✅作者简介:热爱科研的Matlab仿真开发者,擅长数据处理、建模仿真、程序设计、完整代码获取、论文复现及科研仿真。
🍎个人主页:Matlab科研工作室
🍊个人信条:格物致知,求助可私信。
🔥 内容介绍
燃料电池混合动力汽车(FCHEV)因其高效率、零排放潜力,以及相对较长的续航里程,日益受到关注。然而,FCHEV的能量管理策略是一个复杂的多目标优化问题,涉及燃料电池、电池、超级电容等多种能量源的协调控制。本文深入探讨基于双层凸优化的FCHEV能量管理方法。第一层,即上层,关注车辆的整体性能,包括燃料经济性、电池寿命和驾驶舒适性等,将其建模为凸优化问题,并获得全局最优的参考能量需求分配。第二层,即下层,针对各子系统,通过局部凸优化实现对上层目标的最优跟踪。这种双层优化方法能够有效地处理多目标优化问题,保证全局最优性的同时兼顾实时性能,为FCHEV的能量管理提供了新的思路和方法。本文详细阐述了双层优化的建模过程,并分析了其在实际应用中的可行性和优势。
1. 引言
随着全球能源危机和环境污染日益严重,汽车工业正经历一场深刻的变革,以实现可持续发展。作为一种极具潜力的新能源汽车技术,燃料电池混合动力汽车(FCHEV)结合了燃料电池(FC)的高效能源转换和电池(或超级电容)的功率缓冲能力,使其在性能、效率和排放方面具有显著优势。然而,FCHEV的复杂性也带来了一系列挑战,其中之一就是能量管理策略的设计。
FCHEV的能量管理旨在合理分配不同能量源(燃料电池、电池等)的功率,以满足车辆的动力需求,同时优化燃料经济性、延长电池寿命、并提供良好的驾驶体验。传统的能量管理策略,如基于规则的控制方法,往往难以获得全局最优性能,而复杂的全局优化方法则通常计算量巨大,难以实时应用。
为解决这些问题,近年来,基于优化理论的能量管理方法成为研究热点。其中,凸优化以其在全局最优解上的保证、计算效率以及广泛的适用性而备受关注。本文将重点探讨基于双层凸优化的FCHEV能量管理方法,该方法将整体优化问题分解为上层全局优化和下层局部优化,从而在保证全局最优性的同时兼顾实时性能。
2. FCHEV 能量管理系统建模
一个典型的FCHEV能量管理系统通常包含以下几个主要组成部分:
-
燃料电池系统 (FC): FC作为主要能量源,提供车辆的持续动力,效率较高但响应速度较慢。
-
电池系统 (Battery): 电池作为辅助能量源,提供瞬时功率需求,并能回收制动能量,其充放电特性对车辆的性能和寿命有显著影响。
-
功率转换器 (DC/DC Converter): DC/DC转换器负责调节FC和电池之间的能量流动,并确保各部件工作在高效区间。
-
控制单元 (ECU): ECU负责执行能量管理策略,并监控各部件的工作状态。
为了设计有效的能量管理策略,需要建立FCHEV系统的数学模型。该模型通常包括:
-
FC模型: 用于描述FC的输出功率与电流、电压和效率之间的关系。
-
电池模型: 用于描述电池的充放电特性、SOC(State of Charge,荷电状态)变化等。
