函数性质及运算
{概念:定义域,值域,对应规则 (例1)性质:单调性,有界性,周期性,奇偶性 (例3)运算:四则,复合,反 (例2) \left\{ \begin{aligned} &{\text{概念:定义域,值域,对应规则 (例1)}} \\ &{\text{性质:单调性,有界性,周期性,奇偶性 (例3)}} \\ &{\text{运算:四则,复合,反 (例2)}} \end{aligned} \right. ⎩⎨⎧概念:定义域,值域,对应规则 (例1)性质:单调性,有界性,周期性,奇偶性 (例3)运算:四则,复合,反 (例2)
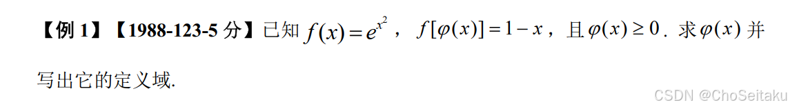
![![[Pasted image 20251129041424.png]]](https://i-blog.csdnimg.cn/direct/066fc40d533d4220ab86938399487805.png)
解: f(φ(x))=eφ(x)=1−xφ(x)2=ln(1−x), φ(x)=ln(1−x)为满足真数位置大于 0,需满足 1−x>0,即 x<1为满足根号位置大于等于 0,需满足 ln(1−x)≥0,1−x≥1,x≤0将 x<1 和 x≤0 取交集, x≤0.则 φ(x)=ln(1−x), x≤0 \begin{aligned} &\text{解:} \ f(\varphi(x)) = e^{\varphi(x)} = 1 - x \\ & \\ &\varphi(x)^2 = \ln(1 - x), \ \varphi(x) = \sqrt{\ln(1 - x)} \\ & \\ &\text{为满足真数位置大于} \ 0,\text{需满足} \ 1 - x > 0,\text{即} \ x < 1 \\ & \\ &\text{为满足根号位置大于等于} \ 0,\text{需满足} \ \ln(1 - x) \geq 0,1 - x \geq 1,x \leq 0 \\ & \\ &\text{将} \ x < 1 \ \text{和} \ x \leq 0 \ \text{取交集,} \ x \leq 0. \\ & \\ &\text{则} \ \varphi(x) = \sqrt{\ln(1 - x)}, \ x \leq 0 \end{aligned} 解: f(φ(x))=eφ(x)=1−xφ(x)2=ln(1−x), φ(x)=ln(1−x)为满足真数位置大于 0,需满足 1−x>0,即 x<1为满足根号位置大于等于 0,需满足 ln(1−x)≥0,1−x≥1,x≤0将 x<1 和 x≤0 取交集, x≤0.则 φ(x)=ln(1−x), x≤0
小结:① 定义域是使得所有函数均有意义的范围,取交集;②若没让写定义域,也必须要留,如果没写,默认自然定义域. \begin{aligned} &\text{小结:① 定义域是使得所有函数均有意义的范围,取交集;} \\ &\qquad ② \text{若没让写定义域,也必须要留,如果没写,默认自然定义域.} \end{aligned} 小结:① 定义域是使得所有函数均有意义的范围,取交集;②若没让写定义域,也必须要留,如果没写,默认自然定义域.
![![[Pasted image 20251129050305.png]]](https://i-blog.csdnimg.cn/direct/1da7db532cec43f9be38da59c58873a8.png)
解: f(f(x))={1∣f(x)∣≤10∣f(x)∣>1={1x∈R0x∈∅=1f(f(f(x)))=f(1)=1 \begin{aligned} &\text{解:} \ f(f(x)) = \begin{cases} 1 & |f(x)| \leq 1 \\ 0 & |f(x)| > 1 \end{cases} = \begin{cases} 1 & x \in \mathbb{R} \\ 0 & x \in \varnothing \end{cases} = 1 \\ & \\ &f(f(f(x))) = f(1) = 1 \end{aligned} 解: f(f(x))={10∣f(x)∣≤1∣f(x)∣>1={10x∈Rx∈∅=1f(f(f(x)))=f(1)=1
法2:特殊值法, f(f(f(0)))=f(f(1))=f(1)=1, 排除A, Df(f(f(2)))=f(f(1))=f(1)=1, 排除C. \begin{aligned} &\text{法2:特殊值法,} \ f(f(f(0))) = f(f(1)) = f(1) = 1,\ \text{排除A, D}\\ & \\ &f(f(f(2))) = f(f(1)) = f(1) = 1,\ \text{排除C}. \end{aligned} 法2:特殊值法, f(f(f(0)))=f(f(1))=f(1)=1, 排除A, Df(f(f(2)))=f(f(1))=f(1)=1, 排除C.
【小结】分段函数求复合函数的步骤是:先整体代入,再求解不等式;其中求解不等式是难点,关键是将分段函数的每一段的表达式满足不等式的范围和自变量的范围取交集,之后将每个交集再取并集即可.当有多层复合关系时,先求内层复合关系的表达式,然后再求外层复合关系的表达式,外层复合关系的表达式往往就比较简单了. \begin{aligned} &\text{【小结】分段函数求复合函数的步骤是:先整体代入,再求解不等式;} \\ &\text{其中求解不等式是难点,关键是将分段函数的每一段的表达式满足不等式的范围和} \\ &\text{自变量的范围取交集,之后将每个交集再取并集即可.当有多层复合关系时,先求内} \\ &\text{层复合关系的表达式,然后再求外层复合关系的表达式,外层复合关系的表达式往} \\ &\text{往就比较简单了.} \end{aligned} 【小结】分段函数求复合函数的步骤是:先整体代入,再求解不等式;其中求解不等式是难点,关键是将分段函数的每一段的表达式满足不等式的范围和自变量的范围取交集,之后将每个交集再取并集即可.当有多层复合关系时,先求内层复合关系的表达式,然后再求外层复合关系的表达式,外层复合关系的表达式往往就比较简单了.
