数列极限的计算
直接计算:转化成函数,奇偶子数列(13、14、15)夹逼准则:数值型(16)、抽象型(17、18)定积分定义:用公式(19),和夹逼相结合(20)单调有界:例21,22. \begin{aligned} &\text{直接计算:转化成函数,奇偶子数列(13、14、15)} \\ &\text{夹逼准则:数值型(16)、抽象型(17、18)} \\ &\text{定积分定义:用公式(19),和夹逼相结合(20)} \\ &\text{单调有界:例21,22.} \end{aligned} 直接计算:转化成函数,奇偶子数列(13、14、15)夹逼准则:数值型(16)、抽象型(17、18)定积分定义:用公式(19),和夹逼相结合(20)单调有界:例21,22.
可转化为未定式的极限
![![[Pasted image 20251130063442.png]]](https://i-blog.csdnimg.cn/direct/47747ba614624cd19f4d20918c0e7023.png)
解:考虑limx→+∞tanx(π4+2x)=elimx→+∞x⋅(tan(π4+2x)−1)=t=1xelimt→0+tan(π4+2t)−1t=洛必达elimt→0+sec2(π4+2t)⋅21=e4 \begin{aligned} &\text{解:考虑}\lim_{x \to +\infty} \tan^x\left(\frac{\pi}{4}+\frac{2}{x}\right) = e^{\lim_{x \to +\infty} x \cdot \left(\tan\left(\frac{\pi}{4}+\frac{2}{x}\right)-1\right)} \\ &\xlongequal{t=\frac{1}{x}} e^{\lim_{t \to 0^+} \frac{\tan\left(\frac{\pi}{4}+2t\right)-1}{t}} \\ &\xlongequal{\text{洛必达}} e^{\lim_{t \to 0^+} \frac{\sec^2\left(\frac{\pi}{4}+2t\right) \cdot 2}{1}} = e^4 \end{aligned} 解:考虑x→+∞limtanx(4π+x2)=elimx→+∞x⋅(tan(4π+x2)−1)t=x1elimt→0+ttan(4π+2t)−1洛必达elimt→0+1sec2(4π+2t)⋅2=e4
小结:① 函数极限存在,数列极限一定存在 (n→∞是x→+∞上部分的离散点列)②数列极限存在,函数极限未必存在 limn→∞sinnπ=limn→∞0=0, 但limx→+∞sinπx不存在 limn→∞(nn+1)(−1)n=1, 但limx→+∞(xx+1)(−1)x不存在 \begin{aligned} &\text{小结:① 函数极限存在,数列极限一定存在} \\ &\quad\ \ (n \to \infty\text{是}x \to +\infty\text{上部分的离散点列}) \\ & \\ &② \text{数列极限存在,函数极限未必存在} \\ &\quad\ \ \lim_{n \to \infty} \sin n\pi = \lim_{n \to \infty} 0 = 0,\ \text{但}\lim_{x \to +\infty} \sin \pi x\text{不存在} \\ &\quad\ \ \lim_{n \to \infty} \left(\frac{n}{n+1}\right)^{(-1)^n} = 1,\ \text{但}\lim_{x \to +\infty} \left(\frac{x}{x+1}\right)^{(-1)^x}\text{不存在} \end{aligned} 小结:① 函数极限存在,数列极限一定存在 (n→∞是x→+∞上部分的离散点列)②数列极限存在,函数极限未必存在 n→∞limsinnπ=n→∞lim0=0, 但x→+∞limsinπx不存在 n→∞lim(n+1n)(−1)n=1, 但x→+∞lim(x+1x)(−1)x不存在
![![[Pasted image 20251130101732.png]]](https://i-blog.csdnimg.cn/direct/7f93f9d445554a358552ce487d7b5698.png)
解:limn→∞(1−12+12−13+⋯+1n−1n+1)n=limn→∞(1−1n+1)n=elimn→∞n⋅(−1n+1)=e−1 \begin{aligned} &\text{解:}\lim_{n \to \infty} \left(1 - \frac{1}{2} + \frac{1}{2} - \frac{1}{3} + \cdots + \frac{1}{n} - \frac{1}{n+1}\right)^n \\ &= \lim_{n \to \infty} \left(1 - \frac{1}{n+1}\right)^n \\ &= e^{\lim_{n \to \infty} n \cdot \left(-\frac{1}{n+1}\right)} = e^{-1} \end{aligned} 解:n→∞lim(1−21+21−31+⋯+n1−n+11)n=n→∞lim(1−n+11)n=elimn→∞n⋅(−n+11)=e−1
![![[Pasted image 20251130102822.png]]](https://i-blog.csdnimg.cn/direct/04cfde58f62a4562b99e5d0886a8f016.png)
