✅作者简介:热爱科研的Matlab仿真开发者,擅长数据处理、建模仿真、程序设计、完整代码获取、论文复现及科研仿真。
🍎 往期回顾关注个人主页:Matlab科研工作室
🍊个人信条:格物致知,完整Matlab代码及仿真咨询内容私信。
🔥 内容介绍
在地震工程领域,准确预测结构在地震作用下的响应需求(如最大位移、加速度、内力),是实现结构抗震设计、风险评估与损伤控制的核心前提。而非弹性单自由度(Single-Degree-of-Freedom, SDOF)结构作为建筑、桥梁等复杂结构的简化模型(可表征结构的主要振动模式),其地震需求分析一直是研究重点。传统的概率地震需求模型(Probabilistic Seismic Demand Model, PSDM)多依赖于大量非线性动力时程分析(Nonlinear Dynamic Time-History Analysis, NDTHA),虽精度较高,但存在 “计算成本高、效率低” 的痛点 —— 单次 NDTHA 需消耗数分钟至数小时,难以满足大规模参数分析或实时风险评估的需求。
而基于高斯过程回归(Gaussian Process Regression, GPR)的代理 PSDM,通过 “数据驱动” 的代理模型替代传统 NDTHA,在保证预测精度的同时,将计算效率提升数个数量级,为非弹性 SDOF 结构的地震需求分析提供了高效解决方案。本文将从模型原理、构建流程、性能验证到工程应用,全面拆解这一技术的核心价值。
一、核心概念解析:为什么需要 “代理 PSDM”?
要理解 GPR 代理 PSDM 的意义,需先明确三个关键概念的内在逻辑:
1. 非弹性 SDOF 结构:复杂结构的 “简化代表”
现实中的建筑、桥梁等结构是多自由度系统,但在地震分析中,常通过 “振型分解” 将其简化为多个 SDOF 结构,每个 SDOF 结构对应一个主振型。其中,非弹性 SDOF 结构考虑了材料的非线性(如混凝土开裂、钢材屈服),能真实反映地震作用下结构进入非弹性阶段的响应(如塑性变形、刚度退化),是评估结构抗震性能的基础模型。
例如,一栋 10 层框架结构,其第一阶振型(主要振动模式)可简化为一个非弹性 SDOF 结构,其等效刚度、等效质量与等效阻尼,对应原结构的整体抗震特性。
2. 概率地震需求模型(PSDM):从 “确定性” 到 “概率性” 的跨越
传统地震需求分析多为 “确定性”—— 给定一组地震波,计算结构的单一响应值。但地震具有强烈的随机性(地震强度、频谱特性、持时均不确定),因此需要PSDM量化这种随机性:通过建立 “地震强度参数(如峰值地面加速度 PGA、谱加速度 Sa)” 与 “结构需求参数(如最大层间位移角 θmax、最大塑性变形 δp)” 之间的概率关系,输出不同地震强度下结构需求的概率分布(如均值、标准差、分位数)。
