对导数定义式的直接考查
分段函数的导数
{显式分段函数例(31,32){分段点用定义非分段点用求导法则隐式分段函数(含绝对值、最值等){① 转化为显式分段函数② 绝对值(例33,34,35,36)(符号、绝对值、最大值、最小值、取整等) \begin{cases} \boxed{显式分段函数例(31,32)} \begin{cases} \text{分段点用定义} \\ \text{非分段点用求导法则} \end{cases} \\ \\ \boxed{隐式分段函数(含绝对值、最值等)} \begin{cases} ①\ \text{转化为显式分段函数} \\ ②\ \text{绝对值(例33,34,35,36)} \\(符号、绝对值、最大值、最小值、取整等) \text{} \end{cases} \end{cases} ⎩⎨⎧显式分段函数例(31,32){分段点用定义非分段点用求导法则隐式分段函数(含绝对值、最值等)⎩⎨⎧① 转化为显式分段函数② 绝对值(例33,34,35,36)(符号、绝对值、最大值、最小值、取整等)
![![[Pasted image 20251203033758.png]]](https://i-blog.csdnimg.cn/direct/ecd7989938d448e0a91d9b6c09e7e525.png)
解:x=0时,g(0)=∫01f(0⋅t)dt=∫01f(0)dt=f(0)=limx→0f(x)=limx→0f(x)x⋅x=1⋅0=0;x≠0时,g(x)=∫01f(xt)dt=u=xt∫0xf(u)dux ⟹ 1x∫0xf(u)du,故g(x)={1x∫0xf(u)dux≠00x=0g′(0)=limx→0g(x)−g(0)x−0=limx→01x∫0xf(u)dux=洛必达limx→0f(x)2x=12;g′(x)={xf(x)−∫0xf(u)dux2x≠012x=0验证g′(x)在x=0处连续:limx→0g′(x)=limx→0xf(x)−∫0xf(u)dux2=limx→0f(x)x−limx→0∫0xf(u)dux2=1−12=12=g′(0),故g′(x)在x=0处连续. \begin{aligned} &\text{解:}x=0\text{时,}g(0)=\int_{0}^{1}f(0\cdot t)dt=\int_{0}^{1}f(0)dt=f(0)=\lim_{ x \to 0 }f(x)=\lim_{ x \to 0 } \frac{f(x)}{x}\cdot x=1\cdot 0=0 ; \\ &x \neq 0\text{时,}g(x)=\int_{0}^{1}f(xt)dt\stackrel{u=xt}{=}\int_{0}^{x}f(u)d{\frac{u}{x}} \implies \frac{1}{x} \int_{0}^{x}f(u)du, \\ &\text{故}g(x)=\begin{cases} \frac{1}{x}\int_{0}^{x}f(u)du & x \neq 0 \\ 0 & x=0 \end{cases} \\ & \\ &g'(0)=\lim_{x \to 0}\frac{g(x)-g(0)}{x-0}=\lim_{x \to 0}\frac{\frac{1}{x}\int_{0}^{x}f(u)du}{x}\stackrel{\text{洛必达}}{=}\lim_{x \to 0}\frac{f(x)}{2x}{=}\frac{1}{2}; \\ & \\ &g'(x)=\begin{cases} \frac{xf(x)-\int_{0}^{x}f(u)du}{x^2} & x \neq 0 \\ \frac{1}{2} & x=0 \end{cases} \\ & \\ &\text{验证}g'(x)\text{在}x=0\text{处连续:} \\ &\lim_{x \to 0}g'(x)=\lim_{x \to 0}\frac{xf(x)-\int_{0}^{x}f(u)du}{x^2}=\lim_{x \to 0}\frac{f(x)}{x}-\lim_{x \to 0}\frac{\int_{0}^{x}f(u)du}{x^2}=1-\frac{1}{2}=\frac{1}{2}=g'(0), \\ &\text{故}g'(x)\text{在}x=0\text{处连续.} \end{aligned} 解:x=0时,g(0)=∫01f(0⋅t)dt=∫01f(0)dt=f(0)=x→0limf(x)=x→0limxf(x)⋅x=1⋅0=0;x=0时,g(x)=∫01f(xt)dt=u=xt∫0xf(u)dxu⟹x1∫0xf(u)du,故g(x)={x1∫0xf(u)du0x=0x=0g′(0)=x→0limx−0g(x)−g(0)=x→0limxx1∫0xf(u)du=洛必达x→0lim2xf(x)=21;g′(x)={x2xf(x)−∫0xf(u)du21x=0x=0验证g′(x)在x=0处连续:x→0limg′(x)=x→0limx2xf(x)−∫0xf(u)du=x→0limxf(x)−x→0limx2∫0xf(u)du=1−21=21=g′(0),故g′(x)在x=0处连续.
【小结】1、分段函数在分段点处导数的计算或是可导性的判断,一般直接用导数的定义。2、函数f(x)可导,则函数f(x)连续。但是函数f(x)连续得不到f(x)可导。 \begin{aligned} &\boxed{【小结】} \\& 1、\text{分段函数在分段点处导数的计算或是可导性的判断,一般直接用导数的定义。} \\ \\& 2、\text{函数}f(x)\text{可导,则函数}f(x)\text{连续。但是函数}f(x)\text{连续得不到}f(x)\text{可导。}\end{aligned} 【小结】1、分段函数在分段点处导数的计算或是可导性的判断,一般直接用导数的定义。2、函数f(x)可导,则函数f(x)连续。但是函数f(x)连续得不到f(x)可导。
![![[Pasted image 20251203050109.png]]](https://i-blog.csdnimg.cn/direct/b0b211bd4fd9494eb12abe866413ecee.png)
解1:A、B无可能,C概率小,D概率大,选D. \text{解1:}A、B\text{无可能,}C\text{概率小,}D\text{概率大,选}D. 解1:A、B无可能,C概率小,D概率大,选D.
解2:画图像,x≤0是x,x>0时,当n=1,在12到1时1,在13到12是12. \text{解2:}画图像,x\le0是x,x>0时,当n=1,在 \frac{1}{2}到1时1,在 \frac{1}{3}到 \frac{1}{2}是 \frac{1}{2}. 解2:画图像,x≤0是x,x>0时,当n=1,在21到1时1,在31到21是21.