解1:抓大头:limn→∞(a−n+b−n)1n=limn→∞(a−n)1n=a−1 (a>b>0)解2:抓大头:原式=limn→∞(a−n)1n(1+(b−1a−1)n)1n=a−1⋅limn→∞(1+(ba)n)1n=a−1 (a>b>0)拓:limx→+∞(ex+1)1x=limx→+∞(ex)1x=e=limx→+∞(ex)1x(1+e−x)1x=e \begin{aligned} &\text{解1:抓大头:}\lim_{n \to \infty} (a^{-n} + b^{-n})^{\frac{1}{n}} = \lim_{n \to \infty} (a^{-n})^{\frac{1}{n}} = a^{-1}\ (a > b > 0) \\ & \\ &\text{解2:抓大头:原式}=\lim_{n \to \infty} (a^{-n})^{\frac{1}{n}} \left(1 + \left(\frac{b^{-1}}{a^{-1}}\right)^n\right)^{\frac{1}{n}} \\ &= a^{-1} \cdot \lim_{n \to \infty} \left(1 + \left(\frac{b}{a}\right)^n\right)^{\frac{1}{n}} = a^{-1}\ (a > b > 0) \\ & \\ &\text{拓:}\lim_{x \to +\infty} (e^x + 1)^{\frac{1}{x}} = \lim_{x \to +\infty} (e^x)^{\frac{1}{x}} = e \\ &= \lim_{x \to +\infty} (e^x)^{\frac{1}{x}} \left(1 + e^{-x}\right)^{\frac{1}{x}} = e \end{aligned} 解1:抓大头:n→∞lim(a−n+b−n)n1=n→∞lim(a−n)n1=a−1 (a>b>0)解2:抓大头:原式=n→∞lim(a−n)n1(1+(a−1b−1)n)n1=a−1⋅n→∞lim(1+(ab)n)n1=a−1 (a>b>0)拓:x→+∞lim(ex+1)x1=x→+∞lim(ex)x1=e=x→+∞lim(ex)x1(1+e−x)x1=e
运用夹逼准则
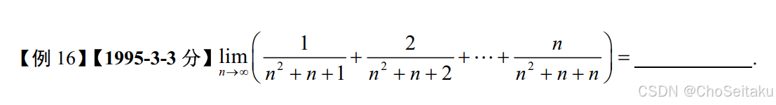
![![[Pasted image 20251130110601.png]]](https://i-blog.csdnimg.cn/direct/07a22d29a9f74839bd17fb3011eadafa.png)
错解:=limn→∞1n2+n+1+limn→∞2n2+n+2+⋯+limn→∞nn2+n+n=0+0+⋯+0=0(极限的拆分只能用于有限项,无限项不能用)解1:通分limn→∞1⋅(n2+n+2)⋯(n2+n+n)+⋯+n⋅(n2+n+1)⋯(n2+n+n−1)(n2+n+1)(n2+n+2)⋯(n2+n+n)简化后:limn→∞n2(n−1)⋅(1+2+⋯+n)n2n=limn→∞n2(n−1)n(n+1)2n2n=12 \begin{aligned} &\text{错解:}=\lim_{n \to \infty}\frac{1}{n^2+n+1} + \lim_{n \to \infty}\frac{2}{n^2+n+2} + \cdots + \lim_{n \to \infty}\frac{n}{n^2+n+n} = 0+0+\cdots+0=0 \\ &\text{(极限的拆分只能用于有限项,无限项不能用)} \\ & \\ &\text{解1:通分} \\ &\lim_{n \to \infty} \frac{1 \cdot (n^2+n+2)\cdots(n^2+n+n) + \cdots + n \cdot (n^2+n+1)\cdots(n^2+n+n-1)}{(n^2+n+1)(n^2+n+2)\cdots(n^2+n+n)} \\ &\text{简化后:} \\ &\lim_{n \to \infty} \frac{n^{2(n-1)} \cdot (1+2+\cdots+n)}{n^{2n}} = \lim_{n \to \infty} \frac{n^{2(n-1)} \frac{n(n+1)}{2}}{n^{2n}} = \frac{1}{2} \end{aligned} 错解:=n→∞limn2+n+11+n→∞limn2+n+22+⋯+n→∞limn2+n+nn=0+0+⋯+0=0(极限的拆分只能用于有限项,无限项不能用)解1:通分n→∞lim(n2+n+1)(n2+n+2)⋯(n2+n+n)1⋅(n2+n+2)⋯(n2+n+n)+⋯+n⋅(n2+n+1)⋯(n2+n+n−1)简化后:n→∞limn2nn2(n−1)⋅(1+2+⋯+n)=n→∞limn2nn2(n−1)2n(n+1)=21
解2:limn→∞(1n2+n+1+2n2+n+2+⋯+nn2+n+n)用夹逼准则:∑i=1nin2+n+n≤∑i=1nin2+n+i≤∑i=1nin2+n+1limn→∞∑i=1nin2+n+n=limn→∞1n2+2n∑i=1ni=limn→∞n(n+1)2n2+2n=12limn→∞∑i=1nin2+n+1=limn→∞1n2+n+1∑i=1ni=limn→∞n(n+1)2n2+n+1=12由夹逼准则可知,原式=12 \begin{aligned} &\text{解2:}\lim_{n \to \infty} \left( \frac{1}{n^2+n+1} + \frac{2}{n^2+n+2} + \cdots + \frac{n}{n^2+n+n} \right) \\ &\text{用夹逼准则:} \\ &\sum_{i=1}^{n} \frac{i}{n^2+n+n} \leq \sum_{i=1}^{n} \frac{i}{n^2+n+i} \leq \sum_{i=1}^{n} \frac{i}{n^2+n+1} \\ &\lim_{n \to \infty} \sum_{i=1}^{n} \frac{i}{n^2+n+n} = \lim_{n \to \infty} \frac{1}{n^2+2n} \sum_{i=1}^{n} i = \lim_{n \to \infty} \frac{\frac{n(n+1)}{2}}{n^2+2n} = \frac{1}{2} \\ &\lim_{n \to \infty} \sum_{i=1}^{n} \frac{i}{n^2+n+1} = \lim_{n \to \infty} \frac{1}{n^2+n+1} \sum_{i=1}^{n} i = \lim_{n \to \infty} \frac{\frac{n(n+1)}{2}}{n^2+n+1} = \frac{1}{2} \\ & \\ &\text{由夹逼准则可知,原式} = \frac{1}{2} \end{aligned} 解2:n→∞lim(n2+n+11+n2+n+22+⋯+n2+n+nn)用夹逼准则:i=1∑nn2+n+ni≤i=1∑nn2+n+ii≤i=1∑nn2+n+1in→∞limi=1∑nn2+n+ni=n→∞limn2+2n1i=1∑ni=n→∞limn2+2n2n(n+1)=21n→∞limi=1∑nn2+n+1i=n→∞limn2+n+11i=1∑ni=n→∞limn2+n+12n(n+1)=21由夹逼准则可知,原式=21