![![[Pasted image 20251129053433.png]]](https://i-blog.csdnimg.cn/direct/5af6d3a47bab4473a1db2788ad4525db.png)
解:显然,f(x)=f(−x),故f(x)为偶函数,选(D) \text{解:显然,}f(x) = f(-x),\text{故}f(x)\text{为偶函数,选(D)} 解:显然,f(x)=f(−x),故f(x)为偶函数,选(D)
【小结】常见的奇函数:y=xk(k为奇数), y=x1k(k为奇数), y=sinx, y=arcsinx,y=tanx, y=arctanx, y=ln(x+1+x2), 1−ex1+ex, f(x)−f(−x), lnf(x)f(−x);常见的偶函数:y=xk(k为偶数), y=cosx, y=secx, y=∣x∣, f(x)+f(−x)与 f(x)f(−x)。 \begin{aligned} &\text{【小结】常见的奇函数:} \\ &y = x^k(k\text{为奇数}), \ y = x^{\frac{1}{k}}(k\text{为奇数}), \ y = \sin x, \ y = \arcsin x, \\ &y = \tan x, \ y = \arctan x, \ y = \ln(x+\sqrt{1+x^2}), \ \frac{1-e^x}{1+e^x}, \ f(x)-f(-x), \ \ln\frac{f(x)}{f(-x)}; \\ & \\ &\text{常见的偶函数:} \\ &y = x^k(k\text{为偶数}), \ y = \cos x, \ y = \sec x, \ y = |x|, \ f(x)+f(-x) \\ &\text{与} \ f(x)f(-x)。 \end{aligned} 【小结】常见的奇函数:y=xk(k为奇数), y=xk1(k为奇数), y=sinx, y=arcsinx,y=tanx, y=arctanx, y=ln(x+1+x2), 1+ex1−ex, f(x)−f(−x), lnf(−x)f(x);常见的偶函数:y=xk(k为偶数), y=cosx, y=secx, y=∣x∣, f(x)+f(−x)与 f(x)f(−x)。
f(−x)=ln(−x+1+(−x)2)=ln11+x2+x=−ln(1+x2+x)=−f(x) \begin{aligned} f(-x) &= \ln\left(-x + \sqrt{1+(-x)^2}\right) = \ln\frac{1}{\sqrt{1+x^2}+x} \\ &= -\ln\left(\sqrt{1+x^2}+x\right) = -f(x) \end{aligned} f(−x)=ln(−x+1+(−x)2)=ln1+x2+x1=−ln(1+x2+x)=−f(x)
函数极限的计算
四种方法,七种题型{等替{替换技巧:凑1,例4加法的替换:例5、6泰勒{上下同阶:例7反求参数:例8洛必达{变限积分:例9、10幂指函数作为一部分:例11单侧极限:例12 \begin{aligned} &\text{四种方法,七种题型} \\ &\begin{cases} \text{等替} \begin{cases} \text{替换技巧:凑1,例4} \\ \text{加法的替换:例5、6} \end{cases} \\ \text{泰勒} \begin{cases} \text{上下同阶:例7} \\ \text{反求参数:例8} \end{cases} \\ \text{洛必达} \begin{cases} \text{变限积分:例9、10} \\ \text{幂指函数作为一部分:例11} \end{cases} \\ \text{单侧极限:例12} \end{cases} \end{aligned} 四种方法,七种题型⎩⎨⎧等替{替换技巧:凑1,例4加法的替换:例5、6泰勒{上下同阶:例7反求参数:例8洛必达{变限积分:例9、10幂指函数作为一部分:例11单侧极限:例12
![![[Pasted image 20251129055959.png]]](https://i-blog.csdnimg.cn/direct/982e68114dd0445bb9e65580be6fad65.png)
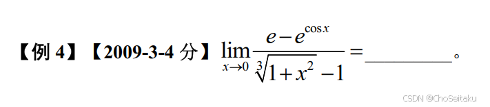
解:limx→0e(1−ecosx−1)13x2=limx→0e⋅(−(cosx−1))13x2=limx→0e⋅12x213x2=32e \begin{aligned} \text{解:}&\lim_{x \to 0} \frac{e\left(1 - e^{\cos x - 1}\right)}{\frac{1}{3}x^2} \\ &= \lim_{x \to 0} \frac{e \cdot \left(-(\cos x - 1)\right)}{\frac{1}{3}x^2} \\ &= \lim_{x \to 0} \frac{e \cdot \frac{1}{2}x^2}{\frac{1}{3}x^2} \\ &= \frac{3}{2}e \end{aligned} 解:x→0lim31x2e(1−ecosx−1)=x→0lim31x2e⋅(−(cosx−1))=x→0lim31x2e⋅21x2=23e