线段一直往下,也一直变短,高度宽度都趋近于0,无限接近与原点,所以x→0时,图像光滑可导,选D
线段一直往下,也一直变短,高度宽度都趋近于0,无限接近与原点,所以x \to 0时,图像光滑可导,选D
线段一直往下,也一直变短,高度宽度都趋近于0,无限接近与原点,所以x→0时,图像光滑可导,选D
解3:limx→0−f(x)−f(0)x−0=1limx→0+f(x)−f(0)x−0=limx→0+1nx1=1n1n≤1nx<1n1n+1→1=1 \begin{aligned} &\text{解3:}\lim_{x \to 0^-} \frac{f(x)-f(0)}{x-0} = 1 \\ & \\ &\lim_{x \to 0^+} \frac{f(x)-f(0)}{x-0} = \lim_{x \to 0^+} \frac{\frac{1}{n}}{x} \\ &\quad 1 = \frac{\frac{1}{n}}{\frac{1}{n}} \leq \frac{\frac{1}{n}}{x} < \frac{\frac{1}{n}}{\frac{1}{n+1}} \to 1 \\ &\quad = 1 \end{aligned} 解3:x→0−limx−0f(x)−f(0)=1x→0+limx−0f(x)−f(0)=x→0+limxn11=n1n1≤xn1<n+11n1→1=1
![![[Pasted image 20251203091045.png]]](https://i-blog.csdnimg.cn/direct/df7b05f9472b47faa7b2def2a83227ed.png)
解1:画图像,如果f(a)>0或f(a)<0,∣f(x)∣均可导,若f(a)=0,且f′(a)=0,∣f(x)∣可导
解1:画图像,如果f(a)>0或f(a)<0,|f(x)|均可导,若f(a)=0,且f'(a)=0,|f(x)|可导
解1:画图像,如果f(a)>0或f(a)<0,∣f(x)∣均可导,若f(a)=0,且f′(a)=0,∣f(x)∣可导
f(a)只有斜穿x轴,∣f(x)∣小于0的部分翻上去之后,两边导数不一样,则∣f(x)∣不可导
f(a)只有斜穿x轴,|f(x)|小于0的部分翻上去之后,两边导数不一样,则|f(x)|不可导
f(a)只有斜穿x轴,∣f(x)∣小于0的部分翻上去之后,两边导数不一样,则∣f(x)∣不可导
选B
选B
选B
若f(a)=0, f′(a)≠0, 则:limx→a+∣f(x)∣−∣f(a)∣x−a=limx→a+∣f(x)∣∣x−a∣=limx→a+∣f(x)x−a∣=∣limx→a+f(x)x−a∣=∣f′(a)∣limx→a−∣f(x)∣−∣f(a)∣x−a=limx→a−∣f(x)∣−∣x−a∣=−limx→a−∣f(x)x−a∣=−∣limx→a−f(x)x−a∣=−∣f′(a)∣若f′(a)≠0, 则∣f(x)∣在x=a处不可导 \begin{aligned} &\text{若}f(a)=0,\ f'(a)\neq0,\ \text{则:} \\ & \\ &\lim_{x \to a^+} \frac{|f(x)| - |f(a)|}{x - a} = \lim_{x \to a^+} \frac{|f(x)|}{|x - a|} = \lim_{x \to a^+} \left| \frac{f(x)}{x - a} \right| = \left| \lim_{x \to a^+} \frac{f(x)}{x - a} \right| = |f'(a)| \\ & \\ &\lim_{x \to a^-} \frac{|f(x)| - |f(a)|}{x - a} = \lim_{x \to a^-} \frac{|f(x)|}{-|x - a|} = -\lim_{x \to a^-} \left| \frac{f(x)}{x - a} \right| = -\left| \lim_{x \to a^-} \frac{f(x)}{x - a} \right| = -|f'(a)| \\ & \\ &\text{若}f'(a)\neq0,\ \text{则}|f(x)|\text{在}x=a\text{处不可导} \end{aligned} 若f(a)=0, f′(a)=0, 则:x→a+limx−a∣f(x)∣−∣f(a)∣=x→a+lim∣x−a∣∣f(x)∣=x→a+limx−af(x)=x→a+limx−af(x)=∣f′(a)∣x→a−limx−a∣f(x)∣−∣f(a)∣=x→a−lim−∣x−a∣∣f(x)∣=−x→a−limx−af(x)=−x→a−limx−af(x)=−∣f′(a)∣若f′(a)=0, 则∣f(x)∣在x=a处不可导
![![[Pasted image 20251203093737.png]]](https://i-blog.csdnimg.cn/direct/e563b561c91d4bd199e6e3233efecb13.png)
解:若f(x)在x=1处可导,则f+′(1)=f−′(1).f+′(1)=limx→1+f(x)−f(1)x−1=limx→1+(x3−1)φ(x)x−1=limx→1+(x2+x+1)φ(x)=3φ(1)f−′(1)=limx→1−f(x)−f(1)x−1=limx→1−(1−x3)φ(x)x−1=−limx→1−(x2+x+1)φ(x)=−3φ(1)由f+′(1)=f−′(1) ⟹ 3φ(1)=−3φ(1) ⟹ φ(1)=0,故φ(1)=0是f(x)在x=1处可导的必要条件.若φ(1)=0,则f+′(1)=3φ(1)=0, f−′(1)=−3φ(1)=0,故φ(1)=0是f(x)在x=1处可导的充分条件.综上,φ(1)=0是f(x)在x=1处可导的充要条件,选(A) \begin{aligned} &\text{解:} \\ &\text{若}f(x)\text{在}x=1\text{处可导,则}f'_+(1)=f'_-(1). \\ & \\ &f'_+(1) = \lim_{x \to 1^+} \frac{f(x)-f(1)}{x-1} = \lim_{x \to 1^+} \frac{(x^3-1)\varphi(x)}{x-1} = \lim_{x \to 1^+} (x^2+x+1)\varphi(x) = 3\varphi(1) \\ & \\ &f'_-(1) = \lim_{x \to 1^-} \frac{f(x)-f(1)}{x-1} = \lim_{x \to 1^-} \frac{(1-x^3)\varphi(x)}{x-1} = -\lim_{x \to 1^-} (x^2+x+1)\varphi(x) = -3\varphi(1) \\ & \\ &\text{由}f'_+(1)=f'_-(1)\implies 3\varphi(1) = -3\varphi(1)\implies \varphi(1)=0,\text{故}\varphi(1)=0\text{是}f(x)\text{在}x=1\text{处可导的必要条件.} \\ & \\ &\text{若}\varphi(1)=0,\text{则}f'_+(1)=3\varphi(1)=0,\ f'_-(1)=-3\varphi(1)=0,\text{故}\varphi(1)=0\text{是}f(x)\text{在}x=1\text{处可导的充分条件.} \\ & \\ &\text{综上,}\varphi(1)=0\text{是}f(x)\text{在}x=1\text{处可导的充要条件,选}(A) \end{aligned} 解:若f(x)在x=1处可导,则f+′(1)=f−′(1).f+′(1)=x→1+limx−1f(x)−f(1)=x→1+limx−1(x3−1)φ(x)=x→1+lim(x2+x+1)φ(x)=3φ(1)f−′(1)=x→1−limx−1f(x)−f(1)=x→1−limx−1(1−x3)φ(x)=−x→1−lim(x2+x+1)φ(x)=−3φ(1)由f+′(1)=f−′(1)⟹3φ(1)=−3φ(1)⟹φ(1)=0,故φ(1)=0是f(x)在x=1处可导的必要条件.若φ(1)=0,则f+′(1)=3φ(1)=0, f−′(1)=−3φ(1)=0,故φ(1)=0是f(x)在x=1处可导的充分条件.综上,φ(1)=0是f(x)在x=1处可导的充要条件,选(A)
A ⟹ B, 则:A是B的充分条件,B是A的必要条件;B的充分条件是A, A的必要条件是B. \begin{aligned} &A \implies B,\ \text{则:} \\ &A\text{是}B\text{的充分条件,}B\text{是}A\text{的必要条件;} \\ &B\text{的充分条件是}A,\ A\text{的必要条件是}B. \end{aligned} A⟹B, 则:A是B的充分条件,B是A的必要条件;B的充分条件是A, A的必要条件是B.