eg:limn→∞1n2+12+2n2+22+⋯+nn2+n2=limn→∞1n∑i=1nin1+(in)2=∫01x1+x2dx=12ln(1+x2)∣01=ln22思路:∑i=1nin2+n2≤∑i=1nin2+i2≤∑i=1nin2+12limn→∞∑i=1nin2+12=limn→∞n(n+1)2n2+1=12limn→∞∑i=1nin2+n2=limn→∞n(n+1)2n2+n2=14不能用夹逼准则(左右极限不相等) \begin{aligned} &\text{eg:}\lim_{n \to \infty} \frac{1}{n^2+1^2} + \frac{2}{n^2+2^2} + \cdots + \frac{n}{n^2+n^2} = \lim_{n \to \infty} \frac{1}{n} \sum_{i=1}^{n} \frac{\frac{i}{n}}{1+\left(\frac{i}{n}\right)^2} = \int_{0}^{1} \frac{x}{1+x^2}dx \\ &= \frac{1}{2}\ln(1+x^2)\big|_{0}^{1} = \frac{\ln2}{2} \\ & \\ &\text{思路:} \\ &\sum_{i=1}^{n} \frac{i}{n^2+n^2} \leq \sum_{i=1}^{n} \frac{i}{n^2+i^2} \leq \sum_{i=1}^{n} \frac{i}{n^2+1^2} \\ & \\ &\lim_{n \to \infty} \sum_{i=1}^{n} \frac{i}{n^2+1^2} = \lim_{n \to \infty} \frac{\frac{n(n+1)}{2}}{n^2+1} = \frac{1}{2} \\ &\lim_{n \to \infty} \sum_{i=1}^{n} \frac{i}{n^2+n^2} = \lim_{n \to \infty} \frac{\frac{n(n+1)}{2}}{n^2+n^2} = \frac{1}{4} \\ &\text{不能用夹逼准则(左右极限不相等)} \end{aligned} eg:n→∞limn2+121+n2+222+⋯+n2+n2n=n→∞limn1i=1∑n1+(ni)2ni=∫011+x2xdx=21ln(1+x2)01=2ln2思路:i=1∑nn2+n2i≤i=1∑nn2+i2i≤i=1∑nn2+12in→∞limi=1∑nn2+12i=n→∞limn2+12n(n+1)=21n→∞limi=1∑nn2+n2i=n→∞limn2+n22n(n+1)=41不能用夹逼准则(左右极限不相等)
结论:分母最大值与最小值的极限为1,用夹逼准则;极限不是1,用定积分定义。 \begin{aligned} &\text{结论:} \\ &\text{分母最大值与最小值的极限为1,用夹逼准则;} \\ &\text{极限不是1,用定积分定义。} \end{aligned} 结论:分母最大值与最小值的极限为1,用夹逼准则;极限不是1,用定积分定义。
![![[Pasted image 20251130122501.png]]](https://i-blog.csdnimg.cn/direct/523281f764e84d85ad83711f33936d44.png)
积分比较大小:①一元定积分:上下限大小关系 + 被积函数大小;②二重积分:被积函数大小。 \begin{aligned} &\text{积分比较大小:} \\ &① \text{一元定积分:上下限大小关系 + 被积函数大小;} \\ &② \text{二重积分:被积函数大小。} \end{aligned} 积分比较大小:①一元定积分:上下限大小关系 + 被积函数大小;②二重积分:被积函数大小。
解:(1) 由ln(1+t)<t (当t>0), 得(ln(1+t))n<tn,故∫01∣lnt∣[ln(1+t)]ndt<∫01tn∣lnt∣dt.(2)∫01tn∣lnt∣dt=−∫01tnlntdt=−∫01(1n+1tn+1)′lntdt=−(1n+1tn+1⋅lnt)∣01+∫011n+1tn+1⋅1tdt=1n+1∫01tndt=1(n+1)2.又limn→∞1(n+1)2=0, 且0≤un≤1(n+1)2,由夹逼准则可知:limn→∞un=0. \begin{aligned} &\text{解:(1) 由}\ln(1+t) < t\ (\text{当}t > 0),\ \text{得}(\ln(1+t))^n < t^n, \\ &\text{故}\int_{0}^{1} |\ln t|[\ln(1+t)]^n dt <\int_{0}^{1} t^n |\ln t| dt. \\ & \\ &(2) \int_{0}^{1} t^n |\ln t| dt = -\int_{0}^{1} t^n \ln t dt = -\int_{0}^{1} \left( \frac{1}{n+1} t^{n+1} \right)' \ln t dt \\ &= -\left. \left( \frac{1}{n+1} t^{n+1} \cdot \ln t \right) \right|_{0}^{1} + \int_{0}^{1} \frac{1}{n+1} t^{n+1} \cdot \frac{1}{t} dt \\ &= \frac{1}{n+1} \int_{0}^{1} t^n dt = \frac{1}{(n+1)^2}. \\ & \\ &\text{又}\lim_{n \to \infty} \frac{1}{(n+1)^2} = 0,\ \text{且}0 \leq u_n \leq \frac{1}{(n+1)^2}, \\ &\text{由夹逼准则可知:}\lim_{n \to \infty} u_n = 0. \end{aligned} 解:(1) 由ln(1+t)<t (当t>0), 得(ln(1+t))n<tn,故∫01∣lnt∣[ln(1+t)]ndt<∫01tn∣lnt∣dt.(2)∫01tn∣lnt∣dt=−∫01tnlntdt=−∫01(n+11tn+1)′lntdt=−(n+11tn+1⋅lnt)01+∫01n+11tn+1⋅t1dt=n+11∫01tndt=(n+1)21.又n→∞lim(n+1)21=0, 且0≤un≤(n+1)21,由夹逼准则可知:n→∞limun=0.