【小结】常用的替换技巧:(1)若α(x)→1,则lnα(x)=ln[1+α(x)−1]∼α(x)−1;(2)若α(x),β(x)→a,则eα(x)−eβ(x)=eβ(x)[eα(x)−β(x)−1]∼ea[α(x)−β(x)];(3)若α(x)→1,则α(x)n−1=[1+α(x)−1]1n−1∼1n(α(x)−1)。 \begin{aligned} &\text{【小结】常用的替换技巧:} \\ &(1)\text{若}\alpha(x) \to 1,\text{则}\ln\alpha(x) = \ln\left[1 + \alpha(x) - 1\right] \sim \alpha(x) - 1; \\ & \\ &(2)\text{若}\alpha(x), \beta(x) \to a,\text{则}e^{\alpha(x)} - e^{\beta(x)} = e^{\beta(x)}\left[e^{\alpha(x)-\beta(x)} - 1\right] \sim e^a\left[\alpha(x) - \beta(x)\right]; \\ & \\ &(3)\text{若}\alpha(x) \to 1,\text{则}\sqrt[n]{\alpha(x)} - 1 = \left[1 + \alpha(x) - 1\right]^{\frac{1}{n}} - 1 \sim \frac{1}{n}\left(\alpha(x) - 1\right)。 \end{aligned} 【小结】常用的替换技巧:(1)若α(x)→1,则lnα(x)=ln[1+α(x)−1]∼α(x)−1;(2)若α(x),β(x)→a,则eα(x)−eβ(x)=eβ(x)[eα(x)−β(x)−1]∼ea[α(x)−β(x)];(3)若α(x)→1,则nα(x)−1=[1+α(x)−1]n1−1∼n1(α(x)−1)。
改:limx→0(1+x2)12−(1+x)12ln(1+x)=limx→01+x2−(1+x)ln(1+x)(1+x2+1+x)=−12 \begin{aligned} &\text{改:}\lim_{x \to 0} \frac{(1+x^2)^{\frac{1}{2}} - (1+x)^{\frac{1}{2}}}{\ln(1+x)} \\ &= \lim_{x \to 0} \frac{1+x^2 - (1+x)}{\ln(1+x) \left( \sqrt{1+x^2} + \sqrt{1+x} \right)} \\ &= -\frac{1}{2} \end{aligned} 改:x→0limln(1+x)(1+x2)21−(1+x)21=x→0limln(1+x)(1+x2+1+x)1+x2−(1+x)=−21
改:limx→0(1+x2)12−(1+x)13ln(1+x)=limx→0(1+x)13((1+x2)12(1+x)13−1)ln(1+x)=limx→0eln(1+x2)12(1+x)13−1x=limx→0ln(1+x2)12(1+x)13x=limx→012ln(1+x2)−13ln(1+x)x=−13 \begin{aligned} &\text{改:}\lim_{x \to 0} \frac{(1+x^2)^{\frac{1}{2}} - (1+x)^{\frac{1}{3}}}{\ln(1+x)} \\ &= \lim_{x \to 0} \frac{(1+x)^{\frac{1}{3}} \left( \frac{(1+x^2)^{\frac{1}{2}}}{(1+x)^{\frac{1}{3}}} - 1 \right)}{\ln(1+x)} \\ &= \lim_{x \to 0} \frac{e^{\ln \frac{(1+x^2)^{\frac{1}{2}}}{(1+x)^{\frac{1}{3}}} - 1}}{x} = \lim_{x \to 0} \frac{\ln \frac{(1+x^2)^{\frac{1}{2}}}{(1+x)^{\frac{1}{3}}}}{x} \\ &= \lim_{x \to 0} \frac{\frac{1}{2}\ln(1+x^2) - \frac{1}{3}\ln(1+x)}{x} = -\frac{1}{3} \end{aligned} 改:x→0limln(1+x)(1+x2)21−(1+x)31=x→0limln(1+x)(1+x)31((1+x)31(1+x2)21−1)=x→0limxeln(1+x)31(1+x2)21−1=x→0limxln(1+x)31(1+x2)21=x→0limx21ln(1+x2)−31ln(1+x)=−31
只要两项相减,两项的数相等,就可以把后一项提出去,剩下的部分用对数恒等变形,
![![[Pasted image 20251129092815.png]]](https://i-blog.csdnimg.cn/direct/084c88629e1248e5b5473a291e711fe4.png)
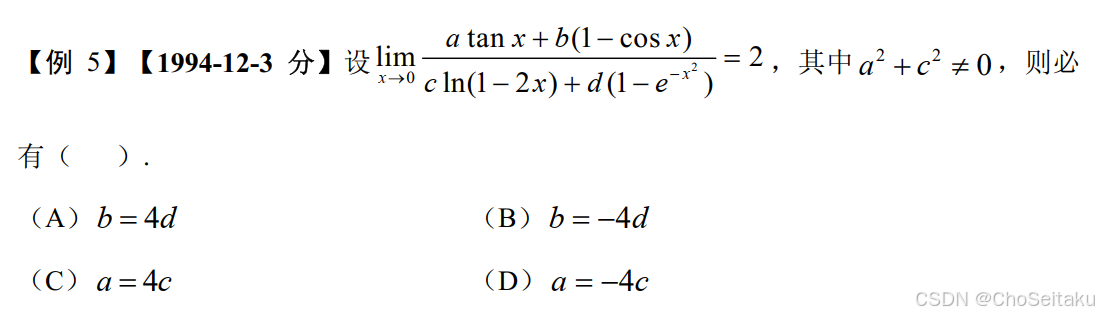
解:① 若a=0,c≠0,limx→0b⋅x22cln(1−2x)+d(1−e−x2)=limx→0b2cln(1+x)x2+d(1−e−x2)x2=0≠2,不符合② 若a≠0,c=0,极限为∞故只能a≠0,c≠0,limx→0atanx+b(1−cosx)cln(1−2x)+d(1−e−x2)=limx→0atanaxcln(1+2x)=a−2c=2,故:a=−4climx→0atanx+b(1−cosx)atanx=1,limx→∞cln(1−2x)+d(1−e−x2)cln(1−2x)=1 \begin{aligned} &\text{解:① 若}a=0, c\neq0, \lim_{x \to 0} \frac{b \cdot \frac{x^2}{2}}{c \ln(1-2x) + d(1-e^{-x^2})} = \lim_{x \to 0} \frac{\frac{b}{2}}{\frac{c \ln(1+x)}{x^2} + \frac{d(1-e^{-x^2})}{x^2}} =0\\ &\quad \neq 2, \text{不符合} \\ &\text{② 若}a \neq 0, c=0, \text{极限为}\infty \\ &\text{故只能}a \neq 0, c \neq 0, \lim_{x \to 0} \frac{a \tan x + b(1-\cos x)}{c \ln(1-2x) + d(1-e^{-x^2})} = \lim_{x \to 0} \frac{a \tan ax}{c \ln(1+2x)} = \frac{a}{-2c} = 2, \text{故:} \\ &a = -4c \\ &\lim_{x \to 0} \frac{a \tan x + b(1-\cos x)}{a \tan x} = 1, \lim_{x \to \infty} \frac{c \ln(1-2x) + d(1-e^{-x^2})}{c \ln(1-2x)} = 1 \end{aligned} 解:① 若a=0,c=0,x→0limcln(1−2x)+d(1−e−x2)b⋅2x2=x→0limx2cln(1+x)+x2d(1−e−x2)2b=0=2,不符合② 若a=0,c=0,极限为∞故只能a=0,c=0,x→0limcln(1−2x)+d(1−e−x2)atanx+b(1−cosx)=x→0limcln(1+2x)atanax=−2ca=2,故:a=−4cx→0limatanxatanx+b(1−cosx)=1,x→∞limcln(1−2x)cln(1−2x)+d(1−e−x2)=1