【小结】f(x)在x=x0处连续,定义g(x)=∣x−x0∣f(x),则:g(x)在x=x0处可导的充要条件是 f(x0)=0. \begin{aligned} &\boxed{【小结】} \\ &f(x)\text{在}x=x_0\text{处连续,定义}g(x)=|x-x_0|f(x),则: \\ &g(x)\text{在}x=x_0\text{处可导的充要条件是}\ f(x_0)=0. \end{aligned} 【小结】f(x)在x=x0处连续,定义g(x)=∣x−x0∣f(x),则:g(x)在x=x0处可导的充要条件是 f(x0)=0.
结论应用:下列函数的不可导点个数① f(x)=x2−3x+20个不可导点② f(x)=∣x2−3x+2∣2个不可导点:x=2, x=1③ f(x)=(x−1)∣x2−3x+2∣1个不可导点:x=2④ f(x)=x(x−1)∣x2−3x+2∣1个不可导点:x=2 \begin{aligned}& \boxed{结论应用:下列函数的不可导点个数} \\& ①\ f(x)=x^2-3x+2\quad 0个不可导点 \\& ②\ f(x)=|x^2-3x+2|\quad 2个不可导点:x=2,\ x=1 \\& ③\ f(x)=(x-1)|x^2-3x+2|\quad 1个不可导点:x=2 \\& ④\ f(x)=x(x-1)|x^2-3x+2|\quad 1个不可导点:x=2\end{aligned} 结论应用:下列函数的不可导点个数① f(x)=x2−3x+20个不可导点② f(x)=∣x2−3x+2∣2个不可导点:x=2, x=1③ f(x)=(x−1)∣x2−3x+2∣1个不可导点:x=2④ f(x)=x(x−1)∣x2−3x+2∣1个不可导点:x=2
![![[Pasted image 20251203101616.png]]](https://i-blog.csdnimg.cn/direct/c931eb03c5f04a9fa2acdba196f95c28.png)
解:g(x)=x2∣x∣={x3x>0−x3x≤0g+′(0)=limx→0+x3−0x=0,g−′(0)=limx→0−−x3−0x=0g′(x)={3x2x>0−3x2x≤0g+′′(0)=limx→0+3x2−0x=0,g−′′(0)=limx→0−−3x2−0x=0g′′(x)={6xx>0−6xx≤0g+′′′(0)=limx→0+6x−0x=6,g−′′′(0)=limx→0−−6x−0x=−6故g′′′(0)不存在.选C \begin{aligned} &\text{解:}g(x)=x^2|x|=\begin{cases} x^3 & x>0 \\ -x^3 & x\leq0 \end{cases} \\ & \\ &g'_+(0)=\lim_{x \to 0^+} \frac{x^3 - 0}{x}=0,\quad g'_-(0)=\lim_{x \to 0^-} \frac{-x^3 - 0}{x}=0 \\ & \\ &g'(x)=\begin{cases} 3x^2 & x>0 \\ -3x^2 & x\leq0 \end{cases} \\ & \\ &g''_+(0)=\lim_{x \to 0^+} \frac{3x^2 - 0}{x}=0,\quad g''_-(0)=\lim_{x \to 0^-} \frac{-3x^2 - 0}{x}=0 \\ & \\ &g''(x)=\begin{cases} 6x & x>0 \\ -6x & x\leq0 \end{cases} \\ & \\ &g'''_+(0)=\lim_{x \to 0^+} \frac{6x - 0}{x}=6,\quad g'''_-(0)=\lim_{x \to 0^-} \frac{-6x - 0}{x}=-6 \\ & \\ &\text{故}g'''(0)\text{不存在.} \\&选C\end{aligned} 解:g(x)=x2∣x∣={x3−x3x>0x≤0g+′(0)=x→0+limxx3−0=0,g−′(0)=x→0−limx−x3−0=0g′(x)={3x2−3x2x>0x≤0g+′′(0)=x→0+limx3x2−0=0,g−′′(0)=x→0−limx−3x2−0=0g′′(x)={6x−6xx>0x≤0g+′′′(0)=x→0+limx6x−0=6,g−′′′(0)=x→0−limx−6x−0=−6故g′′′(0)不存在.选C
![![[Pasted image 20251203110705.png]]](https://i-blog.csdnimg.cn/direct/92fb301b559741cdb9aefe49e31af200.png)
解:(A) limx→0f(x)−f(0)x−0=limx→0∣x∣sin∣x∣x=limx→0∣x∣⋅∣x∣x=limx→0x2x=0, 在x=0处可导(B) limx→0∣x∣sin∣x∣x=limx→0∣x∣∣x∣x=limx→0∣x∣32x=0, 在x=0处可导(C) limx→0cos∣x∣−1x=limx→0−∣x∣22x=0, 在x=0处可导(D) limx→0cos∣x∣−1x=limx→0−(∣x∣)22x=−12limx→0∣x∣x, 该极限不存在,故在x=0处不可导选D \begin{aligned} &\text{解:} \\ &(A)\ \lim_{x \to 0} \frac{f(x)-f(0)}{x-0} = \lim_{x \to 0} \frac{|x|\sin|x|}{x} = \lim_{x \to 0} \frac{|x|\cdot|x|}{x} = \lim_{x \to 0} \frac{x^2}{x} = 0,\ \text{在}x=0\text{处可导} \\ & \\ &(B)\ \lim_{x \to 0} \frac{|x|\sin\sqrt{|x|}}{x} = \lim_{x \to 0} \frac{|x|\sqrt{|x|}}{x} = \lim_{x \to 0} \frac{|x|^{\frac{3}{2}}}{x} = 0,\ \text{在}x=0\text{处可导} \\ & \\ &(C)\ \lim_{x \to 0} \frac{\cos|x| - 1}{x} = \lim_{x \to 0} \frac{-\frac{|x|^2}{2}}{x} = 0,\ \text{在}x=0\text{处可导} \\ & \\ &(D)\ \lim_{x \to 0} \frac{\cos\sqrt{|x|} - 1}{x} = \lim_{x \to 0} \frac{-\frac{(\sqrt{|x|})^2}{2}}{x} = -\frac{1}{2}\lim_{x \to 0} \frac{|x|}{x},\ \text{该极限不存在,故在}x=0\text{处不可导}\\&选D \end{aligned} 解:(A) x→0limx−0f(x)−f(0)=x→0limx∣x∣sin∣x∣=x→0limx∣x∣⋅∣x∣=x→0limxx2=0, 在x=0处可导(B) x→0limx∣x∣sin∣x∣=x→0limx∣x∣∣x∣=x→0limx∣x∣23=0, 在x=0处可导(C) x→0limxcos∣x∣−1=x→0limx−2∣x∣2=0, 在x=0处可导(D) x→0limxcos∣x∣−1=x→0limx−2(∣x∣)2=−21x→0limx∣x∣, 该极限不存在,故在x=0处不可导选D