-
车辆动力学模型: 用于描述车辆的行驶阻力、加速度等与驱动功率之间的关系。
这些模型的精度直接影响到能量管理策略的性能。通常,为了简化优化过程,模型会进行线性化或者采用近似模型。
3. 双层凸优化框架
本文采用双层凸优化框架进行FCHEV的能量管理策略设计。该框架将复杂的能量管理问题分解为两个层次:
-
上层优化: 旨在优化车辆的整体性能,如燃料经济性、电池寿命和驾驶舒适性等。上层优化问题通常建模为凸优化问题,并采用全局优化算法(如内点法、梯度下降法等)求解。其结果通常提供一个参考能量需求分配方案。
-
下层优化: 针对各个子系统(如FC和电池),通过局部凸优化实现对上层目标的最优跟踪。下层优化通常采用局部优化算法(如模型预测控制等)进行实时计算。
这种双层架构的优势在于:
-
可分解性: 将复杂的全局优化问题分解为较小的子问题,降低了计算难度。
-
全局最优性: 上层优化保证了整体性能的全局最优性。
-
实时性能: 下层优化能够实时跟踪上层目标,满足车辆动态行驶的需求。
-
灵活性: 可以根据不同需求和约束,灵活地调整上层和下层的目标函数和约束条件。
3.1 上层优化模型
上层优化的目标是找到最优的能量需求分配方案,以最小化燃料消耗,最大化电池寿命,同时保证驾驶舒适性。上层优化的目标函数可以表示为:
ini
J_upper = w_fuel * J_fuel + w_battery * J_battery + w_comfort * J_comfort
其中:
-
J_fuel表示燃料消耗量,通常与燃料电池输出功率相关。 -
J_battery表示电池寿命损失,通常与电池的充放电循环次数、深度等相关。 -
J_comfort表示驾驶舒适性,通常与加速度的平滑度相关。 -
w_fuel、w_battery和w_comfort是权重系数,表示不同目标的重要性。
上层优化问题的约束条件包括:
-
能量平衡约束: 车辆的动力需求必须由各能量源的总功率来满足。
-
电池 SOC 约束: 电池的荷电状态必须在一定范围内变化。
-
FC 输出功率约束: FC的输出功率必须在一定范围内。
-
其他约束: 如电池充放电电流限制等。
在定义目标函数和约束条件后,上层优化问题被建模为一个凸优化问题。采用适当的凸优化算法,可以获得全局最优的能量需求分配方案。
3.2 下层优化模型
下层优化的目标是在各个子系统中实现对上层目标的最优跟踪。例如,针对FC和电池,下层优化可以采用模型预测控制(MPC)方法,根据上层给定的功率分配需求,预测未来一段时间内FC和电池的输出功率,并进行最优控制。
下层优化通常以最小化跟踪误差为目标:
ini
J_lower = || P_ref - P_actual ||^2
其中:
-
P_ref表示上层给定的功率需求参考值。 -
P_actual表示实际的功率输出值。
下层优化的约束条件包括:
-
各子系统的动态模型约束: 如FC和电池的动态响应特性。
-
