✅作者简介:热爱科研的Matlab仿真开发者,擅长数据处理、建模仿真、程序设计、完整代码获取、论文复现及科研仿真。
🍎 往期回顾关注个人主页:Matlab科研工作室
🍊个人信条:格物致知,完整Matlab代码获取及仿真咨询内容私信。
🔥 内容介绍
在科技飞速发展的当下,固定翼无人机凭借其长航时、高载荷以及强机动性等显著优势,在众多领域得到了极为广泛的应用。在通信中继领域,它能够作为空中基站,延伸通信网络的覆盖范围,为偏远地区或信号薄弱区域提供稳定的通信连接,像是在山区等地形复杂的区域,固定翼无人机可以迅速搭建起临时通信链路 ,保障救援指挥的顺畅进行。在地质勘探工作中,无人机可以携带专业的探测设备,快速扫描大面积区域,获取地质信息,其高效性是传统勘探方式难以比拟的。而在灾害监测场景里,无人机能够快速抵达受灾区域,实时回传现场画面,为救援决策提供第一手资料,比如在地震、洪水等灾害发生时,能及时发现被困人员位置和受灾情况。
然而,在实际应用中,固定翼无人机的轨迹规划需要同时兼顾通信质量、能源效率、动力学约束以及环境适应性等多个目标。在复杂的城市环境中,无人机需要在高楼大厦之间穿梭,既要保持与地面控制中心的良好通信,又要遵守禁飞区域的规定,还要合理规划路线以节省能源,确保完成任务后能够顺利返航。传统的轨迹规划方法在面对动态障碍物规避、复杂地形穿越等场景时,暴露出计算效率低、实时性差以及能效优化不足等问题。当无人机在山区执行任务时,遇到突然出现的恶劣天气或临时新增的障碍物,传统方法可能无法及时调整轨迹,导致任务失败甚至无人机坠毁。
在无人机与地面终端的通信过程中,路径损耗是影响通信质量的关键因素之一。自由空间路损模型作为最基本的路径损耗模型,假设信号在传播过程中仅受到距离的影响,忽略了诸如大气吸收、多径效应、多普勒频移等其他复杂的传播损耗因素,适用于相对简单、无遮挡的理想通信环境。尽管实际通信环境往往更为复杂,但自由空间路损模型因其简洁性和对基本传播特性的描述,在初步分析和理论研究中具有重要的基础作用,能够为后续考虑更复杂因素的模型提供对比和参考。
本文将深入探讨基于自由空间路损模型且不考虑小尺度衰落(多径多普勒)情况下的固定翼无人机轨迹规划问题。通过构建精确的推进能量消耗模型与通信能效指标,提出创新的轨迹规划方法,旨在实现无人机在满足通信质量要求的同时,最大限度地提高能源效率,突破传统轨迹规划方法的局限,为固定翼无人机在复杂环境下的高效运行提供有力的理论支持和实践指导。
一、自由空间路损模型揭秘
(一)模型原理剖析
自由空间路损模型,作为无线通信领域中最基础的路径损耗模型,其构建基于电磁波在自由空间中的传播特性。在理想的自由空间环境里,假设不存在任何形式的障碍物、大气吸收以及多径效应等干扰因素,信号传播过程中仅受到距离的影响。
从物理学原理来看,当信号在自由空间中传播时,其能量会随着传播距离的增加而逐渐扩散。这就如同在平静的湖面上投入一颗石子,激起的涟漪会随着距离的增大而逐渐变弱。信号的功率与传播距离的平方成反比,这种关系是自由空间路损模型的核心基础。在卫星通信中,卫星与地面站之间的信号传输就可以近似看作是在自由空间中进行的。卫星发射的信号在向地面传播的过程中,随着距离的不断增加,信号强度会逐渐减弱。

二)模型应用范围及局限性
自由空间路损模型在视距(LoS)通信场景中具有广泛的应用。当无人机与地面终端之间能够保持清晰的视线连接,不存在建筑物、山体等障碍物的阻挡时,该模型能够较为准确地预测信号的路径损耗。在空旷的沙漠地区进行无人机通信测试时,由于环境开阔,几乎没有遮挡物,自由空间路损模型可以很好地估算无人机与地面控制中心之间的信号衰减,为通信系统的设计和优化提供有力支持。在卫星通信以及一些对精度要求相对较低的远距离通信场景中,自由空间路损模型也常常被用于初步的链路预算分析,帮助工程师快速评估通信系统的可行性。
