✅作者简介:热爱科研的Matlab仿真开发者,擅长数据处理、建模仿真、程序设计、完整代码获取、论文复现及科研仿真。
🍎 往期回顾关注个人主页:Matlab科研工作室
🍊个人信条:格物致知,完整Matlab代码获取及仿真咨询内容私信。
🔥 内容介绍
随着海洋开发、水域监测、应急救援等领域需求的不断升级,无人水面艇(USV)凭借其无需人员值守、适应性强、作业效率高等优势,逐渐成为水上作业的核心装备。在港口物流场景中,USV可承担货物短途转运任务,规避人员操作失误带来的碰撞风险;在环境监测领域,它能长时间巡航采集水质、水文数据,覆盖人力难以抵达的偏远水域;在应急救援现场,USV可快速抵近危险区域,实施物资投送或伤员转移,为救援争取宝贵时间。
然而,USV的自主航行面临着复杂水域环境的多重挑战。水流的不规则扰动、风向风速的动态变化、突发障碍物(如礁石、漂浮物、其他船舶)的规避需求,以及USV自身动力学特性的非线性耦合,都对其控制系统的稳定性、实时性和鲁棒性提出了极高要求。传统的PID控制等经典方法虽结构简单、易于实现,但在多约束、强干扰的复杂水域中,往往难以兼顾轨迹跟踪精度与航行安全性,难以满足高精度自主控制的需求。
模型预测控制(MPC)作为一种先进的模型基控制策略,凭借其“滚动优化、在线反馈校正”的核心特性,能够在满足系统物理约束、环境约束的前提下,通过预测未来一段时间内的系统状态,动态优化控制输入,为解决USV复杂环境下的自主控制问题提供了理想方案。与传统控制方法相比,MPC更擅长处理多变量、强耦合、带约束的控制对象,尤其适用于USV这类受外界环境干扰显著的动态系统。