【小结】加法的常用替换法则:(1)如果 α(x)=o(β(x)),则 α(x)+β(x)∼β(x) (低阶+高阶等价于低阶);(2)如果 α(x)∼kxm,β(x)∼lxm,且 k+l≠0,则 α(x)+β(x)∼(k+l)xm (同阶相加,则当系数和不为零时,可以替换)。 \begin{aligned} &\text{【小结】加法的常用替换法则:} \\ &(1)\text{如果} \ \alpha(x) = o(\beta(x)),\text{则} \ \alpha(x) + \beta(x) \sim \beta(x) \ (\text{低阶+高阶等价于低阶}); \\ & \\ &(2)\text{如果} \ \alpha(x) \sim kx^m, \beta(x) \sim lx^m,\text{且} \ k + l \neq 0,\text{则} \ \alpha(x) + \beta(x) \sim (k + l)x^m \ (\text{同阶相加,} \\ &\quad \text{则当系数和不为零时,可以替换})。 \end{aligned} 【小结】加法的常用替换法则:(1)如果 α(x)=o(β(x)),则 α(x)+β(x)∼β(x) (低阶+高阶等价于低阶);(2)如果 α(x)∼kxm,β(x)∼lxm,且 k+l=0,则 α(x)+β(x)∼(k+l)xm (同阶相加,则当系数和不为零时,可以替换)。
低阶吸高阶与抓大头的区别与联系{区别:低阶吸高阶(无穷小)、抓大头(无穷大)联系:本质都是留大舍小.(只不过 x→∞ 时,次数高的大, x→0 时,次数低的大) \begin{aligned} &\text{低阶吸高阶与抓大头的区别与联系} \\ &\begin{cases} \text{区别:低阶吸高阶(无穷小)、抓大头(无穷大)} \\ \quad \\ \text{联系:本质都是留大舍小.}\text{(只不过} \ x \to \infty \ \text{时,次数高的大,} \ x \to 0 \ \text{时,次数低的大)} \end{cases} \end{aligned} 低阶吸高阶与抓大头的区别与联系⎩⎨⎧区别:低阶吸高阶(无穷小)、抓大头(无穷大)联系:本质都是留大舍小.(只不过 x→∞ 时,次数高的大, x→0 时,次数低的大)
limx→0x−sinxx3不能等价替换limx→01−cosx+arcsinx(ex−1)x2=limx→01−cosxx2+limx→0arcsinx(ex−1)x2=limx→0x22x2+limx→0⋅x⋅xx2=limx→0x22+x2x2=32 \begin{aligned} &\lim_{x \to 0} \frac{x - \sin x}{x^3} \text{不能等价替换} \\ &\lim_{x \to 0} \frac{1 - \cos x + \arcsin x (e^x - 1)}{x^2} \\ &= \lim_{x \to 0} \frac{1 - \cos x}{x^2} + \lim_{x \to 0} \frac{ \arcsin x (e^x - 1)}{x^2} \\ &= \lim_{x \to 0} \frac{\frac{x^2}{2}}{x^2} + \lim_{x \to 0} \frac{\cdot x \cdot x}{x^2} \\ &= \lim_{x \to 0} \frac{\frac{x^2}{2} + x^2}{x^2} = \frac{3}{2} \end{aligned} x→0limx3x−sinx不能等价替换x→0limx21−cosx+arcsinx(ex−1)=x→0limx21−cosx+x→0limx2arcsinx(ex−1)=x→0limx22x2+x→0limx2⋅x⋅x=x→0limx22x2+x2=23
![![[Pasted image 20251130031525.png]]](https://i-blog.csdnimg.cn/direct/6d27315845e741cb8c7500bff9debffb.png)
x−sinx∼16x3, limx→0(x−sinx)(sin1x+cos1x)x2=0, (x−sinx)(sin1x+cos1x)=o(x2)解:原式=limx→0cosx−ex2x2=limx→0(cosx−1)−(ex2−1)x2=limx→0(−x22)−(x2)x2=−32 \begin{aligned}&x - \sin x \sim \frac{1}{6}x^3, \ \lim_{x \to 0} \frac{(x - \sin x)\left(\sin \frac{1}{x} + \cos \frac{1}{x}\right)}{x^2} = 0, \ (x - \sin x)\left(\sin \frac{1}{x} + \cos \frac{1}{x}\right) = o(x^2) \\ &\text{解:原式} = \lim_{x \to 0} \frac{\cos x - e^{x^2}}{x^2} \\ &= \lim_{x \to 0} \frac{(\cos x - 1) - (e^{x^2} - 1)}{x^2} \\ &= \lim_{x \to 0} \frac{\left(-\frac{x^2}{2}\right) - \left(x^2\right)}{x^2} \\ &= -\frac{3}{2} \\ & \\ \end{aligned} x−sinx∼61x3, x→0limx2(x−sinx)(sinx1+cosx1)=0, (x−sinx)(sinx1+cosx1)=o(x2)解:原式=x→0limx2cosx−ex2=x→0limx2(cosx−1)−(ex2−1)=x→0limx2(−2x2)−(x2)=−23