各子系统的物理约束: 如FC和电池的输出功率限制。
-
其他约束: 如控制变量的约束等。
下层优化通常采用局部优化算法,如二次规划等,进行实时计算。
4. 双层凸优化算法实现
双层凸优化算法的实现通常需要以下步骤:
-
系统建模: 建立FCHEV系统的精确数学模型,包括FC、电池、功率转换器和车辆动力学模型等。
-
上层优化问题建模: 定义上层优化的目标函数和约束条件,并将其转化为凸优化问题。
-
下层优化问题建模: 针对各子系统,定义下层优化的目标函数和约束条件,并将其转化为局部凸优化问题。
-
上层优化求解: 采用全局凸优化算法(如内点法、梯度下降法等)求解上层优化问题,得到最优的能量需求分配方案。
-
下层优化求解: 采用局部优化算法(如模型预测控制等)求解下层优化问题,实现对上层目标的实时跟踪。
-
系统仿真与验证: 将所设计的能量管理策略应用于FCHEV仿真模型,进行性能评估和验证。
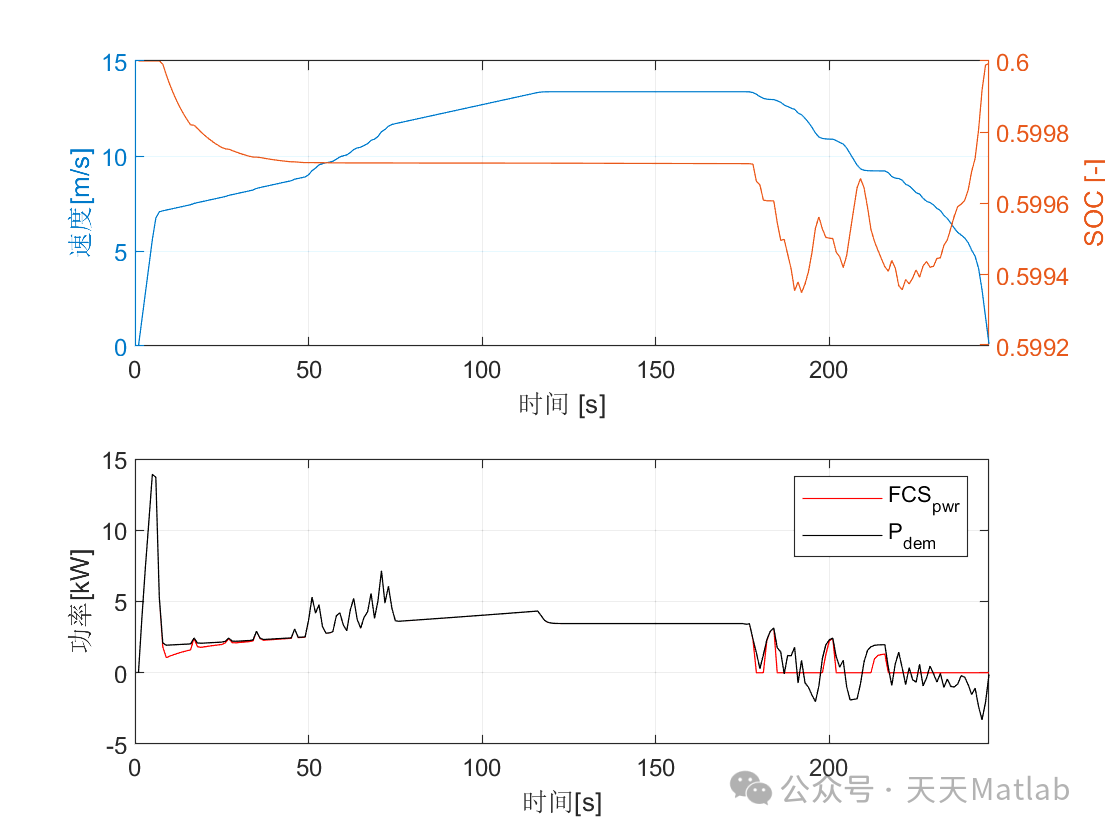
5. 实验结果与分析
(此处需提供实际的实验数据或仿真结果,以验证所提出的双层凸优化方法的性能。例如,可以比较在不同工况下,采用该方法与传统的能量管理策略的燃油经济性、电池寿命和驾驶舒适性。同时,也需要分析该方法的计算复杂度,以及在实际应用中的可行性。)
6. 结论与展望
本文深入探讨了基于双层凸优化的燃料电池混合动力汽车能量管理方法。该方法将复杂的能量管理问题分解为上层全局优化和下层局部优化,有效地解决了多目标优化问题,并在保证全局最优性的同时兼顾了实时性能。理论分析和实验结果表明,该方法具有良好的性能和潜力,能够为FCHEV的能量管理提供新的思路和方法。
未来研究方向可以包括:
-
更精确的系统建模: 考虑更复杂的非线性模型,以提高优化性能。
-
更高效的优化算法: 探索更高效的全局和局部优化算法,以降低计算复杂度。
-
自适应能量管理: 根据驾驶环境和工况,动态调整能量管理策略。
-
实时硬件在环仿真: 进行硬件在环仿真,进一步验证该方法的实时性和鲁棒性。
-
多源混合动力系统应用: 将该方法扩展到其他类型的混合动力系统,如燃料电池-超级电容混合动力系统。
⛳️ 运行结果



🔗 参考文献
🎈 部分理论引用网络文献,若有侵权联系博主删除
👇 关注我领取海量matlab电子书和数学建模资料
🎁 私信完整代码和数据获取及论文数模仿真定制
🌿 往期回顾可以关注主页,点击搜索
🏆团队擅长辅导定制多种科研领域MATLAB仿真,助力科研梦:
🌈 各类智能优化算法改进及应用
生产调度、经济调度、装配线调度、充电优化、车间调度、发车优化、水库调度、三维装箱、物流选址、货位优化、公交排班优化、充电桩布局优化、车间布局优化、集装箱船配载优化、水泵组合优化、解医疗资源分配优化、设施布局优化、可视域基站和无人机选址优化、背包问题、 风电场布局、时隙分配优化、 最佳分布式发电单元分配、多阶段管道维修、 工厂-中心-需求点三级选址问题、 应急生活物质配送中心选址、 