小结:已知f(0)=0, f(x)在x=0处可导,则f′(0)=limx→0f(x)x.① 若f(x)由x所构成(无绝对值):当阶数≥1时,f(x)在x=0处可导;当阶数<1时,不可导.② 若f(x)由x的绝对值构成:当f(∣x∣)的阶数>1时,f(x)在x=0处可导;当阶数≤1时,不可导. \begin{aligned} &小结:\\&\text{已知}f(0)=0,\ f(x)\text{在}x=0\text{处可导,则}f'(0)=\lim_{x \to 0} \frac{f(x)}{x}. \\ & \\ &①\ \text{若}f(x)\text{由}x\text{所构成(无绝对值):} \\ &\quad \text{当阶数}\geq1\text{时,}f(x)\text{在}x=0\text{处可导;当阶数}<1\text{时,不可导.} \\ & \\ &②\ \text{若}f(x)\text{由}x\text{的绝对值构成:} \\ &\quad \text{当}f(|x|)\text{的阶数}>1\text{时,}f(x)\text{在}x=0\text{处可导;当阶数}\leq1\text{时,不可导.} \end{aligned} 小结:已知f(0)=0, f(x)在x=0处可导,则f′(0)=x→0limxf(x).① 若f(x)由x所构成(无绝对值):当阶数≥1时,f(x)在x=0处可导;当阶数<1时,不可导.② 若f(x)由x的绝对值构成:当f(∣x∣)的阶数>1时,f(x)在x=0处可导;当阶数≤1时,不可导.
具体函数在指定点的导数
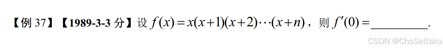
![![[Pasted image 20251203155931.png]]](https://i-blog.csdnimg.cn/direct/9a53cc9d162d450fb68bb9615f22d97b.png)
解:limx→0f(x)−f(0)x−0=limx→0x(x+1)(x+2)⋯(x+n)x=n! \begin{aligned} &\text{解:}\lim_{x \to 0} \frac{f(x)-f(0)}{x-0} = \lim_{x \to 0} \frac{x(x+1)(x+2)\cdots(x+n)}{x} = n! \end{aligned} 解:x→0limx−0f(x)−f(0)=x→0limxx(x+1)(x+2)⋯(x+n)=n!
改题:f(x)=arctanesin(x−1)−11+xx2−x+1+sinπx,求f′(1)f′(1)=limx→1arctanesin(x−1)−11+xx2−x+1+sinπxx−1=limx→1x−12x−1=12=22【答案】22 \begin{aligned} &\text{改题:}f(x)=\arctan\frac{e^{\sin(x-1)}-1}{\sqrt{1+x\sqrt{x^2-x+1+\sin \pi x}}},\text{求}f'(1) \\ & \\ &f'(1)=\lim_{x \to 1} \frac{\arctan\frac{e^{\sin(x-1)}-1}{\sqrt{1+x\sqrt{x^2-x+1+\sin \pi x}}}}{x-1} \\ &\quad=\lim_{x \to 1} \frac{\frac{x-1}{\sqrt{2}}}{x-1}=\frac{1}{\sqrt{2}}=\frac{\sqrt{2}}{2} \\ & \\ &\text{【答案】}\frac{\sqrt{2}}{2} \end{aligned} 改题:f(x)=arctan1+xx2−x+1+sinπxesin(x−1)−1,求f′(1)f′(1)=x→1limx−1arctan1+xx2−x+1+sinπxesin(x−1)−1=x→1limx−12x−1=21=22【答案】22
【小结】如果函数f(x)可导,且满足f(a)=0,则计算f′(a)时可以考虑使用导数的定义。 \begin{aligned} &\boxed{【小结】} \\ &\text{如果函数}f(x)\text{可导,且满足}f(a)=0,则计算f'(a)\text{时可以考虑使用导数的定义。} \end{aligned} 【小结】如果函数f(x)可导,且满足f(a)=0,则计算f′(a)时可以考虑使用导数的定义。
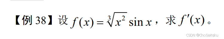
![![[Pasted image 20251203165119.png]]](https://i-blog.csdnimg.cn/direct/4122d4e673ee4b9a8ffd8ca688508bb9.png)
解:f(x)=x23sinxf′(0)=limx→0x23sinxx=0x≠0时,f′(x)=23x−13sinx+x23cosx=2sinx3x3+x23cosx \begin{aligned} &\text{解:}f(x)=x^{\frac{2}{3}}\sin x \\ & \\ &f'(0)=\lim_{x \to 0} \frac{\sqrt[3]{x^2}\sin x}{x}=0 \\ & \\ &x \neq 0\text{时,} \\ &f'(x)=\frac{2}{3}x^{-\frac{1}{3}}\sin x + x^{\frac{2}{3}}\cos x \\ &\quad=\frac{2\sin x}{3\sqrt[3]{x}} + x^{\frac{2}{3}}\cos x \end{aligned} 解:f(x)=x32sinxf′(0)=x→0limx3x2sinx=0x=0时,f′(x)=32x−31sinx+x32cosx=33x2sinx+x32cosx
【小结】具体函数求导需要用到导数定义的两种常见情形:(1) f(x)表达式比较复杂,按照求导法则计算较为麻烦;(2) 求导公式不成立的点。 \begin{aligned} &\boxed{【小结】}\text{具体函数求导需要用到导数定义的两种常见情形:} \\ &(1)\ f(x)\text{表达式比较复杂,按照求导法则计算较为麻烦;} \\ &(2)\ \text{求导公式不成立的点。} \end{aligned} 【小结】具体函数求导需要用到导数定义的两种常见情形:(1) f(x)表达式比较复杂,按照求导法则计算较为麻烦;(2) 求导公式不成立的点。
小结:① 简单的、数值型函数求导一律使用求导法则,但若求导后出现定义域缩小,则对于缩小的点,用导数定义;② 分段点处用定义;③ f(x)表达式较复杂且f(a)=0时,也常用导数定义. \begin{aligned} &\text{小结:} \\ &①\ \text{简单的、数值型函数求导一律使用求导法则,但若求导后出现定义域缩小,则对于缩小的点,用导数定义;} \\ &②\ \text{分段点处用定义;} \\ &③\ f(x)\text{表达式较复杂且}f(a)=0\text{时,也常用导数定义.} \end{aligned} 小结:① 简单的、数值型函数求导一律使用求导法则,但若求导后出现定义域缩小,则对于缩小的点,用导数定义;② 分段点处用定义;③ f(x)表达式较复杂且f(a)=0时,也常用导数定义.