然而,该模型也存在明显的局限性。它完全忽略了多径效应,在实际的通信环境中,信号往往会经过多条不同路径到达接收机,这些路径的长度和传播特性各不相同,导致信号在接收端相互干涉,产生多径衰落现象。在城市环境中,无人机的信号会在高楼大厦之间反射、折射,形成复杂的多径传播,自由空间路损模型无法准确描述这种情况下的信号衰减。大气吸收也是实际通信中不可忽视的因素,特别是在高频段通信时,大气中的气体分子、水蒸气等会对信号产生吸收和散射,导致信号能量进一步损耗。在湿度较大的天气条件下,对于毫米波频段的信号,大气吸收造成的损耗可能会非常显著,而自由空间路损模型并未考虑这一点。
由于这些局限性,在实际应用中,自由空间路损模型通常需要与其他更复杂的模型相结合。在城市环境中,可以采用 Okumura-Hata 模型或 COST-231 模型,这些模型考虑了建筑物、地形等因素对信号传播的影响,能够更准确地预测路径损耗。在进行高精度的通信系统设计时,还需要通过实地测量和校准,对模型进行修正,以适应具体的通信环境,确保通信质量和可靠性。
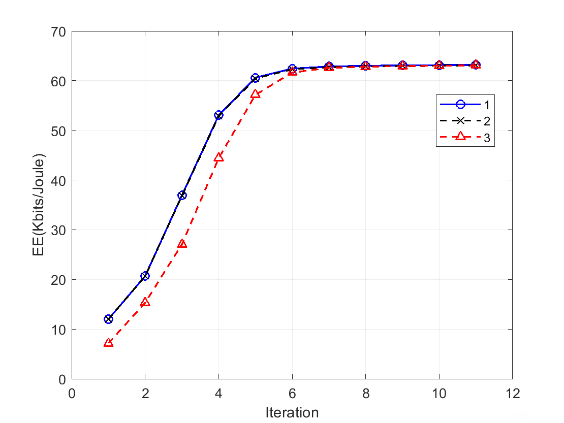
⛳️ 运行结果






📣 部分代码
🔗 参考文献
🎈 部分理论引用网络文献,若有侵权联系博主删除
👇 关注我领取海量matlab电子书和数学建模资料
🏆团队擅长辅导定制多种科研领域MATLAB仿真,助力科研梦:
🌟 各类智能优化算法改进及应用
生产调度、经济调度、装配线调度、充电优化、车间调度、发车优化、水库调度、三维装箱、物流选址、货位优化、公交排班优化、充电桩布局优化、车间布局优化、集装箱船配载优化、水泵组合优化、解医疗资源分配优化、设施布局优化、可视域基站和无人机选址优化、背包问题、 风电场布局、时隙分配优化、 最佳分布式发电单元分配、多阶段管道维修、 工厂-中心-需求点三级选址问题、 应急生活物质配送中心选址、 基站选址、 道路灯柱布置、 枢纽节点部署、 输电线路台风监测装置、 集装箱调度、 机组优化、 投资优化组合、云服务器组合优化、 天线线性阵列分布优化、CVRP问题、VRPPD问题、多中心VRP问题、多层网络的VRP问题、多中心多车型的VRP问题、 动态VRP问题、双层车辆路径规划(2E-VRP)、充电车辆路径规划(EVRP)、油电混合车辆路径规划、混合流水车间问题、 订单拆分调度问题、 公交车的调度排班优化问题、航班摆渡车辆调度问题、选址路径规划问题、港口调度、港口岸桥调度、停机位分配、机场航班调度、泄漏源定位、冷链、时间窗、多车场等、选址优化、港口岸桥调度优化、交通阻抗、重分配、停机位分配、机场航班调度、通信上传下载分配优化
🌟 机器学习和深度学习时序、回归、分类、聚类和降维
2.1 bp时序、回归预测和分类
2.2 ENS声神经网络时序、回归预测和分类
2.3 SVM/CNN-SVM/LSSVM/RVM支持向量机系列时序、回归预测和分类
2.4 CNN|TCN|GCN卷积神经网络系列时序、回归预测和分类
2.5 ELM/KELM/RELM/DELM极限学习机系列时序、回归预测和分类
2.6 GRU/Bi-GRU/CNN-GRU/CNN-BiGRU门控神经网络时序、回归预测和分类
2.7 ELMAN递归神经网络时序、回归\预测和分类
2.8 LSTM/BiLSTM/CNN-LSTM/CNN-BiLSTM/长短记忆神经网络系列时序、回归预测和分类
2.9 RBF径向基神经网络时序、回归预测和分类
2.10 DBN深度置信网络时序、回归预测和分类
2.11 FNN模糊神经网络时序、回归预测
2.12 RF随机森林时序、回归预测和分类
2.13 BLS宽度学习时序、回归预测和分类
2.14 PNN脉冲神经网络分类
2.15 模糊小波神经网络预测和分类
2.16 时序、回归预测和分类
2.17 时序、回归预测预测和分类
2.18 XGBOOST集成学习时序、回归预测预测和分类