PSDM 的核心作用是:为结构抗震设计提供 “风险量化依据”—— 例如,在 PGA=0.3g 的地震作用下,结构最大位移超过限值的概率为 5%,从而指导工程师制定更合理的抗震策略。
3. 代理模型:解决传统 PSDM 的 “效率痛点”
传统 PSDM 的构建依赖于大量 NDTHA 计算:
- 步骤 1:选取数百组地震波(覆盖不同强度、频谱特性);
- 步骤 2:对非弹性 SDOF 结构进行每组地震波的 NDTHA,得到对应的结构需求;
- 步骤 3:基于 “地震强度 - 结构需求” 数据,拟合概率模型(如对数线性模型)。
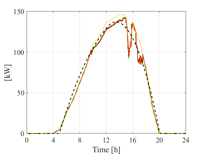
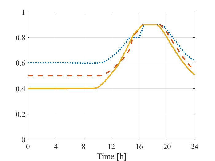
⛳️ 运行结果











📣 部分代码
P_real(ii,:) = realProfiles.PV(ii).YL(:)'.*vopf(pvnodes(ii),:).^2 + realProfiles.PV(ii).I(:)'.*vopf(pvnodes(ii),:) + realProfiles.PV(ii).P(:)';
end
for jj = 1:m
P_real(p+jj,:) = realProfiles.L(jj).YL(:)'.*vopf(loadnodes(jj),:).^2 + realProfiles.L(jj).I(:)'.*vopf(loadnodes(jj),:) + realProfiles.L(jj).P(:)';
end
%%
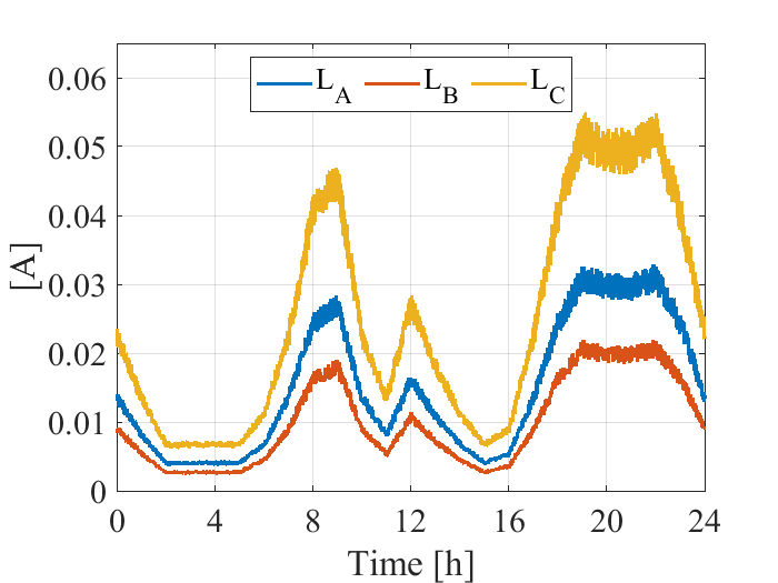
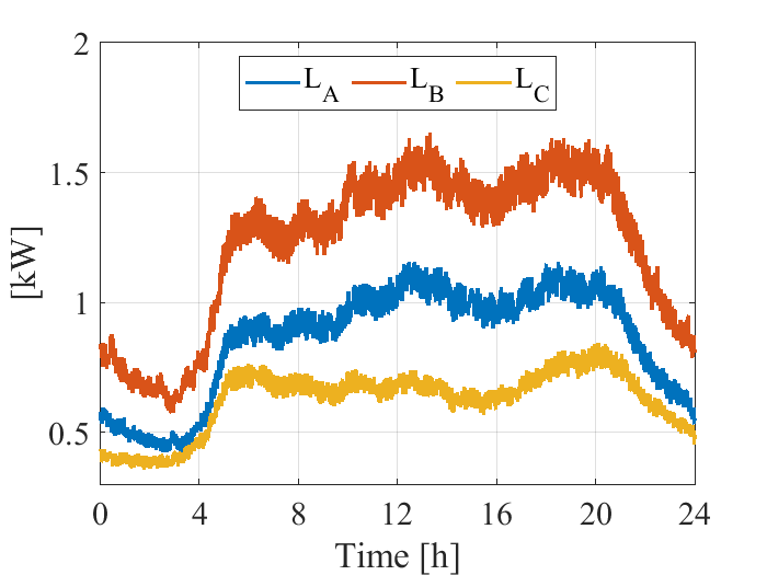
figure
plot((t_start:t_start+Tsim-1)/60,realProfiles.L(1).I, 'linewidth',2)
hold on
plot((t_start:t_start+Tsim-1)/60,realProfiles.L(4).I, 'linewidth',2)
hold on
plot((t_start:t_start+Tsim-1)/60,realProfiles.L(7).I, 'linewidth',2)
grid
🔗 参考文献
[1] 杨涛.脉冲-结构参数耦合作用下近断层延性桥墩地震响应规律及数学模型研究[J].[2025-09-03].
[2] 王华忠,冯波,刘少勇,等.叠前地震数据特征波场分解、偏移成像与层析反演[J].地球物理学报, 2015, 58(6):11.DOI:CNKI:SUN:DQWX.0.2015-06-017.
[3] 吴永国,贺振华,黄德济.基于惠更斯原理的波动方程共炮点道集地震正演[C]//中国地球物理学会年会.2006.