本文将深入探讨基于模型预测控制(MPC)的USV自主控制研究,从USV动力学模型构建、MPC控制框架设计、约束条件融入等核心环节展开分析,结合具体应用场景阐述MPC在USV轨迹跟踪、障碍物规避等关键任务中的实现逻辑,并通过案例验证该控制策略的有效性,为USV自主控制技术的工程应用提供理论参考与实践指引。
一、核心基础:USV动力学模型与MPC原理
(一)USV动力学模型构建
要实现基于MPC的USV精准控制,首先需构建能够准确描述其运动特性的动力学模型——这是MPC进行状态预测与控制优化的基础。USV的运动涉及水平面内的三个自由度:纵向(前后)运动、横向(左右)运动以及转向运动,其动力学特性受自身结构参数、推进系统性能以及外界环境(水流、风)的共同影响,呈现出强烈的非线性和耦合性。
在工程应用中,通常采用“简化模型+环境干扰补偿”的思路构建实用化的USV动力学模型。核心模型可分为运动学模型和动力学模型两部分:运动学模型描述USV位置、姿态(如航向角)与速度之间的关系,不考虑产生运动的力和力矩;动力学模型则进一步关联速度与推进系统的推力、转艏力矩,以及水流、风等外界干扰力。
以常见的单体USV为例,其水平面动力学模型的简化形式可表示为:

(二)MPC核心原理与控制优势
模型预测控制(MPC)的核心思想是“基于模型预测未来、基于优化确定控制、基于反馈校正误差”,其控制框架主要包含三个关键环节:预测模型、滚动优化和反馈校正。
首先是预测模型环节:MPC利用前文构建的USV动力学模型,结合当前时刻的系统状态(如位置、速度、姿态)和控制输入(如推力、转艏力矩),预测未来一段时间内(预测时域)USV的运动轨迹和状态变化。这一环节的核心是通过模型“推演”未来,为后续的控制决策提供依据——例如,根据当前航向角和速度,预测未来5秒内USV的位置变化,判断是否会偏离预定轨迹。