2.19 Transform各类组合时序、回归预测预测和分类
方向涵盖风电预测、光伏预测、电池寿命预测、辐射源识别、交通流预测、负荷预测、股价预测、PM2.5浓度预测、电池健康状态预测、用电量预测、水体光学参数反演、NLOS信号识别、地铁停车精准预测、变压器故障诊断
🌟图像处理方面
图像识别、图像分割、图像检测、图像隐藏、图像配准、图像拼接、图像融合、图像增强、图像压缩感知
🌟 路径规划方面
旅行商问题(TSP)、车辆路径问题(VRP、MVRP、CVRP、VRPTW等)、无人机三维路径规划、无人机协同、无人机编队、机器人路径规划、栅格地图路径规划、多式联运运输问题、 充电车辆路径规划(EVRP)、 双层车辆路径规划(2E-VRP)、 油电混合车辆路径规划、 船舶航迹规划、 全路径规划规划、 仓储巡逻、公交车时间调度、水库调度优化、多式联运优化
🌟 无人机应用方面
无人机路径规划、无人机控制、无人机编队、无人机协同、无人机任务分配、无人机安全通信轨迹在线优化、车辆协同无人机路径规划、
🌟 通信方面
传感器部署优化、通信协议优化、路由优化、目标定位优化、Dv-Hop定位优化、Leach协议优化、WSN覆盖优化、组播优化、RSSI定位优化、水声通信、通信上传下载分配
🌟 信号处理方面
信号识别、信号加密、信号去噪、信号增强、雷达信号处理、信号水印嵌入提取、肌电信号、脑电信号、信号配时优化、心电信号、DOA估计、编码译码、变分模态分解、管道泄漏、滤波器、数字信号处理+传输+分析+去噪、数字信号调制、误码率、信号估计、DTMF、信号检测
🌟电力系统方面
微电网优化、无功优化、配电网重构、储能配置、有序充电、MPPT优化、家庭用电、电/冷/热负荷预测、电力设备故障诊断、电池管理系统(BMS)SOC/SOH估算(粒子滤波/卡尔曼滤波)、 多目标优化在电力系统调度中的应用、光伏MPPT控制算法改进(扰动观察法/电导增量法)、电动汽车充放电优化、微电网日前日内优化、储能优化、家庭用电优化、供应链优化\智能电网分布式能源经济优化调度,虚拟电厂,能源消纳,风光出力,控制策略,多目标优化,博弈能源调度,鲁棒优化
电力系统核心问题经济调度:机组组合、最优潮流、安全约束优化。新能源消纳:风光储协同规划、弃风弃光率量化、爬坡速率约束建模多能耦合系统:电-气-热联合调度、P2G与储能容量配置新型电力系统关键技术灵活性资源:虚拟电厂、需求响应、V2G车网互动、分布式储能优化稳定与控制:惯量支撑策略、低频振荡抑制、黑启动预案设计低碳转型:碳捕集电厂建模、绿氢制备经济性分析、LCOE度电成本核算风光出力预测:LSTM/Transformer时序预测、预测误差场景生成(GAN/蒙特卡洛)不确定性优化:鲁棒优化、随机规划、机会约束建模能源流分析、PSASP复杂电网建模,经济调度,算法优化改进,模型优化,潮流分析,鲁棒优化,创新点,文献复现微电网配电网规划,运行调度,综合能源,混合储能容量配置,平抑风电波动,多目标优化,静态交通流量分配,阶梯碳交易,分段线性化,光伏混合储能VSG并网运行,构网型变流器, 虚拟同步机等包括混合储能HESS:蓄电池+超级电容器,电压补偿,削峰填谷,一次调频,功率指令跟随,光伏储能参与一次调频,功率平抑,直流母线电压控制;MPPT最大功率跟踪控制,构网型储能,光伏,微电网调度优化,新能源,虚拟同同步机,VSG并网,小信号模型
🌟 元胞自动机方面
交通流 人群疏散 病毒扩散 晶体生长 金属腐蚀
🌟 雷达方面
卡尔曼滤波跟踪、航迹关联、航迹融合、SOC估计、阵列优化、NLOS识别
🌟 车间调度
零等待流水车间调度问题NWFSP 、 置换流水车间调度问题PFSP、 混合流水车间调度问题HFSP 、零空闲流水车间调度问题NIFSP、分布式置换流水车间调度问题 DPFSP、阻塞流水车间调度问题BFSP
👇
383

被折叠的 条评论
为什么被折叠?