![![[Pasted image 20251130031656.png]]](https://i-blog.csdnimg.cn/direct/07f9c59d1a6941dea58cb528e639c6f4.png)
解:法1:原式=elimx→0cos2x+2xsinx−1x4其中cosx=1−x22+x424+o(x4), sinx=x−x36+o(x3)=elimx→01−(2x)22+(2x)424+o(x4)+2x(x−x36+o(x3))−1x4 (展开)合并:=elimx→023x4−13x4+o(x4)x4替换=elimx→013x4x4=e13 \begin{aligned} &\text{解:法1:原式=}e^{\lim_{x \to 0} \frac{\cos 2x + 2x \sin x - 1}{x^4}} \\ &\text{其中}\cos x = 1 - \frac{x^2}{2} + \frac{x^4}{24} + o(x^4),\ \sin x = x - \frac{x^3}{6} + o(x^3) \\ &= e^{\lim_{x \to 0} \frac{1 - \frac{(2x)^2}{2} + \frac{(2x)^4}{24} + o(x^4) + 2x\left(x - \frac{x^3}{6} + o(x^3)\right) - 1}{x^4}} \ (\text{展开}) \\ &\text{合并:}= e^{\lim_{x \to 0} \frac{\frac{2}{3}x^4 - \frac{1}{3}x^4 + o(x^4)}{x^4}} \\ &\text{替换}= e^{\lim_{x \to 0} \frac{\frac{1}{3}x^4}{x^4}} = e^{\frac{1}{3}} \end{aligned} 解:法1:原式=elimx→0x4cos2x+2xsinx−1其中cosx=1−2x2+24x4+o(x4), sinx=x−6x3+o(x3)=elimx→0x41−2(2x)2+24(2x)4+o(x4)+2x(x−6x3+o(x3))−1 (展开)合并:=elimx→0x432x4−31x4+o(x4)替换=elimx→0x431x4=e31
法2:口算elimx→0cos2x+2xsinx−1x4=elimx→0−2sin2x+2xsinxx4=elimx→02sinx(x−sinx)x4=elimx→02x⋅x36x4=e13 \begin{aligned} &\text{法2:口算} \\ &e^{\lim_{x \to 0} \frac{\cos 2x + 2x \sin x - 1}{x^4}} \\ &= e^{\lim_{x \to 0} \frac{-2\sin^2 x + 2x \sin x}{x^4}} \\ &= e^{\lim_{x \to 0} \frac{2\sin x (x - \sin x)}{x^4}} = e^{\lim_{x \to 0} \frac{2x \cdot \frac{x^3}{6}}{x^4}} = e^{\frac{1}{3}} \end{aligned} 法2:口算elimx→0x4cos2x+2xsinx−1=elimx→0x4−2sin2x+2xsinx=elimx→0x42sinx(x−sinx)=elimx→0x42x⋅6x3=e31
【小结】确定展开阶数的基本原则:上下同阶(分子分母有一项阶数已知),多退少补(展开到没有完全抵消的第一项)。 \begin{aligned} &\text{【小结】确定展开阶数的基本原则:上下同阶(分子分母有一项阶数已知),} \\ &\text{多退少补(展开到没有完全抵消的第一项)。} \end{aligned} 【小结】确定展开阶数的基本原则:上下同阶(分子分母有一项阶数已知),多退少补(展开到没有完全抵消的第一项)。
![![[Pasted image 20251130033715.png]]](https://i-blog.csdnimg.cn/direct/0eed7957a1f04963a05f486a55f559f9.png)
正解:limx→0ex(1+Bx+Cx2)−1−Axx3=limx→0(1+x+x22+x36+o(x3))(1+Bx+Cx2)−1−Axx3=limx→0(B+1−A)x+(B+C+12)x2+(C+B2+16)x3+o(x3)x3=0由极限为0,分子各阶系数需为0:{B+1−A=0B+C+12=0C+B2+16=0 ⟹ {A=13B=−23C=16展开过程验证:1+x+x22+x36+o(x3)+Bx+Bx2+Bx32+Bx46+Bx⋅o(x3)+Cx2+Cx3+Cx42+Cx56+Cx2⋅o(x3)−1−Ax+o(x3)=1+x+x22+x36+Bx+Bx2+Bx32+Cx2+Cx3−1−Ax+o(x3)=(B+1−A)x+(12+B+C)x2+(16+B2+C)x3+o(x3) \begin{aligned} &\text{正解:}\lim_{x \to 0} \frac{e^x(1+Bx+Cx^2) - 1 - Ax}{x^3} = \lim_{x \to 0} \frac{\left(1+x+\frac{x^2}{2}+\frac{x^3}{6}+o(x^3)\right)\left(1+Bx+Cx^2\right)-1 - Ax}{x^3} \\ &= \lim_{x \to 0} \frac{(B+1-A)x + \left(B+C+\frac{1}{2}\right)x^2 + \left(C+\frac{B}{2}+\frac{1}{6}\right)x^3 + o(x^3)}{x^3} = 0 \\ &\text{由极限为0,分子各阶系数需为0:} \\ &\begin{cases} B+1-A=0 \\ B+C+\frac{1}{2}=0 \\ C+\frac{B}{2}+\frac{1}{6}=0 \end{cases} \implies \begin{cases} A=\frac{1}{3} \\ B=-\frac{2}{3} \\ C=\frac{1}{6} \end{cases} \\ & \\ &\text{展开过程验证:} \\ &1+x+\frac{x^2}{2}+\frac{x^3}{6}+o(x^3) + Bx+Bx^2+\frac{Bx^3}{2}+\frac{Bx^4}{6}+Bx \cdot o(x^3) + Cx^2+Cx^3+\frac{Cx^4}{2}+\frac{Cx^5}{6}+Cx^2 \cdot o(x^3) \\ &-1 - Ax + o(x^3) \\ &= 1+x+\frac{x^2}{2}+\frac{x^3}{6}+Bx+Bx^2+\frac{Bx^3}{2}+Cx^2+Cx^3-1 - Ax + o(x^3) \\ &= (B+1-A)x + \left(\frac{1}{2}+B+C\right)x^2 + \left(\frac{1}{6}+\frac{B}{2}+C\right)x^3 + o(x^3) \end{aligned} 正解:x→0limx3ex(1+Bx+Cx2)−1−Ax=x→0limx3(1+x+2x2+6x3+o(x3))(1+Bx+Cx2)−1−Ax=x→0limx3(B+1−A)x+(B+C+21)x2+(C+2B+61)x3+o(x3)=0由极限为0,分子各阶系数需为0:⎩⎨⎧B+1−A=0B+C+21=0C+2B+61=0⟹⎩⎨⎧A=31B=−32C=61展开过程验证:1+x+2x2+6x3+o(x3)+Bx+Bx2+2Bx3+6Bx4+Bx⋅o(x3)+Cx2+Cx3+2Cx4+6Cx5+Cx2⋅o(x3)−1−Ax+o(x3)=1+x+2x2+6x3+Bx+Bx2+2Bx3+Cx2+Cx3−1−Ax+o(x3)=(B+1−A)x+(21+B+C)x2+(61+2B+C)x3+o(x3)
![![[Pasted image 20251130040958.png]]](https://i-blog.csdnimg.cn/direct/a2b31c16bf6b47aca794c28bd12feeb5.png)
解:①:(∫0xx−tetdt)′=u=x−t(∫x0uex−ud(x−u))′=(∫0xuex−udu)′=(ex∫0xue−udu)′=ex∫0xue−udu+ex⋅xe−x=ex∫0xue−udu+x原式=洛必达limx→0(∫0xx−tetdt)′(x3)′=limx→0ex∫0xue−udu+x32x12=limx→0ex∫0xue−udu32x12+23=limx→0∫0xue−udu32x12+23=洛必达limx→0xe−x32⋅12x−12+23=23 \begin{aligned} &\text{解:①:}\left(\int_{0}^{x}\sqrt{x-t}e^t dt\right)' \xlongequal{u=x-t} \left(\int_{x}^{0}\sqrt{u}e^{x-u}d(x-u)\right)' \\ &= \left(\int_{0}^{x}\sqrt{u}e^{x-u}du\right)' = \left(e^x\int_{0}^{x}\sqrt{u}e^{-u}du\right)' \\ &= e^x\int_{0}^{x}\sqrt{u}e^{-u}du + e^x \cdot \sqrt{x}e^{-x} = e^x\int_{0}^{x}\sqrt{u}e^{-u}du + \sqrt{x} \\ & \\ &\text{原式}\xlongequal{\text{洛必达}} \lim_{x \to 0} \frac{\left(\int_{0}^{x}\sqrt{x-t}e^t dt\right)'}{(\sqrt{x^3})'} = \lim_{x \to 0} \frac{e^x\int_{0}^{x}\sqrt{u}e^{-u}du + \sqrt{x}}{\frac{3}{2}x^{\frac{1}{2}}} \\ &= \lim_{x \to 0} \frac{e^x\int_{0}^{x}\sqrt{u}e^{-u}du}{\frac{3}{2}x^{\frac{1}{2}}} + \frac{2}{3} \\ &= \lim_{x \to 0} \frac{\int_{0}^{x}\sqrt{u}e^{-u}du}{\frac{3}{2}x^{\frac{1}{2}}} + \frac{2}{3} \\ &\xlongequal{\text{洛必达}} \lim_{x \to 0} \frac{\sqrt{x}e^{-x}}{\frac{3}{2} \cdot \frac{1}{2}x^{-\frac{1}{2}}} + \frac{2}{3} = \frac{2}{3} \end{aligned} 解:①:(∫0xx−tetdt)′u=x−t(∫x0uex−ud(x−u))′=(∫0xuex−udu)′=(ex∫0xue−udu)′=ex∫0xue−udu+ex⋅xe−x=ex∫0xue−udu+x原式洛必达x→0lim(x3)′(∫0xx−tetdt)′=x→0lim23x21ex∫0xue−udu+x=x→0lim23x21ex∫0xue−udu+32=x→0lim23x21∫0xue−udu+32洛必达x→0lim23⋅21x−21xe−x+32=32
洛必达前一定要先化简:①非零因子直接代入②零因子直接替换 \begin{aligned} &\text{洛必达前一定要先化简:} \\ &① \text{非零因子直接代入} \\ &② \text{零因子直接替换} \end{aligned} 洛必达前一定要先化简:①非零因子直接代入②零因子直接替换
法2:∫0xx−tetdt=u=x−tex∫0xue−udulimx→0ex∫0xue−udux32=limx→0∫0xue−udux32=洛必达limx→0xe−x32x12=23 \begin{aligned} &\text{法2:}\int_{0}^{x}\sqrt{x-t}e^t dt \xlongequal{u=x-t} e^x\int_{0}^{x}\sqrt{u}e^{-u}du \\ &\lim_{x \to 0} \frac{e^x\int_{0}^{x}\sqrt{u}e^{-u}du}{x^{\frac{3}{2}}} = \lim_{x \to 0} \frac{\int_{0}^{x}\sqrt{u}e^{-u}du}{x^{\frac{3}{2}}} \\ &\xlongequal{\text{洛必达}} \lim_{x \to 0} \frac{\sqrt{x}e^{-x}}{\frac{3}{2}x^{\frac{1}{2}}} = \frac{2}{3} \end{aligned} 法2:∫0xx−tetdtu=x−tex∫0xue−udux→0limx23ex∫0xue−udu=x→0limx23∫0xue−udu洛必达x→0lim23x21xe−x=32