其次是滚动优化环节:在预测时域内,MPC根据预设的控制目标(如轨迹跟踪精度、能耗最小化、避障安全距离),构建优化目标函数,并在满足系统物理约束(如最大推力、最大转艏角速度)和环境约束(如与障碍物的最小安全距离)的前提下,求解最优的控制输入序列(控制时域内的推力、转艏力矩变化)。需要注意的是,MPC并非一次性计算出整个任务的控制序列,而是仅执行当前时刻的最优控制输入,下一时刻则重新基于最新的系统状态进行预测和优化——这种“滚动”优化的特性,使其能够灵活应对环境变化和模型误差。
最后是反馈校正环节:由于实际环境中存在不可预测的干扰(如突发水流),模型预测结果与USV的实际运动状态可能存在偏差。MPC通过传感器(如GPS、惯性导航、声呐)实时采集USV的实际状态数据,将其与模型预测的状态进行对比,计算偏差并反馈到预测模型中,对后续的预测和优化过程进行校正,从而提升控制精度和鲁棒性。
相较于传统控制方法,MPC在USV自主控制中的优势尤为显著:一是能够直接处理多约束问题,可将USV的推进系统极限、避障安全距离等约束直接融入优化过程,从根本上保证航行安全;二是具备较强的抗干扰能力,通过滚动优化和反馈校正,能够快速适应水流、风等动态干扰,维持控制稳定性;三是支持多目标优化,可同时兼顾轨迹跟踪精度、能耗控制、航行效率等多个控制目标,提升整体作业性能。
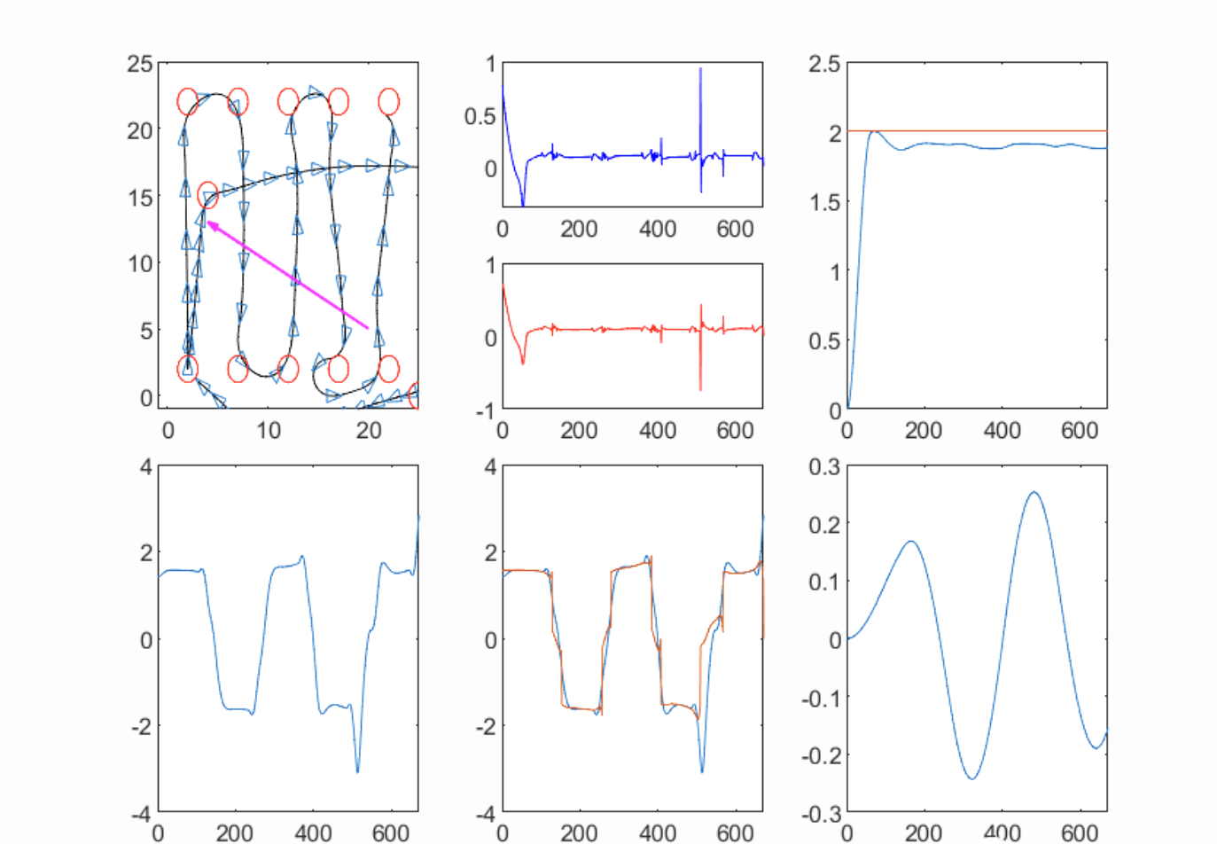
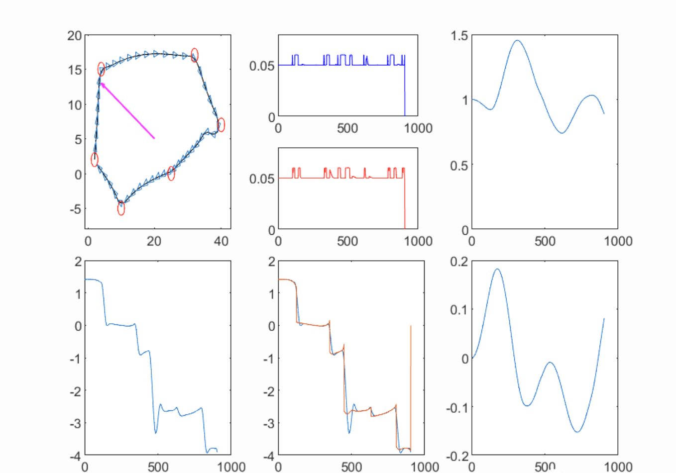
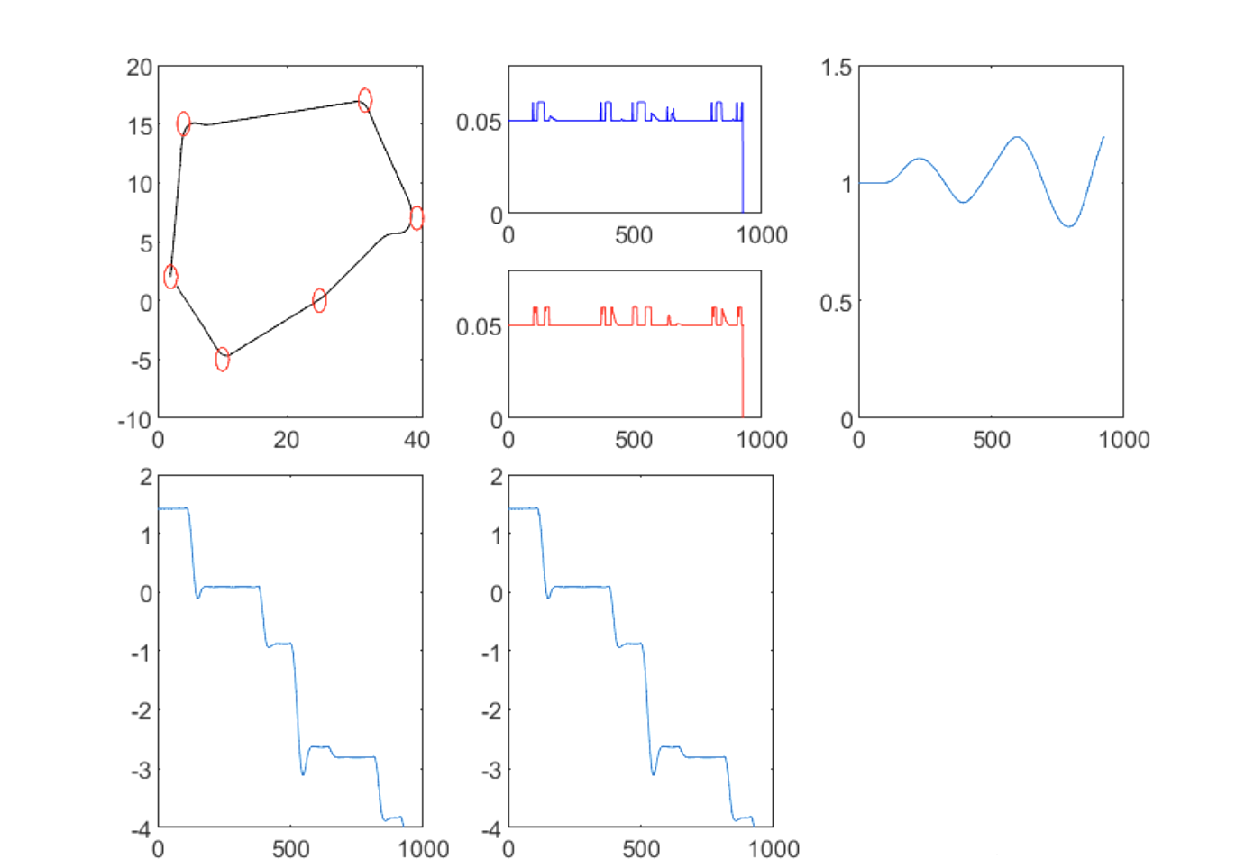
⛳️ 运行结果



📣 部分代码
🔗 参考文献
[1]冯鑫,于双和.基于滑模预测控制的水面无人船轨迹跟踪研究[J].电光与控制, 2023, 30(9):92-98.