小结:当出现不等式时,且是计算一个极限,用夹逼准则。②不等式:ex−1>x>ln(1+x)tanx>x>arctanxarcsinx>x>sinx \begin{aligned} &\text{小结:当出现不等式时,且是计算一个极限,用夹逼准则。} \\&② \text{不等式:} \\ &e^x - 1 > x > \ln(1+x) \\ &\tan x > x > \arctan x \\ &\arcsin x > x > \sin x\end{aligned} 小结:当出现不等式时,且是计算一个极限,用夹逼准则。②不等式:ex−1>x>ln(1+x)tanx>x>arctanxarcsinx>x>sinx
改题:记un=∫01∣lnt∣[sint]ndt (n=1,2,⋯ ),求极限limn→∞un. \begin{aligned} &\text{改题:} \\ &\text{记}u_n = \int_{0}^{1} |\ln t| [\sin t]^n dt\ (n = 1,2,\cdots),\text{求极限}\lim_{n \to \infty} u_n. \end{aligned} 改题:记un=∫01∣lnt∣[sint]ndt (n=1,2,⋯),求极限n→∞limun.
0≤∫01∣lnt∣[sint]ndt<∫01∣lnt∣tndt=1(n+1)2 0 \leq \int_{0}^{1} |\ln t| [\sin t]^n dt < \int_{0}^{1} |\ln t| t^n dt = \frac{1}{(n+1)^2} 0≤∫01∣lnt∣[sint]ndt<∫01∣lnt∣tndt=(n+1)21
![![[Pasted image 20251201054908.png]]](https://i-blog.csdnimg.cn/direct/49a1042e608b452c92654ee30d67fe86.png)
解:(1) 因∣cost∣≥0, 故∫0nπ∣cost∣dt≤∫0x∣cost∣dt<∫0(n+1)π∣cost∣dt∫0nπ∣cost∣dt=n∫0π∣cost∣dt=n⋅2∫0π2∣cost∣dt=2n∫0π2costdt=2n∫0(n+1)π∣cost∣dt=(n+1)∫0π∣cost∣dt=(n+1)⋅2∫0π2costdt=2(n+1)故 2n≤S(x)<2(n+1) \begin{aligned} &\text{解:(1) 因}|\cos t| \geq 0,\ \text{故}\int_{0}^{n\pi} |\cos t|dt \leq \int_{0}^{x} |\cos t|dt < \int_{0}^{(n+1)\pi} |\cos t|dt \\ & \\ &\int_{0}^{n\pi} |\cos t|dt = n\int_{0}^{\pi} |\cos t|dt = n \cdot 2\int_{0}^{\frac{\pi}{2}} |\cos t|dt = 2n\int_{0}^{\frac{\pi}{2}} \cos t dt = 2n \\ & \\ &\int_{0}^{(n+1)\pi} |\cos t|dt = (n+1)\int_{0}^{\pi} |\cos t|dt = (n+1) \cdot 2\int_{0}^{\frac{\pi}{2}} \cos t dt = 2(n+1) \\ & \\ &\text{故}\ 2n \leq S(x) < 2(n+1) \end{aligned} 解:(1) 因∣cost∣≥0, 故∫0nπ∣cost∣dt≤∫0x∣cost∣dt<∫0(n+1)π∣cost∣dt∫0nπ∣cost∣dt=n∫0π∣cost∣dt=n⋅2∫02π∣cost∣dt=2n∫02πcostdt=2n∫0(n+1)π∣cost∣dt=(n+1)∫0π∣cost∣dt=(n+1)⋅2∫02πcostdt=2(n+1)故 2n≤S(x)<2(n+1)
(2) 2n(n+1)π≤S(x)x<2(n+1)nπlimn→∞2n(n+1)π=limn→∞2(n+1)nπ=2π故由夹逼准则可知:limx→∞S(x)x=2π \begin{aligned} &(2) \ \frac{2n}{(n+1)\pi} \leq \frac{S(x)}{x} < \frac{2(n+1)}{n\pi} \\ & \\ &\lim_{n \to \infty} \frac{2n}{(n+1)\pi} = \lim_{n \to \infty} \frac{2(n+1)}{n\pi} = \frac{2}{\pi} \\ & \\ &\text{故由夹逼准则可知:}\lim_{x \to \infty} \frac{S(x)}{x} = \frac{2}{\pi} \end{aligned} (2) (n+1)π2n≤xS(x)<nπ2(n+1)n→∞lim(n+1)π2n=n→∞limnπ2(n+1)=π2故由夹逼准则可知:x→∞limxS(x)=π2
改题:设函数S(x)=∫0x∣sint∣dt,求limx→+∞S(x)x. \begin{aligned} &\text{改题:} \\ &\text{设函数}S(x) = \int_{0}^{x} |\sin t| dt,\text{求}\lim_{x \to +\infty} \frac{S(x)}{x}. \end{aligned} 改题:设函数S(x)=∫0x∣sint∣dt,求x→+∞limxS(x).
