单调性和凹凸性
![![[Pasted image 20251205171901.png]]](https://i-blog.csdnimg.cn/direct/043958a6f76f4dc5ab155ee9b2321eba.png)
![![[Pasted image 20251205165659.png]]](https://i-blog.csdnimg.cn/direct/28a3de96733c49bab79089ef70e6eade.png)
x<0时,f(x)↗, f′(x)>0, 排除AC.0<x<x0时,f(x)↗, f′(x)>0, 排除B.故选D. \begin{aligned} &x < 0\text{时,}f(x)\nearrow,\ f'(x) > 0,\ \text{排除}AC. \\ &0 < x < x_0\text{时,}f(x)\nearrow,\ f'(x) > 0,\ \text{排除}B. \\ &\text{故选}D. \end{aligned} x<0时,f(x)↗, f′(x)>0, 排除AC.0<x<x0时,f(x)↗, f′(x)>0, 排除B.故选D.
改题:已知函数y=f′(x)在其定义域内可导,它的图像如图所示,则其导函数y=f′′(x)的图像为(). \begin{aligned} &\text{改题:} \\ &\text{已知函数}y = f'(x)\text{在其定义域内可导,它的图像如图所示,} \\ &\text{则其导函数}y = f''(x)\text{的图像为(\quad)}. \end{aligned} 改题:已知函数y=f′(x)在其定义域内可导,它的图像如图所示,则其导函数y=f′′(x)的图像为().
逻辑一样,还是选D。
逻辑一样,还是选D。
逻辑一样,还是选D。
【小结】本题需要理解f(x)与f′(x)的关系:函数单调递增,f′(x)>0;函数单调递减,f′(x)<0。 \begin{aligned} &\boxed{【小结】}\text{本题需要理解}f(x)\text{与}f'(x)\text{的关系:函数单调递增,}f'(x) > 0;\text{函数单调递} \\ &\text{减,}f'(x) < 0。 \end{aligned} 【小结】本题需要理解f(x)与f′(x)的关系:函数单调递增,f′(x)>0;函数单调递减,f′(x)<0。
![![[Pasted image 20251205173242.png]]](https://i-blog.csdnimg.cn/direct/1af8af3847f6459b9c14cb39288eedef.png)
∂f(x,y)∂x>0, ∂f(x,y)∂y<0,关于x↗关于y↘x1<x2, y1>y2 ⟹ f(x1,y1)<f(x2,y1)<f(x2,y2) \begin{aligned} &\frac{\partial f(x,y)}{\partial x} > 0,\ \frac{\partial f(x,y)}{\partial y} < 0, \\ &\text{关于}x\nearrow \quad\quad \text{关于}y\searrow \quad\quad x_1 < x_2,\ y_1 > y_2 \implies f(x_1,y_1) < f(x_2,y_1) < f(x_2,y_2) \end{aligned} ∂x∂f(x,y)>0, ∂y∂f(x,y)<0,关于x↗关于y↘x1<x2, y1>y2⟹f(x1,y1)<f(x2,y1)<f(x2,y2)
![![[Pasted image 20251205175154.png]]](https://i-blog.csdnimg.cn/direct/d0221b7686d2463b9548866e6287e583.png)
![![[Pasted image 20251205175626.png]]](https://i-blog.csdnimg.cn/direct/5e0eee9b04884f339325ff771eea17ff.png)
∫01h(x)dx>0∫01f(x)dx=0, f(12)<0选D \begin{aligned} &\int_{0}^{1} h(x)dx > 0 \\ &\int_{0}^{1} f(x)dx = 0,\ f\left(\frac{1}{2}\right) < 0 \\&选D\end{aligned} ∫01h(x)dx>0∫01f(x)dx=0, f(21)<0选D
法2: 考试, 特殊值法.令f(x)=12−x, ∫01f(x)dx=0, 但f(12)=0, 排除A.再令f(x)=x−12, ∫01(x−12)dx=0, 但f(12)=0, 排除C.再令f(x)=−x2+13, ∫01(13−x2)dx=0, 但f(12)=112>0, 排除B.选D. \begin{aligned} &\text{法2: 考试, 特殊值法.} \\ &\text{令}f(x) = \frac{1}{2}-x,\ \int_{0}^{1}f(x)dx = 0,\ \text{但}f\left(\frac{1}{2}\right)=0,\ \text{排除}A. \\ &\text{再令}f(x) = x-\frac{1}{2},\ \int_{0}^{1}\left(x-\frac{1}{2}\right)dx = 0,\ \text{但}f\left(\frac{1}{2}\right)=0,\ \text{排除}C. \\ &\text{再令}f(x) = -x^2+\frac{1}{3},\ \int_{0}^{1}\left(\frac{1}{3}-x^2\right)dx = 0,\ \text{但}f\left(\frac{1}{2}\right)=\frac{1}{12}>0,\ \text{排除}B. \\ &\text{选}D. \end{aligned} 法2: 考试, 特殊值法.令f(x)=21−x, ∫01f(x)dx=0, 但f(21)=0, 排除A.再令f(x)=x−21, ∫01(x−21)dx=0, 但f(21)=0, 排除C.再令f(x)=−x2+31, ∫01(31−x2)dx=0, 但f(21)=121>0, 排除B.选D.