🎈 部分理论引用网络文献,若有侵权联系博主删除
👇 关注我领取海量matlab电子书和数学建模资料
🏆团队擅长辅导定制多种科研领域MATLAB仿真,助力科研梦:
🌟 各类智能优化算法改进及应用
生产调度、经济调度、装配线调度、充电优化、车间调度、发车优化、水库调度、三维装箱、物流选址、货位优化、公交排班优化、充电桩布局优化、车间布局优化、集装箱船配载优化、水泵组合优化、解医疗资源分配优化、设施布局优化、可视域基站和无人机选址优化、背包问题、 风电场布局、时隙分配优化、 最佳分布式发电单元分配、多阶段管道维修、 工厂-中心-需求点三级选址问题、 应急生活物质配送中心选址、 基站选址、 道路灯柱布置、 枢纽节点部署、 输电线路台风监测装置、 集装箱调度、 机组优化、 投资优化组合、云服务器组合优化、 天线线性阵列分布优化、CVRP问题、VRPPD问题、多中心VRP问题、多层网络的VRP问题、多中心多车型的VRP问题、 动态VRP问题、双层车辆路径规划(2E-VRP)、充电车辆路径规划(EVRP)、油电混合车辆路径规划、混合流水车间问题、 订单拆分调度问题、 公交车的调度排班优化问题、航班摆渡车辆调度问题、选址路径规划问题、港口调度、港口岸桥调度、停机位分配、机场航班调度、泄漏源定位、冷链、时间窗、多车场等、选址优化、港口岸桥调度优化、交通阻抗、重分配、停机位分配、机场航班调度、通信上传下载分配优化
🌟 机器学习和深度学习时序、回归、分类、聚类和降维
2.1 bp时序、回归预测和分类
2.2 ENS声神经网络时序、回归预测和分类
2.3 SVM/CNN-SVM/LSSVM/RVM支持向量机系列时序、回归预测和分类
2.4 CNN|TCN|GCN卷积神经网络系列时序、回归预测和分类
2.5 ELM/KELM/RELM/DELM极限学习机系列时序、回归预测和分类
2.6 GRU/Bi-GRU/CNN-GRU/CNN-BiGRU门控神经网络时序、回归预测和分类
2.7 ELMAN递归神经网络时序、回归\预测和分类
2.8 LSTM/BiLSTM/CNN-LSTM/CNN-BiLSTM/长短记忆神经网络系列时序、回归预测和分类
2.9 RBF径向基神经网络时序、回归预测和分类
2.10 DBN深度置信网络时序、回归预测和分类
2.11 FNN模糊神经网络时序、回归预测
2.12 RF随机森林时序、回归预测和分类
2.13 BLS宽度学习时序、回归预测和分类
2.14 PNN脉冲神经网络分类
2.15 模糊小波神经网络预测和分类
2.16 时序、回归预测和分类
2.17 时序、回归预测预测和分类
2.18 XGBOOST集成学习时序、回归预测预测和分类
2.19 Transform各类组合时序、回归预测预测和分类
方向涵盖风电预测、光伏预测、电池寿命预测、辐射源识别、交通流预测、负荷预测、股价预测、PM2.5浓度预测、电池健康状态预测、用电量预测、水体光学参数反演、NLOS信号识别、地铁停车精准预测、变压器故障诊断
🌟图像处理方面
图像识别、图像分割、图像检测、图像隐藏、图像配准、图像拼接、图像融合、图像增强、图像压缩感知
🌟 路径规划方面