🎈 部分理论引用网络文献,若有侵权联系博主删除
👇 关注我领取海量matlab电子书和数学建模资料
🏆团队擅长辅导定制多种科研领域MATLAB仿真,助力科研梦:
🌟 各类智能优化算法改进及应用
生产调度、经济调度、装配线调度、充电优化、车间调度、发车优化、水库调度、三维装箱、物流选址、货位优化、公交排班优化、充电桩布局优化、车间布局优化、集装箱船配载优化、水泵组合优化、解医疗资源分配优化、设施布局优化、可视域基站和无人机选址优化、背包问题、 风电场布局、时隙分配优化、 最佳分布式发电单元分配、多阶段管道维修、 工厂-中心-需求点三级选址问题、 应急生活物质配送中心选址、 基站选址、 道路灯柱布置、 枢纽节点部署、 输电线路台风监测装置、 集装箱调度、 机组优化、 投资优化组合、云服务器组合优化、 天线线性阵列分布优化、CVRP问题、VRPPD问题、多中心VRP问题、多层网络的VRP问题、多中心多车型的VRP问题、 动态VRP问题、双层车辆路径规划(2E-VRP)、充电车辆路径规划(EVRP)、油电混合车辆路径规划、混合流水车间问题、 订单拆分调度问题、 公交车的调度排班优化问题、航班摆渡车辆调度问题、选址路径规划问题、港口调度、港口岸桥调度、停机位分配、机场航班调度、泄漏源定位、冷链、时间窗、多车场等、选址优化、港口岸桥调度优化、交通阻抗、重分配、停机位分配、机场航班调度、通信上传下载分配优化
🌟 机器学习和深度学习时序、回归、分类、聚类和降维
2.1 bp时序、回归预测和分类
2.2 ENS声神经网络时序、回归预测和分类
2.3 SVM/CNN-SVM/LSSVM/RVM支持向量机系列时序、回归预测和分类
2.4 CNN|TCN|GCN卷积神经网络系列时序、回归预测和分类
2.5 ELM/KELM/RELM/DELM极限学习机系列时序、回归预测和分类
2.6 GRU/Bi-GRU/CNN-GRU/CNN-BiGRU门控神经网络时序、回归预测和分类
2.7 ELMAN递归神经网络时序、回归\预测和分类
2.8 LSTM/BiLSTM/CNN-LSTM/CNN-BiLSTM/长短记忆神经网络系列时序、回归预测和分类
2.9 RBF径向基神经网络时序、回归预测和分类
2.10 DBN深度置信网络时序、回归预测和分类
2.11 FNN模糊神经网络时序、回归预测
2.12 RF随机森林时序、回归预测和分类
2.13 BLS宽度学习时序、回归预测和分类
2.14 PNN脉冲神经网络分类
2.15 模糊小波神经网络预测和分类
2.16 时序、回归预测和分类
2.17 时序、回归预测预测和分类
2.18 XGBOOST集成学习时序、回归预测预测和分类
2.19 Transform各类组合时序、回归预测预测和分类
方向涵盖风电预测、光伏预测、电池寿命预测、辐射源识别、交通流预测、负荷预测、股价预测、PM2.5浓度预测、电池健康状态预测、用电量预测、水体光学参数反演、NLOS信号识别、地铁停车精准预测、变压器故障诊断
🌟图像处理方面
图像识别、图像分割、图像检测、图像隐藏、图像配准、图像拼接、图像融合、图像增强、图像压缩感知
🌟 路径规划方面
旅行商问题(TSP)、车辆路径问题(VRP、MVRP、CVRP、VRPTW等)、无人机三维路径规划、无人机协同、无人机编队、机器人路径规划、栅格地图路径规划、多式联运运输问题、 充电车辆路径规划(EVRP)、 双层车辆路径规划(2E-VRP)、 油电混合车辆路径规划、 船舶航迹规划、 全路径规划规划、 仓储巡逻、公交车时间调度、水库调度优化、多式联运优化
🌟 无人机应用方面
无人机路径规划、无人机控制、无人机编队、无人机协同、无人机任务分配、无人机安全通信轨迹在线优化、车辆协同无人机路径规划、
🌟 通信方面
传感器部署优化、通信协议优化、路由优化、目标定位优化、Dv-Hop定位优化、Leach协议优化、WSN覆盖优化、组播优化、RSSI定位优化、水声通信、通信上传下载分配
🌟 信号处理方面
信号识别、信号加密、信号去噪、信号增强、雷达信号处理、信号水印嵌入提取、肌电信号、脑电信号、信号配时优化、心电信号、DOA估计、编码译码、变分模态分解、管道泄漏、滤波器、数字信号处理+传输+分析+去噪、数字信号调制、误码率、信号估计、DTMF、信号检测
🌟电力系统方面
微电网优化、无功优化、配电网重构、储能配置、有序充电、MPPT优化、家庭用电、电/冷/热负荷预测、电力设备故障诊断、电池管理系统(BMS)SOC/SOH估算(粒子滤波/卡尔曼滤波)、 多目标优化在电力系统调度中的应用、光伏MPPT控制算法改进(扰动观察法/电导增量法)、电动汽车充放电优化、微电网日前日内优化、储能优化、家庭用电优化、供应链优化
🌟 元胞自动机方面
交通流 人群疏散 病毒扩散 晶体生长 金属腐蚀
🌟 雷达方面
卡尔曼滤波跟踪、航迹关联、航迹融合、SOC估计、阵列优化、NLOS识别
🌟 车间调度
零等待流水车间调度问题NWFSP 、 置换流水车间调度问题PFSP、 混合流水车间调度问题HFSP 、零空闲流水车间调度问题NIFSP、分布式置换流水车间调度问题 DPFSP、阻塞流水车间调度问题BFSP
👇
87

被折叠的 条评论
为什么被折叠?