抽象函数的可导性
![![[Pasted image 20251203165625.png]]](https://i-blog.csdnimg.cn/direct/81005922a6194335a93864aa7a601e24.png)
(A) f(0)=limx→0f(x)=limx→0f(x)x⋅x=0(B) f(0)=12limx→0[f(x)+f(−x)]=12limx→0f(x)+f(−x)x⋅x=0⇒f(0)=0(C) f′(0)=limx→0f(x)−f(0)x−0=limx→0f(x)x \begin{aligned} &(A)\ f(0)=\lim_{x \to 0}f(x)=\lim_{x \to 0}\frac{f(x)}{x} \cdot x=0 \\ & \\ &(B)\ f(0)=\frac{1}{2}\lim_{x \to 0}\left[f(x)+f(-x)\right]=\frac{1}{2}\lim_{x \to 0}\frac{f(x)+f(-x)}{x} \cdot x=0 \\ & \\ &\Rightarrow f(0)=0 \\ &(C)\ f'(0)=\lim_{x \to 0}\frac{f(x)-f(0)}{x-0}=\lim_{x \to 0}\frac{f(x)}{x} \end{aligned} (A) f(0)=x→0limf(x)=x→0limxf(x)⋅x=0(B) f(0)=21x→0lim[f(x)+f(−x)]=21x→0limxf(x)+f(−x)⋅x=0⇒f(0)=0(C) f′(0)=x→0limx−0f(x)−f(0)=x→0limxf(x)
(D) limx→0f(x)−f(0)−(f(−x)−f(0))x=①limx→0f(x)−f(0)x+limx→0f(−x)−f(0)−x=f′(0)+f′(0)=[2f′(0)]①:能拆分吗?⟸不一定存在啊,不能拆选D \begin{aligned} &(D)\ \lim_{x \to 0} \frac{f(x)-f(0)-\left(f(-x)-f(0)\right)}{x} \stackrel{①}{=} \lim_{x \to 0} \frac{f(x)-f(0)}{x} + \lim_{x \to 0} \frac{f(-x)-f(0)}{-x} = f'(0)+f'(0) \\ &\quad\quad\quad\quad\quad\quad\quad\quad\quad\quad\quad\quad\quad\quad\quad\quad\quad\quad\quad\quad\quad\quad\quad\quad\quad\quad\quad\quad=[2f'(0)] \\ & \\ &①:\text{能拆分吗?}\quad\Longleftarrow \text{不一定存在啊,不能拆} \\&选D\end{aligned} (D) x→0limxf(x)−f(0)−(f(−x)−f(0))=①x→0limxf(x)−f(0)+x→0lim−xf(−x)−f(0)=f′(0)+f′(0)=[2f′(0)]①:能拆分吗?⟸不一定存在啊,不能拆选D
【小结】(1) 极限收敛性讨论中常用的两个法则:① 如果极限limx→□f(x)g(x)存在,且limx→□g(x)=0,则有limx→□f(x)=0;② 如果极限limx→□f(x)g(x)存在且不为零,且limx→□f(x)=0,则有limx→□g(x)=0。(2) 本题(C)选项的结论可以记住:如果f(x)连续,且有limx→af(x)−Ax−a=b,则可以得到f(x)在x=a处可导且f(a)=A, f′(a)=b。 \begin{aligned} &\boxed{【小结】} \\ &(1)\ \text{极限收敛性讨论中常用的两个法则:} \\ &\quad ①\ \text{如果极限}\lim_{x \to \square} \frac{f(x)}{g(x)}\text{存在,且}\lim_{x \to \square} g(x)=0,则有\lim_{x \to \square} f(x)=0; \\ &\quad ②\ \text{如果极限}\lim_{x \to \square} \frac{f(x)}{g(x)}\text{存在且不为零,且}\lim_{x \to \square} f(x)=0,则有\lim_{x \to \square} g(x)=0。 \\ & \\ &(2)\ \text{本题}(C)\text{选项的结论可以记住:如果}f(x)\text{连续,且有}\lim_{x \to a} \frac{f(x)-A}{x-a}=b, \\ &\quad \text{则可以得到}f(x)\text{在}x=a\text{处可导且}f(a)=A,\ f'(a)=b。 \end{aligned} 【小结】(1) 极限收敛性讨论中常用的两个法则:① 如果极限x→□limg(x)f(x)存在,且x→□limg(x)=0,则有x→□limf(x)=0;② 如果极限x→□limg(x)f(x)存在且不为零,且x→□limf(x)=0,则有x→□limg(x)=0。(2) 本题(C)选项的结论可以记住:如果f(x)连续,且有x→alimx−af(x)−A=b,则可以得到f(x)在x=a处可导且f(a)=A, f′(a)=b。
![![[Pasted image 20251204014013.png]]](https://i-blog.csdnimg.cn/direct/e0241209ebc84c1c89f044707590c26b.png)
与f(0)=?无关,可以对f(0)任意赋值,使得f(x)在x=0处不连续,自然不可导,排除A、B.f(x)={□x≠01,2,3,⋯x=0若D对,则C对,故选(C) \begin{aligned} &\text{与}f(0)=?\text{无关,可以对}f(0)\text{任意赋值,使得} \\ &f(x)\text{在}x=0\text{处不连续,自然不可导,排除}A、B. \\ & \\ &f(x)=\begin{cases} \square & x \neq 0 \\ 1,2,3,\cdots & x=0 \end{cases} \\ & \\ &\text{若}D\text{对,则}C\text{对,故选}(C) \end{aligned} 与f(0)=?无关,可以对f(0)任意赋值,使得f(x)在x=0处不连续,自然不可导,排除A、B.f(x)={□1,2,3,⋯x=0x=0若D对,则C对,故选(C)
f(x)在x=0处可导,则f(x)在x=0处连续,f(0)=limx→0f(x)=0, limx→0f(x)x存在.limx→0f(x)x⋅xx+1=0 \begin{aligned} &f(x)\text{在}x=0\text{处可导,则}f(x)\text{在}x=0\text{处连续,} \\ &f(0)=\lim_{x \to 0}f(x)=0,\ \lim_{x \to 0}\frac{f(x)}{x}\text{存在.} \\ & \\ &\lim_{x \to 0}\frac{f(x)}{x} \cdot \frac{x}{\sqrt{x+1}}=0 \end{aligned} f(x)在x=0处可导,则f(x)在x=0处连续,f(0)=x→0limf(x)=0, x→0limxf(x)存在.x→0limxf(x)⋅x+1x=0
导数与极限
![![[Pasted image 20251204020142.png]]](https://i-blog.csdnimg.cn/direct/1f57c71ac94d469494ee264ab6b37c32.png)
解:limx→0x2f(x)−2f(x3)x3=limx→0x2f(x)x3−limx→02f(x3)x3=limx→0f(x)x−2limx→0f(x3)−f(0)x3−0=f′(0)−2f′(0)=−f′(0)选(B). \begin{aligned} &\text{解:}\lim_{x \to 0} \frac{x^2f(x)-2f(x^3)}{x^3} = \lim_{x \to 0} \frac{x^2f(x)}{x^3} - \lim_{x \to 0} \frac{2f(x^3)}{x^3} \\ &\quad=\lim_{x \to 0} \frac{f(x)}{x} - 2\lim_{x \to 0} \frac{f(x^3)-f(0)}{x^3 - 0} \\ &\quad=f'(0) - 2f'(0) = -f'(0) \\ &\text{选}(B). \end{aligned} 解:x→0limx3x2f(x)−2f(x3)=x→0limx3x2f(x)−x→0limx32f(x3)=x→0limxf(x)−2x→0limx3−0f(x3)−f(0)=f′(0)−2f′(0)=−f′(0)选(B).