旅行商问题(TSP)、车辆路径问题(VRP、MVRP、CVRP、VRPTW等)、无人机三维路径规划、无人机协同、无人机编队、机器人路径规划、栅格地图路径规划、多式联运运输问题、 充电车辆路径规划(EVRP)、 双层车辆路径规划(2E-VRP)、 油电混合车辆路径规划、 船舶航迹规划、 全路径规划规划、 仓储巡逻、公交车时间调度、水库调度优化、多式联运优化
🌟 无人机应用方面
无人机路径规划、无人机控制、无人机编队、无人机协同、无人机任务分配、无人机安全通信轨迹在线优化、车辆协同无人机路径规划、
🌟 通信方面
传感器部署优化、通信协议优化、路由优化、目标定位优化、Dv-Hop定位优化、Leach协议优化、WSN覆盖优化、组播优化、RSSI定位优化、水声通信、通信上传下载分配
🌟 信号处理方面
信号识别、信号加密、信号去噪、信号增强、雷达信号处理、信号水印嵌入提取、肌电信号、脑电信号、信号配时优化、心电信号、DOA估计、编码译码、变分模态分解、管道泄漏、滤波器、数字信号处理+传输+分析+去噪、数字信号调制、误码率、信号估计、DTMF、信号检测
🌟电力系统方面
微电网优化、无功优化、配电网重构、储能配置、有序充电、MPPT优化、家庭用电、电/冷/热负荷预测、电力设备故障诊断、电池管理系统(BMS)SOC/SOH估算(粒子滤波/卡尔曼滤波)、 多目标优化在电力系统调度中的应用、光伏MPPT控制算法改进(扰动观察法/电导增量法)、电动汽车充放电优化、微电网日前日内优化、储能优化、家庭用电优化、供应链优化\智能电网分布式能源经济优化调度,虚拟电厂,能源消纳,风光出力,控制策略,多目标优化,博弈能源调度,鲁棒优化
电力系统核心问题经济调度:机组组合、最优潮流、安全约束优化。新能源消纳:风光储协同规划、弃风弃光率量化、爬坡速率约束建模多能耦合系统:电-气-热联合调度、P2G与储能容量配置新型电力系统关键技术灵活性资源:虚拟电厂、需求响应、V2G车网互动、分布式储能优化稳定与控制:惯量支撑策略、低频振荡抑制、黑启动预案设计低碳转型:碳捕集电厂建模、绿氢制备经济性分析、LCOE度电成本核算风光出力预测:LSTM/Transformer时序预测、预测误差场景生成(GAN/蒙特卡洛)不确定性优化:鲁棒优化、随机规划、机会约束建模能源流分析、PSASP复杂电网建模,经济调度,算法优化改进,模型优化,潮流分析,鲁棒优化,创新点,文献复现微电网配电网规划,运行调度,综合能源,混合储能容量配置,平抑风电波动,多目标优化,静态交通流量分配,阶梯碳交易,分段线性化,光伏混合储能VSG并网运行,构网型变流器, 虚拟同步机等包括混合储能HESS:蓄电池+超级电容器,电压补偿,削峰填谷,一次调频,功率指令跟随,光伏储能参与一次调频,功率平抑,直流母线电压控制;MPPT最大功率跟踪控制,构网型储能,光伏,微电网调度优化,新能源,虚拟同同步机,VSG并网,小信号模型
🌟 元胞自动机方面
交通流 人群疏散 病毒扩散 晶体生长 金属腐蚀
🌟 雷达方面
卡尔曼滤波跟踪、航迹关联、航迹融合、SOC估计、阵列优化、NLOS识别
🌟 车间调度
零等待流水车间调度问题NWFSP 、 置换流水车间调度问题PFSP、 混合流水车间调度问题HFSP 、零空闲流水车间调度问题NIFSP、分布式置换流水车间调度问题 DPFSP、阻塞流水车间调度问题BFSP
👇
1652

被折叠的 条评论
为什么被折叠?