【小结】选择题一般考查凹凸性的几何意义,几何意义主要有两个方面,第一,与切线的关系,若曲线是凹的,则曲线在切线之上;若曲线是凸的,曲线在切线之下。第二,与两点连线的关系,若曲线是凹的,则两点连线在曲线之上;若曲线是凸的,两点连线在曲线之下。 \begin{aligned} &\boxed{【小结】}\text{选择题一般考查凹凸性的几何意义,几何意义主要有两个方面,第一,与切线} \\ &\text{的关系,若曲线是凹的,则曲线在切线之上;若曲线是凸的,曲线在切线之下。第二,} \\ &\text{与两点连线的关系,} \\ &\text{若曲线是凹的,则两点连线在曲线之上;若曲线是凸的,两点连线在曲线之下。} \end{aligned} 【小结】选择题一般考查凹凸性的几何意义,几何意义主要有两个方面,第一,与切线的关系,若曲线是凹的,则曲线在切线之上;若曲线是凸的,曲线在切线之下。第二,与两点连线的关系,若曲线是凹的,则两点连线在曲线之上;若曲线是凸的,两点连线在曲线之下。
极值和拐点
直接考查
![![[Pasted image 20251205180606.png]]](https://i-blog.csdnimg.cn/direct/3226ff362d2845d5886bc9c30a024a74.png)
解: y=xsinx+2cosx,y′=sinx+xcosx−2sinx=xcosx−sinx,y′′=cosx−xsinx−cosx=−xsinx,y′′′=−sinx−xcosx.(A) y′′(0)=0, y′′′(0)=0, x=0的右侧附近y′′<0,左侧附近<0,不是拐点;(B) y′′(π)=0, y′′′(π)≠0,故(π,−2)为曲线的拐点;(C) y′′(π2)≠0,不是拐点;(D) y′′(3π2)≠0,也不是拐点. \begin{aligned} &\text{解: } y = x\sin x + 2\cos x, \\ &y' = \sin x + x\cos x - 2\sin x = x\cos x - \sin x, \\ &y'' = \cos x - x\sin x - \cos x = -x\sin x, \\ &y''' = -\sin x - x\cos x. \\ & \\ &(A)\ y''(0)=0,\ y'''(0)=0,\ x=0\text{的右侧附近}y''<0,\text{左侧附近}<0,\text{不是拐点}; \\ &(B)\ y''(\pi)=0,\ y'''(\pi)\neq 0,\text{故}(\pi,-2)\text{为曲线的拐点}; \\ &(C)\ y''\left(\frac{\pi}{2}\right)\neq 0,\text{不是拐点}; \\ &(D)\ y''\left(\frac{3\pi}{2}\right)\neq 0,\text{也不是拐点}. \end{aligned} 解: y=xsinx+2cosx,y′=sinx+xcosx−2sinx=xcosx−sinx,y′′=cosx−xsinx−cosx=−xsinx,y′′′=−sinx−xcosx.(A) y′′(0)=0, y′′′(0)=0, x=0的右侧附近y′′<0,左侧附近<0,不是拐点;(B) y′′(π)=0, y′′′(π)=0,故(π,−2)为曲线的拐点;(C) y′′(2π)=0,不是拐点;(D) y′′(23π)=0,也不是拐点.
【小结】1.此题考查的是函数取拐点的第一、第二充分条件,利用第一充分条件判断时,应先求出该函数的二阶导数为0的点,再依次判断这些点两侧每个区间上二阶导数的符号,根据第一充分条件判断它们是否取拐点,或者也可以根据第二充分条件,计算函数在二阶导数为零的点处的三阶导数来判断。2.不同形式函数极值点的判别1) 如果能够求出函数的单调区间,一般考虑使用第一充分条件进行判断。特别地,对于分段函数,基本都需要运用第一充分条件,使用时,对于分段点,不需要求导数,只需要求出左右两边的导数,再结合单调性进行分析;2) 不易求单调区间的,比如对于抽象函数,或者类型比较复杂的函数(隐函数或者参数方程),一般考虑使用第二充分条件。 \begin{aligned} &\boxed{【小结】} \\ &1.\text{此题考查的是函数取拐点的第一、第二充分条件,利用第一充分条件判断时,} \\ &\text{应先求出该函数的二阶导数为}0\text{的点,再依次判断这些点两侧每个区间上二阶导数的符} \\ &\text{号,根据第一充分条件判断它们是否取拐点,或者也可以根据第二充分条件,计算函数} \\ &\text{在二阶导数为零的点处的三阶导数来判断。} \\ & \\ &2.\text{不同形式函数极值点的判别} \\ &1)\ \text{如果能够求出函数的单调区间,一般考虑使用第一充分条件进行判断。特别地,对于} \\ &\text{分段函数,基本都需要运用第一充分条件,使用时,对于分段点,不需要求导数,只需} \\ &\text{要求出左右两边的导数,再结合单调性进行分析;} \\ &2)\ \text{不易求单调区间的,比如对于抽象函数,或者类型比较复杂的函数(隐函数或者参数} \\ &\text{方程),一般考虑使用第二充分条件。} \end{aligned} 【小结】1.此题考查的是函数取拐点的第一、第二充分条件,利用第一充分条件判断时,应先求出该函数的二阶导数为0的点,再依次判断这些点两侧每个区间上二阶导数的符号,根据第一充分条件判断它们是否取拐点,或者也可以根据第二充分条件,计算函数在二阶导数为零的点处的三阶导数来判断。2.不同形式函数极值点的判别1) 如果能够求出函数的单调区间,一般考虑使用第一充分条件进行判断。特别地,对于分段函数,基本都需要运用第一充分条件,使用时,对于分段点,不需要求导数,只需要求出左右两边的导数,再结合单调性进行分析;2) 不易求单调区间的,比如对于抽象函数,或者类型比较复杂的函数(隐函数或者参数方程),一般考虑使用第二充分条件。
![![[Pasted image 20251206031642.png]]](https://i-blog.csdnimg.cn/direct/89e8ef4f8a6449a6968ff39c89af2d8f.png)
解: 记方程2y3−2y2+2xy−x2=1为①在方程①两边同时对x求导:6y2⋅y′−4y⋅y′+2y+2xy′−2x=0②在②中, 令y′=0,可得y=x.代入①:2y3−y2−1=0, (令y依次代入2,1,−2,−1,0五个值试, 一个一个试)显然, y=1为唯一一个根.法1:在②两边同时对x求导:12y⋅y′⋅y′+6y2⋅y′′−4y′⋅y′−4y⋅y′′+2y′+2y′+2xy′′−2=0③将x=1, y=1, y′=0代入③可得 y′′=12>0故x=1为极小值点. \begin{aligned} &\text{解: 记方程}2y^3 - 2y^2 + 2xy - x^2 = 1\text{为}① \\ &\text{在方程}①\text{两边同时对}x\text{求导:} \\ &\quad 6y^2 \cdot y' - 4y \cdot y' + 2y + 2xy' - 2x = 0\quad ② \\ &\text{在}②\text{中, 令}y'=0,\text{可得}y = x.\text{代入}①: \\ &\quad 2y^3 - y^2 - 1 = 0,\ (\text{令}y\text{依次代入}2,1,-2,-1,0\text{五个值试, 一个一个试}) \\ &\text{显然, }y=1\text{为唯一一个根.} \\ &\text{法1:在}②\text{两边同时对}x\text{求导:} \\ &\quad 12y \cdot y' \cdot y' + 6y^2 \cdot y'' - 4y' \cdot y' - 4y \cdot y'' + 2y' + 2y' + 2xy'' - 2 = 0\quad ③ \\ &\text{将}x=1,\ y=1,\ y'=0\text{代入}③\text{可得 }y'' = \frac{1}{2} > 0 \\ &\text{故}x=1\text{为极小值点.} \end{aligned} 解: 记方程2y3−2y2+2xy−x2=1为①在方程①两边同时对x求导:6y2⋅y′−4y⋅y′+2y+2xy′−2x=0②在②中, 令y′=0,可得y=x.代入①:2y3−y2−1=0, (令y依次代入2,1,−2,−1,0五个值试, 一个一个试)显然, y=1为唯一一个根.法1:在②两边同时对x求导:12y⋅y′⋅y′+6y2⋅y′′−4y′⋅y′−4y⋅y′′+2y′+2y′+2xy′′−2=0③将x=1, y=1, y′=0代入③可得 y′′=21>0故x=1为极小值点.