【小结】考试中已知函数可导,求极限时往往用的是导数定义的广义化形式;f′(x0)=limΔx→0f(x0+Δx)−f(x0)Δx=lim□→0f(x0+□)−f(x0)□ \begin{aligned} &\boxed{【小结】}\text{考试中已知函数可导,求极限时往往用的是导数定义的广义化形式;} \\ &f'(x_0)=\lim_{\Delta x \to 0} \frac{f(x_0+\Delta x)-f(x_0)}{\Delta x}=\lim_{\square \to 0} \frac{f(x_0+\square)-f(x_0)}{\square} \end{aligned} 【小结】考试中已知函数可导,求极限时往往用的是导数定义的广义化形式;f′(x0)=Δx→0limΔxf(x0+Δx)−f(x0)=□→0lim□f(x0+□)−f(x0)
可导的充要条件
![![[Pasted image 20251204022548.png]]](https://i-blog.csdnimg.cn/direct/10222eeffc5c4e83b81d294ec40993fa.png)
(A) limh→0f(1−cosh)h2=limh→0f(1−cosh)−f(0)1−cosh−0⋅1−coshh2=12limh→0f(1−cosh)−f(0)1−cosh−0=t=1−cosh12limt→0+f(t)−f(0)t−0=f+′(0).(B) limh→0f(1−eh)−f(0)1−eh⋅1−ehh=−f′(0)(C)不同阶(D)不能拆,不能确定导数存不存在 \begin{aligned} &(A)\ \lim_{h \to 0} \frac{f(1-\cosh)}{h^2} = \lim_{h \to 0} \frac{f(1-\cosh)-f(0)}{1-\cosh - 0} \cdot \frac{1-\cosh}{h^2} \\ &\quad=\frac{1}{2} \lim_{h \to 0} \frac{f(1-\cosh)-f(0)}{1-\cosh - 0} \stackrel{t=1-\cosh}{=} \frac{1}{2} \lim_{t \to 0^+} \frac{f(t)-f(0)}{t-0} \\ &\quad=f'_+(0). \\ & \\ &(B)\ \lim_{h \to 0} \frac{f(1-e^h)-f(0)}{1-e^h} \cdot \frac{1-e^h}{h} = -f'(0)\\\\&(C)不同阶\\\\&(D)不能拆,不能确定导数存不存在 \end{aligned} (A) h→0limh2f(1−cosh)=h→0lim1−cosh−0f(1−cosh)−f(0)⋅h21−cosh=21h→0lim1−cosh−0f(1−cosh)−f(0)=t=1−cosh21t→0+limt−0f(t)−f(0)=f+′(0).(B) h→0lim1−ehf(1−eh)−f(0)⋅h1−eh=−f′(0)(C)不同阶(D)不能拆,不能确定导数存不存在
【小结】f(x)在点x0可导的充要条件是lim□→0f(x0+□)−f(x0)Δ存在,其中□与Δ为同阶无穷小。总结三点:①分子一动一静;②分子分母同阶;③分母可正可负。 \begin{aligned} &\boxed{【小结】}f(x)\text{在点}x_0\text{可导的充要条件是}\lim_{\square \to 0} \frac{f(x_0+\square)-f(x_0)}{\Delta}\text{存在,其中}\square\text{与}\Delta\text{为同阶无穷小。} \\ &\text{总结三点:①分子一动一静;②分子分母同阶;③分母可正可负。} \end{aligned} 【小结】f(x)在点x0可导的充要条件是□→0limΔf(x0+□)−f(x0)存在,其中□与Δ为同阶无穷小。总结三点:①分子一动一静;②分子分母同阶;③分母可正可负。
![![[Pasted image 20251204024513.png]]](https://i-blog.csdnimg.cn/direct/bc76e36be6d140998050cb3361283a85.png)
因为函数在x=0处连续,所以f(0)=0,因为分母是h2,所以是0+,选C因为函数在x=0处连续,所以f(0)=0,因为分母是h^2,所以是0^+,选C因为函数在x=0处连续,所以f(0)=0,因为分母是h2,所以是0+,选C
改题:limn→∞(n+1)f(nn+1)=1 \begin{aligned} &\text{改题:} \\ &\lim_{n \to \infty} (n+1)f\left(\frac{n}{n+1}\right) = 1 \end{aligned} 改题:n→∞lim(n+1)f(n+1n)=1
limn→∞f(nn+1)1n+1存在 ⟹ f(1)=0limn→∞f(nn+1)−f(1)nn+1−1⋅nn+1−11n+1=−f−′(1)该极限存在 ⟹ f−′(1)存在n→∞时,nn+1→1−, nn+1<1 \begin{aligned} &\lim_{n \to \infty} \frac{f\left(\frac{n}{n+1}\right)}{\frac{1}{n+1}} \text{存在} \implies f(1)=0 \\ & \\ &\lim_{n \to \infty} \frac{f\left(\frac{n}{n+1}\right)-f(1)}{\frac{n}{n+1}-1} \cdot \frac{\frac{n}{n+1}-1}{\frac{1}{n+1}} = -f'_-(1) \\ &\text{该极限存在} \implies f'_-(1) \text{存在} \\ & \\ &n \to \infty \text{时,}\frac{n}{n+1} \to 1^-,\ \frac{n}{n+1} < 1 \end{aligned} n→∞limn+11f(n+1n)存在⟹f(1)=0n→∞limn+1n−1f(n+1n)−f(1)⋅n+11n+1n−1=−f−′(1)该极限存在⟹f−′(1)存在n→∞时,n+1n→1−, n+1n<1
改:limx→1f((x−1)sinπx)(x−1)sinπx存在 ⟹ f′(0)存在=t=(x−1)sinπxlimt→0−f(t)t=f−′(0)存在x→1+时:x−1→0+, sinπx→0− ⟹ (x−1)sinπx→0−x→1−时:x−1→0−, sinπx→0+ ⟹ (x−1)sinπx→0− \begin{aligned}&改:\\ &\lim_{x \to 1} \frac{f\left((x-1)\sin \pi x\right)}{(x-1)\sin \pi x} \text{存在} \implies f'(0) \text{存在} \\ & \\ &\stackrel{t=(x-1)\sin \pi x}{=} \lim_{t \to 0^-} \frac{f(t)}{t} = f'_-(0) \text{存在} \\ & \\ &x \to 1^+ \text{时:}x-1 \to 0^+,\ \sin \pi x \to 0^- \implies (x-1)\sin \pi x \to 0^- \\ &x \to 1^- \text{时:}x-1 \to 0^-,\ \sin \pi x \to 0^+ \implies (x-1)\sin \pi x \to 0^- \end{aligned} 改:x→1lim(x−1)sinπxf((x−1)sinπx)存在⟹f′(0)存在=t=(x−1)sinπxt→0−limtf(t)=f−′(0)存在x→1+时:x−1→0+, sinπx→0−⟹(x−1)sinπx→0−x→1−时:x−1→0−, sinπx→0+⟹(x−1)sinπx→0−
微分
{代数意义: Δy=AΔx+o(Δx)几何意义: Δy:曲线的增量,dy:切线的增量. \begin{cases} \text{代数意义:} \ \Delta y = A\Delta x + o(\Delta x) \\ \text{几何意义:} \ \Delta y\text{:曲线的增量,}dy\text{:切线的增量.} \end{cases} {代数意义: Δy=AΔx+o(Δx)几何意义: Δy:曲线的增量,dy:切线的增量.