法3:limx→0∫0xx−tetdtx32=limx→0∫0xx−tdtx32=limx→0−23(x−t)32∣0xx32=limx→023x32x32=23 \begin{aligned} &\text{法3:}\lim_{x \to 0} \frac{\int_{0}^{x}\sqrt{x-t}e^t dt}{x^{\frac{3}{2}}} = \lim_{x \to 0} \frac{\int_{0}^{x}\sqrt{x-t}dt}{x^{\frac{3}{2}}} \\ &= \lim_{x \to 0} \frac{-\frac{2}{3}(x-t)^{\frac{3}{2}}\big|_{0}^{x}}{x^{\frac{3}{2}}} = \lim_{x \to 0} \frac{\frac{2}{3}x^{\frac{3}{2}}}{x^{\frac{3}{2}}} = \frac{2}{3} \end{aligned} 法3:x→0limx23∫0xx−tetdt=x→0limx23∫0xx−tdt=x→0limx23−32(x−t)230x=x→0limx2332x23=32
【小结】极限式中如果出现变限积分,基本的思路是运用洛必达法则进行计算,计算时注意积分号下的x的处理方式:1.如果积分变限函数积分号下出现关于x的函数u(x),类似于本题,则可以将u(x)移至积分号外,再进行求导,即∫axu(x)f(t)dt=u(x)∫axf(t)dt,故(∫axu(x)f(t)dt)′=u′(x)∫axf(t)dt+u(x)f(x).2.如果x出现在积分号下被积函数的自变量中,则可以先进行换元, 再进行求导, 即形如∫axf(u(x,t))dt的积分变限函数, 令u=u(x,t)进行换元. \begin{aligned} &\text{【小结】极限式中如果出现变限积分,基本的思路是运用洛必达法则进行计算,计算时} \\ &\text{注意积分号下的}x\text{的处理方式:} \\ &1.\text{如果积分变限函数积分号下出现关于}x\text{的函数}u(x),\text{类似于本题,则可以将}u(x)\text{移至积} \\ &\text{分号外,再进行求导,即}\int_{a}^{x} u(x)f(t)dt = u(x)\int_{a}^{x} f(t)dt,\text{故} \\ &\quad \left(\int_{a}^{x} u(x)f(t)dt\right)' = u'(x)\int_{a}^{x} f(t)dt + u(x)f(x). \\ & \\ &2.\text{如果}x\text{出现在积分号下被积函数的自变量中,则可以先进行换元, 再进行求导, 即形如} \\ &\quad \int_{a}^{x} f(u(x,t))dt \text{的积分变限函数, 令}u = u(x,t)\text{进行换元.} \end{aligned} 【小结】极限式中如果出现变限积分,基本的思路是运用洛必达法则进行计算,计算时注意积分号下的x的处理方式:1.如果积分变限函数积分号下出现关于x的函数u(x),类似于本题,则可以将u(x)移至积分号外,再进行求导,即∫axu(x)f(t)dt=u(x)∫axf(t)dt,故(∫axu(x)f(t)dt)′=u′(x)∫axf(t)dt+u(x)f(x).2.如果x出现在积分号下被积函数的自变量中,则可以先进行换元, 再进行求导, 即形如∫axf(u(x,t))dt的积分变限函数, 令u=u(x,t)进行换元.
![![[Pasted image 20251130051841.png]]](https://i-blog.csdnimg.cn/direct/509fa7b043af4b6b9d816f27e7343c27.png)
解:原式=limx→+∞∫1x(t2(e1t−1)−t)dtx=洛必达limx→+∞x2(e1x−1)−x1法1:令t=1x, limt→0+et−1−tt2=12法2:=limx→+∞x2(1+1x+12⋅1x2+o(1x2)−1)−x=12 \begin{aligned} &\text{解:原式} = \lim_{x \to +\infty} \frac{\int_{1}^{x}\left(t^2\left(e^{\frac{1}{t}} - 1\right) - t\right)dt}{x} \\ &\xlongequal{\text{洛必达}} \lim_{x \to +\infty} \frac{x^2\left(e^{\frac{1}{x}} - 1\right) - x}{1} \\ &\text{法1:令}t = \frac{1}{x},\ \lim_{t \to 0^+} \frac{e^t - 1 - t}{t^2} = \frac{1}{2} \\ &法2:= \lim_{x \to +\infty} x^2\left(1 + \frac{1}{x} + \frac{1}{2}\cdot\frac{1}{x^2} + o\left(\frac{1}{x^2}\right) - 1\right) - x = \frac{1}{2} \end{aligned} 解:原式=x→+∞limx∫1x(t2(et1−1)−t)dt洛必达x→+∞lim1x2(ex1−1)−x法1:令t=x1, t→0+limt2et−1−t=21法2:=x→+∞limx2(1+x1+21⋅x21+o(x21)−1)−x=21