错解:limx→+∞∫0x∣sint∣dtx=洛必达limx→+∞∣sinx∣1 不存在故limx→+∞S(x)x 不存在. \begin{aligned} &\text{错解:}\lim_{x \to +\infty} \frac{\int_{0}^{x} |\sin t| dt}{x} \xlongequal{\text{洛必达}} \lim_{x \to +\infty} \frac{|\sin x|}{1}\ \text{不存在} \\ &\text{故}\lim_{x \to +\infty} \frac{S(x)}{x}\ \text{不存在}. \end{aligned} 错解:x→+∞limx∫0x∣sint∣dt洛必达x→+∞lim1∣sinx∣ 不存在故x→+∞limxS(x) 不存在.
错因:用洛必达时,若f′(x)g′(x)的极限存在或为∞,则limf(x)g(x)=limf′(x)g′(x);但若f′g′的极限不存在且不为∞,则无法推出原来的极限fg不存在. \begin{aligned} &\text{错因:用洛必达时,若}\frac{f'(x)}{g'(x)}\text{的极限存在或为}\infty,\text{则}\lim\frac{f(x)}{g(x)} = \lim\frac{f'(x)}{g'(x)}; \\ &\text{但若}\frac{f'}{g'}\text{的极限不存在且不为}\infty,\text{则无法推出原来的极限}\frac{f}{g}\text{不存在}. \end{aligned} 错因:用洛必达时,若g′(x)f′(x)的极限存在或为∞,则limg(x)f(x)=limg′(x)f′(x);但若g′f′的极限不存在且不为∞,则无法推出原来的极限gf不存在.
正解:nπ≤x<(n+1)π, 2n=∫0nπ∣sint∣dt≤∫0x∣sint∣dt<∫0(n+1)π∣sint∣dt=2(n+1)2n(n+1)π<S(x)x<2(n+1)nπ, limn→∞2n(n+1)π=limn→∞2(n+1)nπ=2π故由夹逼准则可知:limx→+∞S(x)x=2π \begin{aligned} &\text{正解:}n\pi \leq x < (n+1)\pi,\ 2n = \int_{0}^{n\pi} |\sin t|dt \leq \int_{0}^{x} |\sin t|dt < \int_{0}^{(n+1)\pi} |\sin t|dt = 2(n+1) \\ & \\ &\frac{2n}{(n+1)\pi} <\frac{S(x)}{x} < \frac{2(n+1)}{n\pi},\ \ \lim_{n \to \infty} \frac{2n}{(n+1)\pi} = \lim_{n \to \infty} \frac{2(n+1)}{n\pi} = \frac{2}{\pi} \\ & \\ &\text{故由夹逼准则可知:}\lim_{x \to +\infty} \frac{S(x)}{x} = \frac{2}{\pi} \end{aligned} 正解:nπ≤x<(n+1)π, 2n=∫0nπ∣sint∣dt≤∫0x∣sint∣dt<∫0(n+1)π∣sint∣dt=2(n+1)(n+1)π2n<xS(x)<nπ2(n+1), n→∞lim(n+1)π2n=n→∞limnπ2(n+1)=π2故由夹逼准则可知:x→+∞limxS(x)=π2
运用定积分的定义
定积分定义{①计算极限数值型:①∫01f(x)dx=limn→∞∑i=1n1nf(in)②∫abf(x)dx=limn→∞∑i=1nb−anf(a+b−ani)②抽象型:∫01f(x)dx=limn→∞1kn∑i=1knf(ξi), ξi∈[i−1kn,ikn] \begin{aligned} &\text{定积分定义}\begin{cases} \text{①计算极限数值型:} \\ \quad ① \int_{0}^{1} f(x)dx = \lim_{n \to \infty} \sum_{i=1}^{n} \frac{1}{n} f\left(\frac{i}{n}\right) \\ \quad ② \int_{a}^{b} f(x)dx = \lim_{n \to \infty} \sum_{i=1}^{n} \frac{b-a}{n} f\left(a + \frac{b-a}{n}i\right) \\ \text{②抽象型:} \\ \quad \int_{0}^{1} f(x)dx = \lim_{n \to \infty} \frac{1}{kn} \sum_{i=1}^{kn} f(\xi_i),\ \xi_i \in \left[\frac{i-1}{kn}, \frac{i}{kn}\right] \end{cases} \end{aligned} 定积分定义⎩⎨⎧①计算极限数值型:①∫01f(x)dx=limn→∞∑i=1nn1f(ni)②∫abf(x)dx=limn→∞∑i=1nnb−af(a+nb−ai)②抽象型:∫01f(x)dx=limn→∞kn1∑i=1knf(ξi), ξi∈[kni−1,kni]
![![[Pasted image 20251201064207.png]]](https://i-blog.csdnimg.cn/direct/7e30fc191b134cffa58e4726687ab048.png)