最值的计算
① 求:(端点, 驻点, 和不可导点) ②比较函数值.③ 没必要判断驻点是否为极值点 \begin{aligned} &\text{① 求:} \\ &(\text{端点, 驻点, 和不可导点})\ ② \text{比较函数值.} \\ & \\ &\text{③ 没必要判断} \\ &\text{驻点是否为极值点} \end{aligned} ① 求:(端点, 驻点, 和不可导点) ②比较函数值.③ 没必要判断驻点是否为极值点
![![[Pasted image 20251206042203.png]]](https://i-blog.csdnimg.cn/direct/e2b6b78ea1c5426691968a1c811c77a8.png)
解: (1) f(x+π)=∫x+πx+π+π2∣sint∣dt=u=t−π∫xx+π2∣sin(u+π)∣d(u+π) =∫xx+π2∣−sinu∣du=∫xx+π2∣sinu∣du=f(x).故f(x)是以π为周期的周期函数.(2) 求f(x)的值域基本等同于求f(x)的最值. 又f(x)以π为周期, 故求f(x)在x∈R上的最值等同于求f(x)在[0,π]上的最值.因为∣sinx∣连续,故f(x)可导f′(x)=∣sin(x+π2)∣−∣sinx∣=∣cosx∣−∣sinx∣=0, x=π4,x=3π4.在x=π4的附近: f′′(x)=(cosx−sinx)′=−sinx−cosx, f′′(π4)=−2<0, x=π4为极大值点;在x=3π4的附近: f′(x)=(−cosx−sinx)′=sinx−cosx, f′′(3π4)=2>0, x=3π4为极小值点.f(0)=∫0π2∣sint∣dt=∫0π2sintdt=1, f(π)=∫π3π2∣sint∣dt=1,f(π4)=∫π43π4∣sint∣dt=2, f(3π4)=∫3π45π4∣sint∣dt=2−2.则f(x)的值域为[2−2,2]. \begin{aligned} &\text{解: (1) } f(x+\pi) = \int_{x+\pi}^{x+\pi+\frac{\pi}{2}} |\sin t| dt \xlongequal{u=t-\pi} \int_{x}^{x+\frac{\pi}{2}} |\sin(u+\pi)| d(u+\pi) \\ &\quad\ = \int_{x}^{x+\frac{\pi}{2}} |-\sin u| du = \int_{x}^{x+\frac{\pi}{2}} |\sin u| du = f(x).\text{故}f(x)\text{是以}\pi\text{为周期的周期函数.} \\ & \\ &(2)\ \text{求}f(x)\text{的值域基本等同于求}f(x)\text{的最值. 又}f(x)\text{以}\pi\text{为周期, 故} \\ &\text{求}f(x)\text{在}x\in\mathbb{R}\text{上的最值等同于求}f(x)\text{在}[0,\pi]\text{上的最值.}\\&因为|\sin x| 连续,故f(x)可导\\ &f'(x) = \left|\sin\left(x+\frac{\pi}{2}\right)\right| - |\sin x| = |\cos x| - |\sin x| = 0,\ x=\frac{\pi}{4},x=\frac{3\pi}{4}. \\ &\text{在}x=\frac{\pi}{4}\text{的附近: } f''(x) = (\cos x - \sin x)' = -\sin x - \cos x,\ f''\left(\frac{\pi}{4}\right)=-\sqrt{2}<0,\ x=\frac{\pi}{4}\text{为极大值点;} \\ &\text{在}x=\frac{3\pi}{4}\text{的附近: } f'(x) = (-\cos x - \sin x)' = \sin x - \cos x,\ f''\left(\frac{3\pi}{4}\right)=\sqrt{2}>0,\ x=\frac{3\pi}{4}\text{为极小值点.} \\ &f(0) = \int_{0}^{\frac{\pi}{2}} |\sin t| dt = \int_{0}^{\frac{\pi}{2}} \sin t dt = 1,\ f(\pi) = \int_{\pi}^{\frac{3\pi}{2}} |\sin t| dt = 1, \\ &f\left(\frac{\pi}{4}\right) = \int_{\frac{\pi}{4}}^{\frac{3\pi}{4}} |\sin t| dt = \sqrt{2},\ f\left(\frac{3\pi}{4}\right) = \int_{\frac{3\pi}{4}}^{\frac{5\pi}{4}} |\sin t| dt = 2-\sqrt{2}. \\ &\text{则}f(x)\text{的值域为}[2-\sqrt{2},\sqrt{2}]. \end{aligned} 解: (1) f(x+π)=∫x+πx+π+2π∣sint∣dtu=t−π∫xx+2π∣sin(u+π)∣d(u+π) =∫xx+2π∣−sinu∣du=∫xx+2π∣sinu∣du=f(x).故f(x)是以π为周期的周期函数.(2) 求f(x)的值域基本等同于求f(x)的最值. 又f(x)以π为周期, 故求f(x)在x∈R上的最值等同于求f(x)在[0,π]上的最值.因为∣sinx∣连续,故f(x)可导f′(x)=sin(x+2π)−∣sinx∣=∣cosx∣−∣sinx∣=0, x=4π,x=43π.在x=4π的附近: f′′(x)=(cosx−sinx)′=−sinx−cosx, f′′(4π)=−2<0, x=4π为极大值点;在x=43π的附近: f′(x)=(−cosx−sinx)′=sinx−cosx, f′′(43π)=2>0, x=43π为极小值点.f(0)=∫02π∣sint∣dt=∫02πsintdt=1, f(π)=∫π23π∣sint∣dt=1,f(4π)=∫4π43π∣sint∣dt=2, f(43π)=∫43π45π∣sint∣dt=2−2.则f(x)的值域为[2−2,2].