![![[Pasted image 20251204053616.png]]](https://i-blog.csdnimg.cn/direct/abed21065ff44209a263c9f37f47ba6b.png)
AΔx=y′(x0)Δx解:y′=(f(x2))′=f′(x2)⋅2x,y′(−1)=f′((−1)2)⋅2⋅(−1)=−2f′(1)−2f′(1)⋅(−0.1)=0.1 ⟹ f′(1)=0.5选D \begin{aligned} &A\Delta x = y'(x_0)\Delta x \\ & \\ &\text{解:}y' = \left(f(x^2)\right)' = f'(x^2) \cdot 2x, \\ &y'(-1) = f'\left((-1)^2\right) \cdot 2 \cdot (-1) = -2f'(1) \\ & \\ &-2f'(1) \cdot (-0.1) = 0.1 \implies f'(1) = 0.5\\&选D \end{aligned} AΔx=y′(x0)Δx解:y′=(f(x2))′=f′(x2)⋅2x,y′(−1)=f′((−1)2)⋅2⋅(−1)=−2f′(1)−2f′(1)⋅(−0.1)=0.1⟹f′(1)=0.5选D
【小结】关于dy与Δy:Δy是曲线垂直方向增量,dy是曲线沿切线垂直方向的增量。 \begin{aligned} &\boxed{【小结】}\text{关于}dy\text{与}\Delta y:\Delta y\text{是曲线垂直方向增量,}dy\text{是曲线沿切线垂直方向的增量。} \end{aligned} 【小结】关于dy与Δy:Δy是曲线垂直方向增量,dy是曲线沿切线垂直方向的增量。
多元函数的极限、连续、偏导与微分
![![[Pasted image 20251204054847.png]]](https://i-blog.csdnimg.cn/direct/56bca2f9df3d4a4e93b9fc763826975d.png)
解:① ∂f∂x∣(0,0)=limx→0f(x,0)−f(0,0)x−0=limx→0x−0x−0=1③ lim(x,y)→(0,0)f(x,y)=0. (无论选取xy,x,y中的任意一个,极限都是0) ✓(x,y)→(0,0)时:① 沿y=x:f(x,y)=xy; ② 沿x:f(x,y)=x; ③ 沿y:f(x,y)=y \begin{aligned} &\text{解:}①\ \left.\frac{\partial f}{\partial x}\right|_{(0,0)} = \lim_{x \to 0} \frac{f(x,0)-f(0,0)}{x-0} = \lim_{x \to 0} \frac{x-0}{x-0} = 1 \\ & \\ &③\ \lim_{(x,y) \to (0,0)} f(x,y)=0.\ (\text{无论选取}xy,x,y\text{中的任意一个,极限都是}0) \ \checkmark \\ & \\ &(x,y) \to (0,0)\text{时:} \\ &①\ 沿y=x: f(x,y)=xy;\ ②\ 沿x:f(x,y)=x;\ ③\ 沿y:f(x,y)=y \end{aligned} 解:① ∂x∂f(0,0)=x→0limx−0f(x,0)−f(0,0)=x→0limx−0x−0=1③ (x,y)→(0,0)limf(x,y)=0. (无论选取xy,x,y中的任意一个,极限都是0) ✓(x,y)→(0,0)时:① 沿y=x:f(x,y)=xy; ② 沿x:f(x,y)=x; ③ 沿y:f(x,y)=y
④ (x无限接近但不等于0)、(y无限接近但不等于0)故limy→0limx→0f(x,y)=limy→0limx→0xy=0 \begin{aligned} &④\ \text{(}x\text{无限接近但不等于}0\text{)、(}y\text{无限接近但不等于}0\text{)} \\ &\text{故}\lim_{y \to 0} \lim_{x \to 0} f(x,y) = \lim_{y \to 0} \lim_{x \to 0} xy = 0 \end{aligned} ④ (x无限接近但不等于0)、(y无限接近但不等于0)故y→0limx→0limf(x,y)=y→0limx→0limxy=0
② 先求∂f∂x,再求∂2f∂x∂y∣(0,0)∂f∂x=limΔx→0f(x+Δx,y)−f(x,y)Δx \begin{aligned} &②\ \text{先求}\frac{\partial f}{\partial x}\text{,再求}\left.\frac{\partial^2 f}{\partial x\partial y}\right|_{(0,0)} \\ &\frac{\partial f}{\partial x} = \lim_{\Delta x \to 0} \frac{f(x+\Delta x, y)-f(x,y)}{\Delta x} \end{aligned} ② 先求∂x∂f,再求∂x∂y∂2f(0,0)∂x∂f=Δx→0limΔxf(x+Δx,y)−f(x,y)
①若y=0,limΔx→0f(x+Δx,0)−f(x,0)Δx=limΔx→0x+Δx−xΔx=1②若y≠0,x≠0,limΔx→0(x+Δx)⋅y−xyΔx=y③若y≠0,x=0,limΔx→0f(Δx,y)−yΔx=limΔx→0Δx⋅y−yΔx=∞,故∂2f∂x∂y∣(0,0)不存在. \begin{aligned} &① \text{若}y=0, \\ &\quad \lim_{\Delta x \to 0} \frac{f(x+\Delta x, 0)-f(x,0)}{\Delta x} = \lim_{\Delta x \to 0} \frac{x+\Delta x - x}{\Delta x} = 1 \\ & \\ &② \text{若}y \neq 0, x \neq 0, \\ &\quad \lim_{\Delta x \to 0} \frac{(x+\Delta x) \cdot y - xy}{\Delta x} = y \\ & \\ &③ \text{若}y \neq 0, x=0, \\ &\quad \lim_{\Delta x \to 0} \frac{f(\Delta x, y)-y}{\Delta x} = \lim_{\Delta x \to 0} \frac{\Delta x \cdot y - y}{\Delta x} = \infty, \\ &\quad \text{故}\left.\frac{\partial^2 f}{\partial x\partial y}\right|_{(0,0)} \text{不存在}. \end{aligned} ①若y=0,Δx→0limΔxf(x+Δx,0)−f(x,0)=Δx→0limΔxx+Δx−x=1②若y=0,x=0,Δx→0limΔx(x+Δx)⋅y−xy=y③若y=0,x=0,Δx→0limΔxf(Δx,y)−y=Δx→0limΔxΔx⋅y−y=∞,故∂x∂y∂2f(0,0)不存在.