解:limn→∞1n∑i=1n1+cosiπn=∫011+cosπxdx=∫012cos2πx2dx=2∫01cosπ2x dx=2⋅2π=22π \begin{aligned} &\text{解:}\lim_{n \to \infty} \frac{1}{n} \sum_{i=1}^{n} \sqrt{1+\cos\frac{i\pi}{n}} = \int_{0}^{1} \sqrt{1+\cos\pi x}dx = \int_{0}^{1} \sqrt{2\cos^2\frac{\pi x}{2}}dx \\ &= \sqrt{2}\int_{0}^{1} \cos\frac{\pi}{2}x\ dx = \sqrt{2} \cdot \frac{2}{\pi} = \frac{2\sqrt{2}}{\pi} \end{aligned} 解:n→∞limn1i=1∑n1+cosniπ=∫011+cosπxdx=∫012cos22πxdx=2∫01cos2πx dx=2⋅π2=π22
拓:limn→∞1n∑i=1n11+in=∫0111+xdx=ln(1+x)∣01=ln2∫02f(x)dx=limn→∞2n∑i=1nf(2ni)也可表示为:limn→∞12⋅2n∑i=1n11+12⋅2in=12∫0211+12xdx=ln(1+12x)∣02=ln2 \begin{aligned} &\text{拓:}\lim_{n \to \infty} \frac{1}{n} \sum_{i=1}^{n} \frac{1}{1+\frac{i}{n}} = \int_{0}^{1} \frac{1}{1+x}dx = \ln(1+x)\big|_{0}^{1} = \ln2 \\ & \\ &\int_{0}^{2} f(x)dx = \lim_{n \to \infty} \frac{2}{n} \sum_{i=1}^{n} f\left(\frac{2}{n}i\right) \\ & \\ &\text{也可表示为:}\lim_{n \to \infty} \frac{1}{2} \cdot \frac{2}{n} \sum_{i=1}^{n} \frac{1}{1+\frac{1}{2} \cdot \frac{2i}{n}} = \frac{1}{2}\int_{0}^{2} \frac{1}{1+\frac{1}{2}x}dx \\ &= \ln\left(1+\frac{1}{2}x\right)\big|_{0}^{2} = \ln2 \end{aligned} 拓:n→∞limn1i=1∑n1+ni1=∫011+x1dx=ln(1+x)01=ln2∫02f(x)dx=n→∞limn2i=1∑nf(n2i)也可表示为:n→∞lim21⋅n2i=1∑n1+21⋅n2i1=21∫021+21x1dx=ln(1+21x)02=ln2
定积分定义和夹逼准则的区分:①有分母时,最大分母与最小分母的极限为1,用夹逼准则;②无分母时,令i=nx代入和式,若n消掉了,则可用定积分定义,所剩函数即为f(x).例:1+cosiπn→i=nx1+cosnx⋅πn=1+cosπx \begin{aligned} &\text{定积分定义和夹逼准则的区分:} \\ &① \text{有分母时,最大分母与最小分母的极限为1,用夹逼准则;} \\ &② \text{无分母时,令}i = nx\text{代入和式,若}n\text{消掉了,则可用定积分定义,所剩函数即为}f(x). \\ & \\ &\text{例:}\sqrt{1+\cos\frac{i\pi}{n}} \xrightarrow{i = nx} \sqrt{1+\cos\frac{nx \cdot \pi}{n}} = \sqrt{1+\cos\pi x} \end{aligned} 定积分定义和夹逼准则的区分:①有分母时,最大分母与最小分母的极限为1,用夹逼准则;②无分母时,令i=nx代入和式,若n消掉了,则可用定积分定义,所剩函数即为f(x).例:1+cosniπi=nx1+cosnnx⋅π=1+cosπx
![![[Pasted image 20251201070537.png]]](https://i-blog.csdnimg.cn/direct/d14113725f4b4ab6905ec8b5f2b7667e.png)
limn→∞∑i=1nsininπn+1i=limn→∞1n∑i=1nnsininπn+1insininπn+1i=n⋅sinnxnπn+1nx (令i=nx),仍含n,不能用定积分定义. \begin{aligned} &\lim_{n \to \infty} \sum_{i=1}^{n} \frac{\sin\frac{i}{n}\pi}{n+\frac{1}{i}} = \lim_{n \to \infty} \frac{1}{n} \sum_{i=1}^{n} \frac{n\sin\frac{i}{n}\pi}{n+\frac{1}{i}} \\ & \\ &\frac{n\sin\frac{i}{n}\pi}{n+\frac{1}{i}} = \frac{n \cdot \sin\frac{nx}{n}\pi}{n+\frac{1}{nx}}\ (\text{令}i=nx),\text{仍含}n,\text{不能用定积分定义}. \end{aligned} n→∞limi=1∑nn+i1sinniπ=n→∞limn1i=1∑nn+i1nsinniπn+i1nsinniπ=n+nx1n⋅sinnnxπ (令i=nx),仍含n,不能用定积分定义.