【小结】1.遇到求函数值域问题,可以转化为求函数的最值问题。2.求函数在闭区间上最值的基本思路:先求导,找到所有驻点及不可导点,再求出上述所有点及区间端点处的函数值,这些函数值中,最大的就是函数的最大值,最小的就是函数的最小值。如果要求函数在开区间上的最值,则将区间端点值用极限值代替即可。此时,如果区间端点值是最大或最小的,那么函数的最值是取不到的。 \begin{aligned} &\boxed{【小结】} \\ &1.\text{遇到求函数值域问题,可以转化为求函数的最值问题。} \\ & \\ &2.\text{求函数在闭区间上最值的基本思路:先求导,找到所有驻点及不可导点,再求出上述} \\ &\text{所有点及区间端点处的函数值,这些函数值中,最大的就是函数的最大值,最小的就是} \\ &\text{函数的最小值。} \\ & \\ &\text{如果要求函数在开区间上的最值,则将区间端点值用极限值代替即可。此时,如果区间} \\ &\text{端点值是最大或最小的,那么函数的最值是取不到的。} \end{aligned} 【小结】1.遇到求函数值域问题,可以转化为求函数的最值问题。2.求函数在闭区间上最值的基本思路:先求导,找到所有驻点及不可导点,再求出上述所有点及区间端点处的函数值,这些函数值中,最大的就是函数的最大值,最小的就是函数的最小值。如果要求函数在开区间上的最值,则将区间端点值用极限值代替即可。此时,如果区间端点值是最大或最小的,那么函数的最值是取不到的。
F(x)=∫axf(t)dt① f(x)可积,则F(x)连续.② f(x)连续,则F(x)可导.③ f(x)可导,则F(x)二阶可导. \begin{aligned} &F(x) = \int_{a}^{x} f(t)dt \\ &①\ f(x)\text{可积,则}F(x)\text{连续}. \\ &②\ f(x)\text{连续,则}F(x)\text{可导}. \\ &③\ f(x)\text{可导,则}F(x)\text{二阶可导}. \end{aligned} F(x)=∫axf(t)dt① f(x)可积,则F(x)连续.② f(x)连续,则F(x)可导.③ f(x)可导,则F(x)二阶可导.
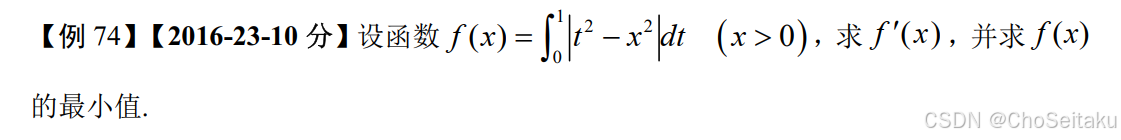
![![[Pasted image 20251206050535.png]]](https://i-blog.csdnimg.cn/direct/0e0cfd23dbfe4448accdfd1560da0a13.png)
解: 当x≥1时, 0≤t≤1,故t≤xf(x)=∫01∣x2−t2∣dt=x2−13当0<x<1时, f(x)=∫0x∣t2−x2∣dt+∫x1∣t2−x2∣dt=∫0x(x2−t2)dt+∫x1(t2−x2)dt=x3−x33+12−x33−x2(1−x)=43x3−x2+13f(x)={43x3−x2+13,0<x<1x2−13,1≤x,f′(x)={4x2−2x,0<x<12x,x>1f+′(1)=limx→1+x2−13−23x−1=2, f−′(1)=limx→1−43x3−x2+13−23x−1=2故f′(1)=2. f′(x)={4x2−2x,0<x≤12x,x>1, 令f′(x)=0, x=12法1: f(0)=∫01∣t2∣dt=13 ×f(0)=limx→0+f(x)=limx→0+∫0x∣t2∣dt=13 ×错误: 本题f(x)和f(0)无任何关系, 只要提到f(x)就是错的.limx→0+f(x)=limx→0+∫01∣t2∣dt=13, limx→+∞f(x)=limx→+∞x2−13=+∞f(12)=43(12)3−(12)2+13=14,则最小值为f(12)=14,故最小值为f(12)=14 \begin{aligned} &\text{解: 当}x\geq1\text{时, }0\leq t\leq1,\text{故}t\leq x \\ &f(x) = \int_{0}^{1}|x^2-t^2|dt = x^2 - \frac{1}{3} \\ & \\ &\text{当}0 < x < 1\text{时, } \\ &f(x) = \int_{0}^{x}|t^2-x^2|dt + \int_{x}^{1}|t^2-x^2|dt \\ &\quad= \int_{0}^{x}(x^2-t^2)dt + \int_{x}^{1}(t^2-x^2)dt \\ &\quad= x^3 - \frac{x^3}{3} + \frac{1^2-x^3}{3} - x^2(1-x) \\ &\quad= \frac{4}{3}x^3 - x^2 + \frac{1}{3} \\ & \\ &f(x)=\begin{cases} \frac{4}{3}x^3 - x^2 + \frac{1}{3}, & 0 < x < 1 \\ x^2 - \frac{1}{3}, & 1 \leq x \end{cases}, \quad f'(x)=\begin{cases} 4x^2 - 2x, & 0 < x < 1 \\ 2x, & x > 1 \end{cases} \\ & \\ &f'_+(1)=\lim\limits_{x\to1^+}\frac{x^2 - \frac{1}{3} - \frac{2}{3}}{x-1}=2,\ f'_-(1)=\lim\limits_{x\to1^-}\frac{\frac{4}{3}x^3 - x^2 + \frac{1}{3} - \frac{2}{3}}{x-1}=2 \\ &\text{故}f'(1)=2.\ f'(x)=\begin{cases} 4x^2 - 2x, & 0 < x \le 1 \\ 2x, & x > 1 \end{cases},\ \text{令}f'(x)=0,\ x=\frac{1}{2} \\ & \\ &\text{法1: }f(0)=\int_{0}^{1}|t^2|dt = \frac{1}{3}\ \boxed{\times}\quad f(0)=\lim\limits_{x\to0^+}f(x)=\lim\limits_{x\to0^+}\int_{0}^{x}|t^2|dt = \frac{1}{3}\ \boxed{\times} \\ &\text{错误: 本题}f(x)\text{和}f(0)\text{无任何关系, 只要提到}f(x)\text{就是错的.