【小结】(1)对于∞∞型未定式,运用洛必达法则时,只需要验证分母的极限为无穷,就可以进行计算;(2)对于∞−∞型未定式,如果没有分母,则往往可以通过做变量代换制造出分母再通分进行计算,最常用的变量代换方法是令x=1t。 \begin{aligned} &\text{【小结】(1)对于}\frac{\infty}{\infty}\text{型未定式,运用洛必达法则时,只需要验证分母的极限为无穷,就} \\ &\text{可以进行计算;} \\ & \\ &(2)\text{对于}\infty - \infty\text{型未定式,如果没有分母,则往往可以通过做变量代换制造出分母再通} \\ &\text{分进行计算,最常用的变量代换方法是令}x = \frac{1}{t}。 \end{aligned} 【小结】(1)对于∞∞型未定式,运用洛必达法则时,只需要验证分母的极限为无穷,就可以进行计算;(2)对于∞−∞型未定式,如果没有分母,则往往可以通过做变量代换制造出分母再通分进行计算,最常用的变量代换方法是令x=t1。
![![[Pasted image 20251130061145.png]]](https://i-blog.csdnimg.cn/direct/b402f79b7f36462689354c451209fdf0.png)
解:limx→+∞x(1(x+1)x−e−1)=limx→+∞x(e−xln(1+1x)−e−1)=e−1limx→+∞x(e1−xln(1+1x)−1)=e−1limx→+∞x⋅(1−xln(1+1x))=t=1xe−1limt→0+1−ln(1+t)tt=e−1limt→0+t−ln(1+t)t2=e−1⋅12=12e \begin{aligned} &\text{解:}\lim_{x \to +\infty} x\left( \frac{1}{(x+1)^x} - e^{-1} \right) \\ &= \lim_{x \to +\infty} x\left( e^{-x\ln(1+\frac{1}{x})} - e^{-1} \right) \\ &= e^{-1}\lim_{x \to +\infty} x\left( e^{1 - x\ln(1+\frac{1}{x})} - 1 \right) \\ &= e^{-1}\lim_{x \to +\infty} x \cdot \left( 1 - x\ln(1+\frac{1}{x}) \right) \\ &\xlongequal{t=\frac{1}{x}} e^{-1}\lim_{t \to 0^+} \frac{1 - \frac{\ln(1+t)}{t}}{t} = e^{-1}\lim_{t \to 0^+} \frac{t - \ln(1+t)}{t^2} \\ &= e^{-1}\cdot\frac{1}{2} = \frac{1}{2e} \end{aligned} 解:x→+∞limx((x+1)x1−e−1)=x→+∞limx(e−xln(1+x1)−e−1)=e−1x→+∞limx(e1−xln(1+x1)−1)=e−1x→+∞limx⋅(1−xln(1+x1))t=x1e−1t→0+limt1−tln(1+t)=e−1t→0+limt2t−ln(1+t)=e−1⋅21=2e1
【小结】如果极限式的一部分为幂指函数,则无论幂指函数是什么类型的,都需要用对数恒等式变形。 \begin{aligned} &\text{【小结】如果极限式的一部分为幂指函数,则无论幂指函数是什么类型的,都需要用对数} \\ &\text{恒等式变形。} \end{aligned} 【小结】如果极限式的一部分为幂指函数,则无论幂指函数是什么类型的,都需要用对数恒等式变形。
![![[Pasted image 20251130062534.png]]](https://i-blog.csdnimg.cn/direct/77848c1058b04deaa05ed4780e32b8b4.png)
limx→0+a⋅arctan1x+(1+x)1x=π2a+elimx→0−a⋅arctan1x+(1−x)1x=−π2a+e−1由极限存在,左右极限相等:π2a+e=−π2a+e−1 ⟹ a=1π(e−1−e) \begin{aligned} &\lim_{x \to 0^+} a \cdot \arctan\frac{1}{x} + (1+x)^{\frac{1}{x}} = \frac{\pi}{2}a + e \\ &\lim_{x \to 0^-} a \cdot \arctan\frac{1}{x} + (1-x)^{\frac{1}{x}} = -\frac{\pi}{2}a + e^{-1} \\ &\text{由极限存在,左右极限相等:} \\ &\frac{\pi}{2}a + e = -\frac{\pi}{2}a + e^{-1} \implies a = \frac{1}{\pi}(e^{-1} - e) \end{aligned} x→0+lima⋅arctanx1+(1+x)x1=2πa+ex→0−lima⋅arctanx1+(1−x)x1=−2πa+e−1由极限存在,左右极限相等:2πa+e=−2πa+e−1⟹a=π1(e−1−e)
【小结】需要分左右求极限的情况:(总结)一是函数本身是分段的(包括隐式的分段函数,如绝对值、最大值和最小值、取整等);二是出现e∞和arctan∞(这里的无穷均要求不能确定正负)。 \begin{aligned} &\text{【小结】需要分左右求极限的情况:(总结)} \\ &一\text{是函数本身是分段的(包括隐式的分段函数,如绝对值、最大值和最小值、取整等);} \\ &二\text{是出现}e^{\infty}\text{和}\arctan \infty\text{(这里的无穷均要求不能确定正负)。} \end{aligned} 【小结】需要分左右求极限的情况:(总结)一是函数本身是分段的(包括隐式的分段函数,如绝对值、最大值和最小值、取整等);二是出现e∞和arctan∞(这里的无穷均要求不能确定正负)。
当a>1时:a+∞=+∞, a−∞=0当0<a<1时:a+∞=0, a−∞=+∞ \begin{aligned} &\text{当}a > 1\text{时:}a^{+\infty} = +\infty,\ a^{-\infty} = 0 \\ &\text{当}0 < a < 1\text{时:}a^{+\infty} = 0,\ a^{-\infty} = +\infty \end{aligned} 当a>1时:a+∞=+∞, a−∞=0当0<a<1时:a+∞=0, a−∞=+∞
2万+

被折叠的 条评论
为什么被折叠?