limn→∞n+1n+1n=1用夹逼准则 \lim_{n \to \infty} \frac{n+1}{n+\frac{1}{n}} = 1\qquad 用夹逼准则n→∞limn+n1n+1=1用夹逼准则
解:∑i=1nsininπn+1≤∑i=1nsininπn+1i≤∑i=1n1nsininπlimn→∞∑i=1n1n+1sininπ=limn→∞nn+1⋅1n∑i=1nsininπ=limn→∞1n∑i=1nsininπ=∫01sinπxdx=2π故由夹逼准则可知:limn→∞(sinπnn+1+sin2πnn+12+⋯+sinπn+1n)=2π \begin{aligned} &\text{解:} \\ &\sum_{i=1}^{n} \frac{\sin\frac{i}{n}\pi}{n+1} \leq \sum_{i=1}^{n} \frac{\sin\frac{i}{n}\pi}{n+\frac{1}{i}} \leq \sum_{i=1}^{n} \frac{1}{n}\sin\frac{i}{n}\pi \\ & \\ &\lim_{n \to \infty} \sum_{i=1}^{n} \frac{1}{n+1}\sin\frac{i}{n}\pi = \lim_{n \to \infty} \frac{n}{n+1} \cdot \frac{1}{n}\sum_{i=1}^{n} \sin\frac{i}{n}\pi = \lim_{n \to \infty} \frac{1}{n}\sum_{i=1}^{n} \sin\frac{i}{n}\pi \\ &= \int_{0}^{1} \sin\pi x dx = \frac{2}{\pi} \\ & \\ &\text{故由夹逼准则可知:} \\ &\lim_{n \to \infty} \left( \frac{\sin\frac{\pi}{n}}{n+1} + \frac{\sin\frac{2\pi}{n}}{n+\frac{1}{2}} + \cdots + \frac{\sin\pi}{n+\frac{1}{n}} \right) = \frac{2}{\pi} \end{aligned} 解:i=1∑nn+1sinniπ≤i=1∑nn+i1sinniπ≤i=1∑nn1sinniπn→∞limi=1∑nn+11sinniπ=n→∞limn+1n⋅n1i=1∑nsinniπ=n→∞limn1i=1∑nsinniπ=∫01sinπxdx=π2故由夹逼准则可知:n→∞lim(n+1sinnπ+n+21sinn2π+⋯+n+n1sinπ)=π2
运用单调有界收敛准则
收敛的数列一定有界,但有界的数列不一定收敛。单调有界⇒收敛。 \begin{aligned} &\text{收敛的数列一定有界,} \\ &\text{但有界的数列不一定收敛。} \\ &\text{单调有界} \Rightarrow \text{收敛。} \end{aligned} 收敛的数列一定有界,但有界的数列不一定收敛。单调有界⇒收敛。
夹逼准则和单调有界收敛准则的区别:①计算极限值,用夹逼;②证明极限存在,用单调有界。 \begin{aligned} &\text{夹逼准则和单调有界收敛准则的区别:} \\ &① \text{计算极限值,用夹逼;} \\ &② \text{证明极限存在,用单调有界。} \end{aligned} 夹逼准则和单调有界收敛准则的区别:①计算极限值,用夹逼;②证明极限存在,用单调有界。
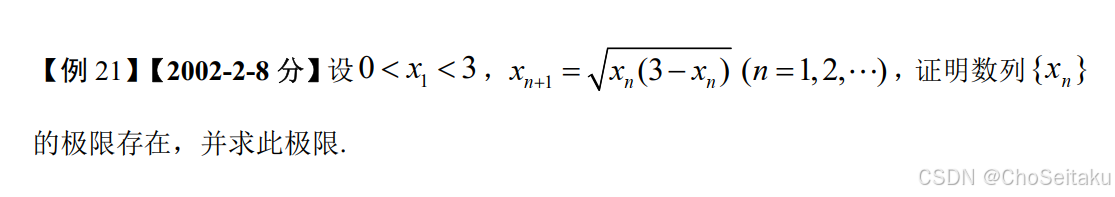
![![[Pasted image 20251201090539.png]]](https://i-blog.csdnimg.cn/direct/eebe2b33ee3e455ca6bf26105e0f02fe.png)
分析:A=A(3−A)A2=3A−A2A=0 或 A=32 \begin{aligned} &\text{分析:} \\ &A = \sqrt{A(3 - A)} \\ &A^2 = 3A - A^2 \\ &A = 0\ \text{或}\ A = \frac{3}{2} \end{aligned} 分析:A=A(3−A)A2=3A−A2A=0 或 A=23
证:xn+1=xn(3−xn)≤xn+3−xn2=32当n>1时,xn≤32xn+1−xn=xn(3−xn)−xn=xn(3−xn−xn)=xn⋅3−2xn3−xn+xn≥0故{xn}单调递增有上界,因此{xn}收敛。设limn→∞xn=A.A=A(3−A) ⟹ A2=3A−A2 ⟹ A=0(舍)或A=32 \begin{aligned} &\text{证:}x_{n+1} = \sqrt{x_n(3 - x_n)} \leq \frac{x_n + 3 - x_n}{2} = \frac{3}{2} \\ & \text{当}n > 1\text{时,}x_n \leq \frac{3}{2} \\ &x_{n+1} - x_n = \sqrt{x_n(3 - x_n)} - x_n \\ &= \sqrt{x_n} \left( \sqrt{3 - x_n} - \sqrt{x_n} \right) \\ &= \sqrt{x_n} \cdot \frac{3 - 2x_n}{\sqrt{3 - x_n} + \sqrt{x_n}} \geq 0 \\ & \\ &\text{故}\{x_n\}\text{单调递增有上界,因此}\{x_n\}\text{收敛。设}\lim_{n \to \infty}x_n = A. \\ & \\ &A = \sqrt{A(3 - A)} \implies A^2 = 3A - A^2 \implies A = 0(\text{舍}) \text{或}A = \frac{3}{2} \end{aligned} 证:xn+1=xn(3−xn)≤2xn+3−xn=23当n>1时,xn≤23xn+1−xn=xn(3−xn)−xn=xn(3−xn−xn)=xn⋅3−xn+xn3−2xn≥0故{xn}单调递增有上界,因此{xn}收敛。设n→∞limxn=A.A=A(3−A)⟹A2=3A−A2⟹A=0(舍)或A=23
小结:去掉有限项后仍为单调有界,则极限仍存在。 \begin{aligned} &\text{小结:去掉有限项后} \\ &\text{仍为单调有界,} \\ &\text{则极限仍存在。} \end{aligned} 小结:去掉有限项后仍为单调有界,则极限仍存在。
【小结】1、递推公式极限的基本思路:首先证明数列{an}单调有界,从而得到该数列极限存在;然后设limn→∞an=A,在等式两边同时取极限,得到方程A=f(A),解方程即可得出极限.(2)分析和证明数列单调有界的基本思路:①分析:先求出极限,从极限与数列前几项的大小关系分析数列的单调性,进而确定有上界还是有下界,以及上界或下界各是多少;②证明:先证有界性,再证单调性;在证明有界性时一般会用到数学归纳法. \begin{aligned} &\text{【小结】1、递推公式极限的基本思路:首先证明数列}\{a_n\}\text{单调有界,从而得到该数列} \\ &\text{极限存在;然后设}\lim_{n \to \infty}a_n = A,\text{在等式两边同时取极限,得到方程}A = f(A),\text{解方程} \\ &\text{即可得出极限.} \\ & \\ &\text{(2)分析和证明数列单调有界的基本思路:} \\ &①\text{分析:先求出极限,从极限与数列前几项的大小关系分析数列的单调性,进而确定有} \\ &\text{上界还是有下界,以及上界或下界各是多少;} \\ &②\text{证明:先证有界性,再证单调性;在证明有界性时一般会用到数学归纳法.} \end{aligned} 【小结】1、递推公式极限的基本思路:首先证明数列{an}单调有界,从而得到该数列极限存在;然后设n→∞liman=A,在等式两边同时取极限,得到方程A=f(A),解方程即可得出极限.(2)分析和证明数列单调有界的基本思路:①分析:先求出极限,从极限与数列前几项的大小关系分析数列的单调性,进而确定有上界还是有下界,以及上界或下界各是多少;②证明:先证有界性,再证单调性;在证明有界性时一般会用到数学归纳法.