} \\ & \\ &\lim\limits_{x\to0^+}f(x)=\lim\limits_{x\to0^+}\int_{0}^{1}|t^2|dt = \frac{1}{3},\ \lim\limits_{x\to+\infty}f(x)=\lim\limits_{x\to+\infty}x^2 - \frac{1}{3}=+\infty \\ &f\left(\frac{1}{2}\right)=\frac{4}{3}\left(\frac{1}{2}\right)^3 - \left(\frac{1}{2}\right)^2 + \frac{1}{3}=\frac{1}{4},\text{则最小值为}f\left(\frac{1}{2}\right)=\frac{1}{4},\text{故最小值为}f\left(\frac{1}{2}\right)=\frac{1}{4} \end{aligned} 解: 当x≥1时, 0≤t≤1,故t≤xf(x)=∫01∣x2−t2∣dt=x2−31当0<x<1时, f(x)=∫0x∣t2−x2∣dt+∫x1∣t2−x2∣dt=∫0x(x2−t2)dt+∫x1(t2−x2)dt=x3−3x3+312−x3−x2(1−x)=34x3−x2+31f(x)={34x3−x2+31,x2−31,0<x<11≤x,f′(x)={4x2−2x,2x,0<x<1x>1f+′(1)=x→1+limx−1x2−31−32=2, f−′(1)=x→1−limx−134x3−x2+31−32=2故f′(1)=2. f′(x)={4x2−2x,2x,0<x≤1x>1, 令f′(x)=0, x=21法1: f(0)=∫01∣t2∣dt=31 ×f(0)=x→0+limf(x)=x→0+lim∫0x∣t2∣dt=31 ×错误: 本题f(x)和f(0)无任何关系, 只要提到f(x)就是错的.x→0+limf(x)=x→0+lim∫01∣t2∣dt=31, x→+∞limf(x)=x→+∞limx2−31=+∞f(21)=34(21)3−(21)2+31=41,则最小值为f(21)=41,故最小值为f(21)=41
法2: x>12时, f′(x)>0, f(x)单调递增;0<x<12时, f′(x)<0, f(x)单调递减.故最小值为f(12)=14. \begin{aligned} &\text{法2: } x > \frac{1}{2}\text{时, }f'(x) > 0,\ f(x)\text{单调递增;}0 < x < \frac{1}{2}\text{时, }f'(x) < 0,\ f(x)\text{单调递减.} \\ &\text{故最小值为}f\left(\frac{1}{2}\right) = \frac{1}{4}. \end{aligned} 法2: x>21时, f′(x)>0, f(x)单调递增;0<x<21时, f′(x)<0, f(x)单调递减.故最小值为f(21)=41.
【小结】形如∫ab∣f(x,t)∣dt,令f(x,t)=0,解出t,按照t的取值和a,b的关系进行讨论。 \begin{aligned} &\boxed{【小结】}\text{形如}\int_{a}^{b}|f(x,t)|dt\text{,令}f(x,t)=0\text{,解出}t\text{,按照}t\text{的取值和}a,b\text{的关系进行讨论。} \end{aligned} 【小结】形如∫ab∣f(x,t)∣dt,令f(x,t)=0,解出t,按照t的取值和a,b的关系进行讨论。
拓: y=arctanx在x∈R上是否存在最值?答: 不存在。因为最值一定是函数值,x取不到±∞,故y也就取不到最值,但能求其值域,此时取“开”区间。 \begin{aligned} &\text{拓: } y = \arctan x\text{在}x\in\mathbb{R}\text{上是否存在最值?} \\ &\text{答: 不存在。因为最值一定是函数值,}x\text{取不到}\pm\infty, \\ &\text{故}y\text{也就取不到最值,但能求其值域,此时取“开”区间。} \end{aligned} 拓: y=arctanx在x∈R上是否存在最值?答: 不存在。因为最值一定是函数值,x取不到±∞,故y也就取不到最值,但能求其值域,此时取“开”区间。
改题:f(u,v)=∫01∣x2−(u+v)x+uv∣dx, (u>0, v>0)=∫01∣(x−u)(x−v)∣dx① u≥1, v≥1, 此时0<x<1, x<u, x<vf(u,v)=∫01(u−x)(v−x)dx② 0≤u<1, v>1, 此时0<x<1, x<vf(u,v)=∫01(v−x)∣(x−u)∣dx=∫0u(v−x)(u−x)dx+∫u1(v−x)(x−u)dx③ 0≤v<1, u>1, 此时0<x<1, x<uf(u,v)=∫01(u−x)∣(x−v)∣dx=∫0v(u−x)(v−x)dx+∫v1(u−x)(x−v)dx④ 0≤u<1, 0≤v<1, u<v, 此时0<x<1=∫0u(u−x)(v−x)dx+∫uv(x−u)(v−x)dx+∫v1(x−u)(x−v)dx⑤ 0≤u<1, 0≤v<1, v<u, 此时0<x<1=∫0v(u−x)(v−x)dx+∫vu(x−v)(u−x)dx+∫u1(x−v)(x−u)dx \begin{aligned} &\text{改题:} \\ &f(u,v) = \int_{0}^{1} |x^2 - (u+v)x + uv|dx,\ (u>0,\ v>0) \\ &\quad= \int_{0}^{1} |(x-u)(x-v)|dx \\ & \\ &①\ u\geq1,\ v\geq1,\ \text{此时}0< x<1,\ x< u,\ x< v \\ &f(u,v) = \int_{0}^{1} (u-x)(v-x)dx \\ & \\ &②\ 0\leq u<1,\ v>1,\ \text{此时}0< x<1,\ x< v \\ &f(u,v) = \int_{0}^{1} (v-x)|(x-u)|dx \\ &\quad= \int_{0}^{u} (v-x)(u-x)dx + \int_{u}^{1} (v-x)(x-u)dx \\ & \\ &③\ 0\leq v<1,\ u>1,\ \text{此时}0< x<1,\ x< u \\ &f(u,v) = \int_{0}^{1} (u-x)|(x-v)|dx \\ &\quad= \int_{0}^{v} (u-x)(v-x)dx + \int_{v}^{1} (u-x)(x-v)dx \\ & \\ &④\ 0\leq u<1,\ 0\leq v<1,\ u< v,\ \text{此时}0< x<1 \\ &\quad= \int_{0}^{u} (u-x)(v-x)dx + \int_{u}^{v} (x-u)(v-x)dx + \int_{v}^{1} (x-u)(x-v)dx \\ & \\ &⑤\ 0\leq u<1,\ 0\leq v<1,\ v< u,\ \text{此时}0< x<1 \\ &\quad= \int_{0}^{v} (u-x)(v-x)dx + \int_{v}^{u} (x-v)(u-x)dx + \int_{u}^{1} (x-v)(x-u)dx \\ \end{aligned} 改题:f(u,v)=∫01∣x2−(u+v)x+uv∣dx, (u>0, v>0)=∫01∣(x−u)(x−v)∣dx① u≥1, v≥1, 此时0<x<1, x<u, x<vf(u,v)=∫01(u−x)(v−x)dx② 0≤u<1, v>1, 此时0<x<1, x<vf(u,v)=∫01(v−x)∣(x−u)∣dx=∫0u(v−x)(u−x)dx+∫u1(v−x)(x−u)dx③ 0≤v<1, u>1, 此时0<x<1, x<uf(u,v)=∫01(u−x)∣(x−v)∣dx=∫0v(u−x)(v−x)dx+∫v1(u−x)(x−v)dx④ 0≤u<1, 0≤v<1, u<v, 此时0<x<1=∫0u(u−x)(v−x)dx+∫uv(x−u)(v−x)dx+∫v1(x−u)(x−v)dx⑤ 0≤u<1, 0≤v<1, v<u, 此时0<x<1=∫0v(u−x)(v−x)dx+∫vu(x−v)(u−x)dx+∫u1(x−v)(x−u)dx
题目让求f′(x),故x=1处的导数也要求.问: 如果不需要求f’(x)是否要求x=1处的导数.答: 可以不求. 顶多它是不可导点, 只要多算一下f(1)即可.limx→0+f(x)=limx→0+∫0x∣t2−x2∣dt=13, limx→+∞f(x)=limx→+∞x2−13=+∞, f(1)=23f(12)=43(12)3−(12)2+13=14,则最小值为f(12)=14,故最小值为f(12)=14 \begin{aligned} &\text{题目让求}f'(x),\text{故}x=1\text{处的导数也要求.} \\ & \\ &\text{问: 如果不需要求f'(x)是否要求}x=1\text{处的导数.} \\ & \\ &\text{答: 可以不求. 顶多它是不可导点, 只要多算一下}f(1)\text{即可.} \\ & \\ &\lim\limits_{x\to0^+}f(x)=\lim\limits_{x\to0^+}\int_{0}^{x}|t^2-x^2|dt = \frac{1}{3},\ \lim\limits_{x\to+\infty}f(x)=\lim\limits_{x\to+\infty}x^2 - \frac{1}{3}=+\infty,\ f(1)=\frac{2}{3} \\ &f\left(\frac{1}{2}\right)=\frac{4}{3}\left(\frac{1}{2}\right)^3 - \left(\frac{1}{2}\right)^2 + \frac{1}{3}=\frac{1}{4},\text{则最小值为}f\left(\frac{1}{2}\right)=\frac{1}{4},\text{故最小值为}f\left(\frac{1}{2}\right)=\frac{1}{4} \end{aligned} 题目让求f′(x),故x=1处的导数也要求.问: 如果不需要求f’(x)是否要求x=1处的导数.答: 可以不求. 顶多它是不可导点, 只要多算一下f(1)即可.x→0+limf(x)=x→0+lim∫0x∣t2−x2∣dt=31, x→+∞limf(x)=x→+∞limx2−31=+∞, f(1)=32f(21)=34(21)3−(21)2+31=41,则最小值为f(21)=41,故最小值为f(21)=41
结合方程与图像
- 结合方程
![![[Pasted image 20251206101131.png]]](https://i-blog.csdnimg.cn/direct/0987d86baec94632a6adea95fc2f5786.png)
解: f′′(0)+[f′(0)]2=0, f′′(0)=0f′′(x)=−[f′(x)]2+x, 因−[f′(x)]2+x可导, 故f′′(x)可导, f′′′(x)存在.f′′′(x)+2f′(x)f′′(x)=1.f′′′(0)+2f′(0)f′′(0)=1, f′′′(0)=1,则(0,f(0))为曲线的拐点. 选(C) \begin{aligned} &\text{解: } f''(0) + \left[f'(0)\right]^2 = 0,\ f''(0) = 0 \\ &f''(x) = -\left[f'(x)\right]^2 + x,\ \text{因}-\left[f'(x)\right]^2 + x\text{可导, 故}f''(x)\text{可导, }f'''(x)\text{存在}.\\ &f'''(x) + 2f'(x)f''(x) = 1. \\ &f'''(0) + 2f'(0)f''(0) = 1,\ f'''(0) = 1, \\ & \\ &\text{则}(0,f(0))\text{为曲线的拐点. 选}(C) \end{aligned} 解: f′′(0)+[f′(0)]2=0, f′′(0)=0f′′(x)=−[f′(x)]2+x, 因−[f′(x)]2+x可导, 故f′′(x)可导, f′′′(x)存在.f′′′(x)+2f′(x)f′′(x)=1.f′′′(0)+2f′(0)f′′(0)=1, f′′′(0)=1,则(0,f(0))为曲线的拐点. 选(C)
结论: 可导函数, 拐点和极值点, 不能在同一点处取到.排除AB \begin{aligned} &\text{结论: 可导函数, 拐点和极值点, 不能在同一点处取到.排除AB} \end{aligned} 结论: 可导函数, 拐点和极值点, 不能在同一点处取到.排除AB