考试:② ∂2f∂x∂y∣(0,0)=∂(∂f∂x)∂y∣(0,0)=limy→0fx′(0,y)−fx′(0,0)y−0 (y≠0)fx′(0,y)=limx→0f(x,y)−f(0,y)x−0 (x≠0, y≠0)=limx→0xy−yx=∞,不存在. \begin{aligned} &\text{考试:}②\ \left.\frac{\partial^2 f}{\partial x\partial y}\right|_{(0,0)} = \left.\frac{\partial \left( \frac{\partial f}{\partial x} \right)}{\partial y}\right|_{(0,0)} = \lim_{y \to 0} \frac{f'_x(0,y)-f'_x(0,0)}{y - 0} \ (y \neq 0) \\ & \\ &f'_x(0,y) = \lim_{x \to 0} \frac{f(x,y)-f(0,y)}{x - 0} \ (x \neq 0,\ y \neq 0) \\ &\quad = \lim_{x \to 0} \frac{xy - y}{x} = \infty \text{,不存在}. \end{aligned} 考试:② ∂x∂y∂2f(0,0)=∂y∂(∂x∂f)(0,0)=y→0limy−0fx′(0,y)−fx′(0,0) (y=0)fx′(0,y)=x→0limx−0f(x,y)−f(0,y) (x=0, y=0)=x→0limxxy−y=∞,不存在.
选B
选B
选B
改题:关于函数f(x,y)={xy,xy≠0,x+1,y=0,y+2,x=0,给出以下结论① limx→0f(x,y)存在且为0.② limx→0f(x,y)存在且为1.③ limx→0f(x,y)不存在.✓ \begin{aligned} &\text{改题:} \\ &\text{关于函数}f(x,y)= \begin{cases} xy, & xy \neq 0, \\ x+1, & y = 0, \\ y+2, & x = 0, \end{cases}\text{给出以下结论} \\ & \\ &①\ \lim_{x \to 0 } f(x,y)\text{存在且为}0. \\ &②\ \lim_{x \to 0 } f(x,y)\text{存在且为}1. \\ &③\ \lim_{x \to 0 } f(x,y)\text{不存在}. \quad \color{green}{\checkmark} \end{aligned} 改题:关于函数f(x,y)=⎩⎨⎧xy,x+1,y+2,xy=0,y=0,x=0,给出以下结论① x→0limf(x,y)存在且为0.② x→0limf(x,y)存在且为1.③ x→0limf(x,y)不存在.✓
x→0表示x无限接近但不等于0,但对y无要求:y=0时,取x+1;y≠0时,取xy.极限不相等,所以不存在,选3 \begin{aligned} &x \to 0\text{表示}x\text{无限接近但不等于}0, \\ &\text{但对}y\text{无要求:} \\ &\quad y=0\text{时,取}x+1; \\ &\quad y \neq 0\text{时,取}xy.\\&极限不相等,所以不存在,选3 \end{aligned} x→0表示x无限接近但不等于0,但对y无要求:y=0时,取x+1;y=0时,取xy.极限不相等,所以不存在,选3
再判断① limy→0f(x,y)=2.② limy→0f(x,y)=0.③ limy→0f(x,y)不存在.✓limx→0limy→0f(x,y)=0✓ \begin{aligned} &\text{再判断} \\ &①\ \lim_{y \to 0} f(x,y)=2. \\ &②\ \lim_{y \to 0} f(x,y)=0. \\ &③\ \lim_{y \to 0} f(x,y)\text{不存在.} \quad \color{green}{\checkmark} \\ & \\ &\lim_{x \to 0} \lim_{y \to 0} f(x,y)=0 \quad \color{green}{\checkmark} \end{aligned} 再判断① y→0limf(x,y)=2.② y→0limf(x,y)=0.③ y→0limf(x,y)不存在.✓x→0limy→0limf(x,y)=0✓
【小结】二元函数连续、可偏导、全微分三者间的关系:连续↮(偏导数存在)可微←偏导函数连续{lim(x,y)→(x0,y0)fx′(x,y)=fx′(x0,y0)lim(x,y)→(x0,y0)fy′(x,y)=fy′(x0,y0)定义:lim(Δx,Δy)→(0,0)Δz−AΔx−BΔy(Δx)2+(Δy)2=0连续↮可微可微↮(偏导数存在)可微→←定义 \begin{aligned} &\boxed{【小结】}\text{二元函数连续、可偏导、全微分三者间的关系:} \\ & \\ &\text{连续} \nleftrightarrow \text{(偏导数存在)} \\ & \\ &\text{可微} \leftarrow \text{偏导函数连续} \begin{cases} \lim_{(x,y) \to (x_0,y_0)} f'_x(x,y) = f'_x(x_0,y_0) \\ \lim_{(x,y) \to (x_0,y_0)} f'_y(x,y) = f'_y(x_0,y_0) \end{cases} \\ & \\ &\text{定义:}\lim_{(\Delta x,\Delta y) \to (0,0)} \frac{\Delta z - A\Delta x - B\Delta y}{\sqrt{(\Delta x)^2 + (\Delta y)^2}} = 0 \\&连续\nleftrightarrow 可微 \\&可微\nleftrightarrow (偏导数存在)\\&可微 \rightarrow \leftarrow 定义\end{aligned} 【小结】二元函数连续、可偏导、全微分三者间的关系:连续↮(偏导数存在)可微←偏导函数连续{lim(x,y)→(x0,y0)fx′(x,y)=fx′(x0,y0)lim(x,y)→(x0,y0)fy′(x,y)=fy′(x0,y0)定义:(Δx,Δy)→(0,0)lim(Δx)2+(Δy)2Δz−AΔx−BΔy=0连续↮可微可微↮(偏导数存在)可微→←定义
1691

被折叠的 条评论
为什么被折叠?