2、证明单调性时常用的不等式:(1)当x∈(0,π2)时,sinx<x<tanx(2)当x>0时,ex−1>x>ln(1+x)(3)均值不等式:设a,b>0,则a+b≥2ab \begin{aligned} &\text{2、证明单调性时常用的不等式:} \\ &(1)\text{当}x \in \left(0,\frac{\pi}{2}\right)\text{时,}\sin x < x < \tan x \\ & \\ &(2)\text{当}x > 0\text{时,}e^x - 1 > x > \ln(1+x) \\ & \\ &(3)\text{均值不等式:设}a,b > 0,则a + b \geq 2\sqrt{ab} \end{aligned} 2、证明单调性时常用的不等式:(1)当x∈(0,2π)时,sinx<x<tanx(2)当x>0时,ex−1>x>ln(1+x)(3)均值不等式:设a,b>0,则a+b≥2ab
![![[Pasted image 20251201101719.png]]](https://i-blog.csdnimg.cn/direct/36b92ae4552d427bbb80c35c3af9b256.png)
分析:有e猜0,有n猜1AeA=eA−1, A=0拉格朗日xnexn+1=exn−e0=0<ξn<xn(xn−0)eξn<xnexn \begin{aligned} &\text{分析:有}e\text{猜}0\text{,有}n\text{猜1} \\ &Ae^A = e^A - 1,\ A=0 \\ &\text{拉格朗日} \\ &x_n e^{x_{n+1}} = e^{x_n} - e^0 \xlongequal{0 < \xi_n < x_n} (x_n - 0)e^{\xi_n} \\ &< x_n e^{x_n} \end{aligned} 分析:有e猜0,有n猜1AeA=eA−1, A=0拉格朗日xnexn+1=exn−e00<ξn<xn(xn−0)eξn<xnexn
证:先证有界性,x1>0,假设当n=k时,xn>0,则xn+1=lnexn−1xn>ln1=0,故由数学归纳法可知,{xn}有下界.再证单调性,xnexn+1=exn−1=exn−e0=(xn−0)eξn (0<ξn<xn)<xnexn,故xn+1<xn即{xn}单调递减.由单调有界收敛准则可知,{xn}收敛,设limn→∞xn=α,则αeα=eα−1,故α=0,即limn→∞xn=0 \begin{aligned} &\text{证:先证有界性,}x_1>0,\text{假设当}n=k\text{时,}x_n>0, \\ &\text{则}x_{n+1} = \ln\frac{e^{x_n}-1}{x_n} > \ln1=0,\text{故由数学归纳法} \\ &\text{可知,}\{x_n\}\text{有下界}. \\ & \\ &\text{再证单调性,}x_n e^{x_{n+1}} = e^{x_n}-1 = e^{x_n}-e^0 = (x_n-0)e^{\xi_n}\ (0<\xi_n<x_n) \\ &< x_n e^{x_n},\text{故}x_{n+1}<x_n \\ &\text{即}\{x_n\}\text{单调递减}. \\ & \\ &\text{由单调有界收敛准则可知,}\{x_n\}\text{收敛,设}\lim_{n \to \infty}x_n=\alpha,则 \\ &\alpha e^\alpha = e^\alpha - 1,\text{故}\alpha=0,\text{即}\lim_{n \to \infty}x_n=0 \end{aligned} 证:先证有界性,x1>0,假设当n=k时,xn>0,则xn+1=lnxnexn−1>ln1=0,故由数学归纳法可知,{xn}有下界.再证单调性,xnexn+1=exn−1=exn−e0=(xn−0)eξn (0<ξn<xn)<xnexn,故xn+1<xn即{xn}单调递减.由单调有界收敛准则可知,{xn}收敛,设n→∞limxn=α,则αeα=eα−1,故α=0,即n→∞limxn=0
小结:用拉格朗日中值定理的情况exn−1=exn−e0lnxn=lnxn−ln1 \begin{aligned} &小结:用拉格朗日中值定理的情况\\&e^{x_n} - 1 = e^{x_n} - e^0 \\ &\ln x_n = \ln x_n - \ln 1 \end{aligned} 小结:用拉格朗日中值定理的情况exn−1=exn−e0lnxn=lnxn−ln1
1526

被折叠的 条评论
为什么被折叠?