【小结】1.将驻点代入方程的目的是为了求出二阶导数,如果二阶方程中二阶导数的系数中含有零因子,则需要先在方程两边同时除以零因子,然后再代入(此时一般不能直接代入,可在等式两边同时取极限)。2.将驻点代入后得到的二阶导数的值为零,可以继续求解三阶导数的值,从而判断是否为拐点。 \begin{aligned} &\boxed{【小结】} \\ &1.\text{将驻点代入方程的目的是为了求出二阶导数,如果二阶方程中二阶导数的系} \\ &\text{数中含有零因子,则需要先在方程两边同时除以零因子,然后再代入(此时一般不能直} \\ &\text{接代入,可在等式两边同时取极限)。} \\ & \\ &2.\text{将驻点代入后得到的二阶导数的值为零,可以继续求解三阶导数的值,从而判断是否} \\ &\text{为拐点。} \end{aligned} 【小结】1.将驻点代入方程的目的是为了求出二阶导数,如果二阶方程中二阶导数的系数中含有零因子,则需要先在方程两边同时除以零因子,然后再代入(此时一般不能直接代入,可在等式两边同时取极限)。2.将驻点代入后得到的二阶导数的值为零,可以继续求解三阶导数的值,从而判断是否为拐点。
2. 结合图像
![![[Pasted image 20251206103320.png]]](https://i-blog.csdnimg.cn/direct/4ea7dde6c0374f50a48442335558d12f.png)
![![[Pasted image 20251206104311.png]]](https://i-blog.csdnimg.cn/direct/e8599ba0fdb742f6bb76695f9ceff8fb.png)
选C
【小结】1.若题目中给出了导函数的图像,要判断函数的极值点,基本思路是先找出所有可能的极值点(即驻点和导数不存在的点),再逐一通过检验该点左、右两边函数的单调性进行判断是否为极值点。此外,如果要求函数的拐点,要找到导函数的极值点和导数不存在的点,通过判断左右两边的单调性进行判断。2.若题目中给出了二阶导数图像,要判断函数的拐点,基本思路是先找出所有可能的拐点(即二阶导函数的极值点及二阶导函数不存在的点),再逐一通过检验该点左、右两边的单调性进行判断是否为拐点。至此可以将本类题型小结如下,1.极值点是f(x)单调性改变的点,f′(x)符号改变的点;2.拐点是f(x)凹凸性改变的点,f′(x)单调性改变的点,f′′(x)符号改变的点。 \begin{aligned} &\boxed{【小结】} \\ &1.\text{若题目中给出了导函数的图像,要判断函数的极值点,基本思路是先找出所} \\ &\text{有可能的极值点(即驻点和导数不存在的点),再逐一通过检验该点左、右两边函数的单} \\ &\text{调性进行判断是否为极值点。此外,如果要求函数的拐点,要找到导函数的极值点和导} \\ &\text{数不存在的点,通过判断左右两边的单调性进行判断。} \\ & \\ &2.\text{若题目中给出了二阶导数图像,要判断函数的拐点,基本思路是先找出所有可能的拐} \\ &\text{点(即二阶导函数的极值点及二阶导函数不存在的点),再逐一通过检验该点左、右两边} \\ &\text{的单调性进行判断是否为拐点。} \\ & \\ &\text{至此可以将本类题型小结如下,} \\ &1.\text{极值点是}f(x)\text{单调性改变的点,}f'(x)\text{符号改变的点;} \\ &2.\text{拐点是}f(x)\text{凹凸性改变的点,}f'(x)\text{单调性改变的点,}f''(x)\text{符号改变的点。} \end{aligned} 【小结】1.若题目中给出了导函数的图像,要判断函数的极值点,基本思路是先找出所有可能的极值点(即驻点和导数不存在的点),再逐一通过检验该点左、右两边函数的单调性进行判断是否为极值点。此外,如果要求函数的拐点,要找到导函数的极值点和导数不存在的点,通过判断左右两边的单调性进行判断。2.若题目中给出了二阶导数图像,要判断函数的拐点,基本思路是先找出所有可能的拐点(即二阶导函数的极值点及二阶导函数不存在的点),再逐一通过检验该点左、右两边的单调性进行判断是否为拐点。至此可以将本类题型小结如下,1.极值点是f(x)单调性改变的点,f′(x)符号改变的点;2.拐点是f(x)凹凸性改变的点,f′(x)单调性改变的点,f′′(x)符号改变的点。
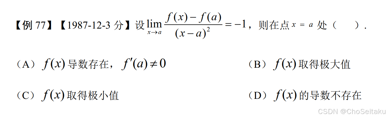
结合极限
![![[Pasted image 20251206105731.png]]](https://i-blog.csdnimg.cn/direct/65fb141b0a044af3a9d6cd29815f45f0.png)
解: 法1: 特殊值. 令f(x)=−(x−a)2,排除A,C,D,由排除法只能选(B)法2: 保号性. f(x)−f(a)在x=a的附近恒小于0, f(x)取得极大值.法3: 泰勒公式: limx→af(a)+f′(a)(x−a)+f′′(a)2(x−a)2+o((x−a)2)−f(a)(x−a)2=−1f′(a)=0, f′′(a)=−2<0,故f(x)在x=a处取得极大值. \begin{aligned} &\text{解: 法1: 特殊值. 令}f(x)=-(x-a)^2,\text{排除}A,C,D,\text{由排除法只能选}(B) \\ & \\ &\text{法2: 保号性. }f(x)-f(a)\text{在}x=a\text{的附近恒小于0, }f(x)\text{取得极大值.} \\ & \\ &\text{法3: 泰勒公式: } \lim\limits_{x\to a}\frac{f(a)+f'(a)(x-a)+\frac{f''(a)}{2}(x-a)^2+o((x-a)^2)-f(a)}{(x-a)^2}=-1 \\ & \\ &f'(a)=0,\ f''(a)=-2<0,\text{故}f(x)\text{在}x=a\text{处取得极大值.} \end{aligned} 解: 法1: 特殊值. 令f(x)=−(x−a)2,排除A,C,D,由排除法只能选(B)法2: 保号性. f(x)−f(a)在x=a的附近恒小于0, f(x)取得极大值.法3: 泰勒公式: x→alim(x−a)2f(a)+f′(a)(x−a)+2f′′(a)(x−a)2+o((x−a)2)−f(a)=−1f′(a)=0, f′′(a)=−2<0,故f(x)在x=a处取得极大值.
