轭对称性质:
(6)举例:
三、系统函数及其与系统性质的关系
1、由系统函数及其收敛域判断系统因果性
2、由系统函数及其收敛域判断系统稳定性
四、系统频率响应的意义
1、系统频率响应的基本概念
2、固定频率输入信号下的系统输出

1630

被折叠的 条评论
为什么被折叠?