【小结】若题目中以极限式作为已知条件求极值点与拐点时,通常思路有三种:①凑导数定义;②考虑保号性;③使用泰勒公式。本题运用到了凑导数定义以及保号性。 \begin{aligned} &\boxed{【小结】}\text{若题目中以极限式作为已知条件求极值点与拐点时,通常思路有三种:} \\&①凑导数定义;②考虑保号性;③使用泰勒公式。\\&本题运用到了凑导数定义以及保号性。\end{aligned} 【小结】若题目中以极限式作为已知条件求极值点与拐点时,通常思路有三种:①凑导数定义;②考虑保号性;③使用泰勒公式。本题运用到了凑导数定义以及保号性。
![![[Pasted image 20251206105839.png]]](https://i-blog.csdnimg.cn/direct/bdbbf1f94b23482aa39f3541453a6027.png)
f′′(x)在0的两边大于0,所以不是拐点
f''(x)在0的两边大于0,所以不是拐点
f′′(x)在0的两边大于0,所以不是拐点
![![[Pasted image 20251206112511.png]]](https://i-blog.csdnimg.cn/direct/ec70b25d52bd49908df9567c4c8adf96.png)
有极小值。选B
有极小值。选B
有极小值。选B
【小结】如果所给极限式中分子或分母的符号确定,则优先考虑保号性。本题中分母恒正,用保号性之后可将分母忽略。 \begin{aligned} &\boxed{【小结】}\text{如果所给极限式中分子或分母的符号确定,则优先考虑保号性。}\\&本题中分母恒正,用保号性之后可将分母忽略。 \end{aligned} 【小结】如果所给极限式中分子或分母的符号确定,则优先考虑保号性。本题中分母恒正,用保号性之后可将分母忽略。
极值和拐点,与阶数的关系.f′(x0)=0, f′′(x0)≠0, 此时x=x0为极值点.f′(x0)=f′′(x0)=0, f′′′(x0)≠0, 此时(x0,f(x0))为拐点.f′(x0)=f′′(x0)=f′′′(x0)=0, f(4)(x0)≠0, 此时x=x0为极值点.f′(x0)=f′′(x0)=f′′′(x0)=f(4)(x0)=0, f(5)(x0)≠0, 此时(x0,f(x0))为拐点.若f′(x0)=f′′(x0)=⋯=f(2n−1)(x0)=0, f(2n)(x0)≠0, 此时x=x0为极值点.f(x)=f(2n)(x0)(2n)!(x−x0)2n+o((x−x0)2n)和(x−x0)2n同阶. 阶数为偶数时,该点为极值点.(类比y=x2)若f′(x0)=f′′(x0)=⋯=f(2n)(x0)=0, f(2n+1)(x0)≠0, 此时(x0,f(x0))为拐点.f(x)=f(2n+1)(x0)(2n+1)!(x−x0)2n+1+o((x−x0)2n+1)和(x−x0)2n+1同阶. 阶数为奇数时,该点为拐点.(类比y=x3) \begin{aligned} &\text{极值和拐点,与阶数的关系.} \\ & \\ &f'(x_0)=0,\ f''(x_0)\neq0,\ \text{此时}x=x_0\text{为极值点.} \\ & \\ &f'(x_0)=f''(x_0)=0,\ f'''(x_0)\neq0,\ \text{此时}(x_0,f(x_0))\text{为拐点.} \\ & \\ &f'(x_0)=f''(x_0)=f'''(x_0)=0,\ f^{(4)}(x_0)\neq0,\ \text{此时}x=x_0\text{为极值点.} \\ & \\ &f'(x_0)=f''(x_0)=f'''(x_0)=f^{(4)}(x_0)=0,\ f^{(5)}(x_0)\neq0,\ \text{此时}(x_0,f(x_0))\text{为拐点.} \\ & \\ &\text{若}f'(x_0)=f''(x_0)=\cdots=f^{(2n-1)}(x_0)=0,\ f^{(2n)}(x_0)\neq0,\ \text{此时}x=x_0\text{为极值点.} \\ &f(x)=\frac{f^{(2n)}(x_0)}{(2n)!}(x-x_0)^{2n}+o\left((x-x_0)^{2n}\right)\text{和}(x-x_0)^{2n}\text{同阶. 阶数为偶} \\ &\text{数时,该点为极值点.(类比}y=x^2\text{)}\\ & \\ &\text{若}f'(x_0)=f''(x_0)=\cdots=f^{(2n)}(x_0)=0,\ f^{(2n+1)}(x_0)\neq0,\ \text{此时}(x_0,f(x_0))\text{为拐点.}\\&f(x)=\frac{f^{(2n+1)}(x_0)}{(2n+1)!}(x-x_0)^{2n+1}+o\left((x-x_0)^{2n+1}\right)\text{和}(x-x_0)^{2n+1}\text{同阶. 阶数为奇} \\ &\text{数时,该点为拐点.(类比}y=x^3\text{)} \end{aligned} 极值和拐点,与阶数的关系.f′(x0)=0, f′′(x0)=0, 此时x=x0为极值点.f′(x0)=f′′(x0)=0, f′′′(x0)=0, 此时(x0,f(x0))为拐点.f′(x0)=f′′(x0)=f′′′(x0)=0, f(4)(x0)=0, 此时x=x0为极值点.f′(x0)=f′′(x0)=f′′′(x0)=f(4)(x0)=0, f(5)(x0)=0, 此时(x0,f(x0))为拐点.若f′(x0)=f′′(x0)=⋯=f(2n−1)(x0)=0, f(2n)(x0)=0, 此时x=x0为极值点.f(x)=(2n)!f(2n)(x0)(x−x0)2n+o((x−x0)2n)和(x−x0)2n同阶. 阶数为偶数时,该点为极值点.(类比y=x2)若f′(x0)=f′′(x0)=⋯=f(2n)(x0)=0, f(2n+1)(x0)=0, 此时(x0,f(x0))为拐点.f(x)=(2n+1)!f(2n+1)(x0)(x−x0)2n+1+o((x−x0)2n+1)和(x−x0)2n+1同阶. 阶数为奇数时,该点为拐点.(类比y=x3)
练习: f(x)=(ex−1−x)(x−ln(1+x))(1+cosx)(x−sinx)(tanx−arcsinx),求阶数.∼x22⋅x22⋅x22⋅x36⋅x36=18⋅62x12>0① (0,0)为曲线f(x)的拐点.② x=0为f(x)的极值点. √极小值. \begin{aligned} &\text{练习: } f(x)=(e^x-1-x)\left(x-\ln(1+x)\right)(1+\cos x)(x-\sin x)(\tan x - \arcsin x),\text{求阶数.} \\ &\quad\sim \frac{x^2}{2}\cdot\frac{x^2}{2}\cdot\frac{x^2}{2}\cdot\frac{x^3}{6}\cdot\frac{x^3}{6} = \frac{1}{8\cdot 6^2}x^{12} > 0 \\ & \\ &①\ (0,0)\text{为曲线}f(x)\text{的拐点.} \\ &②\ x=0\text{为}f(x)\text{的极值点.}\ \boxed{√}\quad\text{极小值.} \end{aligned} 练习: f(x)=(ex−1−x)(x−ln(1+x))(1+cosx)(x−sinx)(tanx−arcsinx),求阶数.∼2x2⋅2x2⋅2x2⋅6x3⋅6x3=8⋅621x12>0① (0,0)为曲线f(x)的拐点.② x=0为f(x)的极值点. √极小值.
tanxsinxxarcsinxarctanx \begin{aligned} &\boxed{\tan x}\quad\boxed{\sin x}\quad\boxed{x}\quad\boxed{\arcsin x}\quad\boxed{\arctan x} \end{aligned} tanxsinxxarcsinxarctanx
1638

被折叠的 条评论
为什么被折叠?