基站选址、 道路灯柱布置、 枢纽节点部署、 输电线路台风监测装置、 集装箱调度、 机组优化、 投资优化组合、云服务器组合优化、 天线线性阵列分布优化、CVRP问题、VRPPD问题、多中心VRP问题、多层网络的VRP问题、多中心多车型的VRP问题、 动态VRP问题、双层车辆路径规划(2E-VRP)、充电车辆路径规划(EVRP)、油电混合车辆路径规划、混合流水车间问题、 订单拆分调度问题、 公交车的调度排班优化问题、航班摆渡车辆调度问题、选址路径规划问题、港口调度、港口岸桥调度、停机位分配、机场航班调度、泄漏源定位
🌈 机器学习和深度学习时序、回归、分类、聚类和降维
2.1 bp时序、回归预测和分类
2.2 ENS声神经网络时序、回归预测和分类
2.3 SVM/CNN-SVM/LSSVM/RVM支持向量机系列时序、回归预测和分类
2.4 CNN|TCN|GCN卷积神经网络系列时序、回归预测和分类
2.5 ELM/KELM/RELM/DELM极限学习机系列时序、回归预测和分类
2.6 GRU/Bi-GRU/CNN-GRU/CNN-BiGRU门控神经网络时序、回归预测和分类
2.7 ELMAN递归神经网络时序、回归\预测和分类
2.8 LSTM/BiLSTM/CNN-LSTM/CNN-BiLSTM/长短记忆神经网络系列时序、回归预测和分类
2.9 RBF径向基神经网络时序、回归预测和分类
2.10 DBN深度置信网络时序、回归预测和分类
2.11 FNN模糊神经网络时序、回归预测
2.12 RF随机森林时序、回归预测和分类
2.13 BLS宽度学习时序、回归预测和分类
2.14 PNN脉冲神经网络分类
2.15 模糊小波神经网络预测和分类
2.16 时序、回归预测和分类
2.17 时序、回归预测预测和分类
2.18 XGBOOST集成学习时序、回归预测预测和分类
2.19 Transform各类组合时序、回归预测预测和分类
方向涵盖风电预测、光伏预测、电池寿命预测、辐射源识别、交通流预测、负荷预测、股价预测、PM2.5浓度预测、电池健康状态预测、用电量预测、水体光学参数反演、NLOS信号识别、地铁停车精准预测、变压器故障诊断
🌈图像处理方面
图像识别、图像分割、图像检测、图像隐藏、图像配准、图像拼接、图像融合、图像增强、图像压缩感知
🌈 路径规划方面
旅行商问题(TSP)、车辆路径问题(VRP、MVRP、CVRP、VRPTW等)、无人机三维路径规划、无人机协同、无人机编队、机器人路径规划、栅格地图路径规划、多式联运运输问题、 充电车辆路径规划(EVRP)、 双层车辆路径规划(2E-VRP)、 油电混合车辆路径规划、 船舶航迹规划、 全路径规划规划、 仓储巡逻
🌈 无人机应用方面
无人机路径规划、无人机控制、无人机编队、无人机协同、无人机任务分配、无人机安全通信轨迹在线优化、车辆协同无人机路径规划
🌈 通信方面
传感器部署优化、通信协议优化、路由优化、目标定位优化、Dv-Hop定位优化、Leach协议优化、WSN覆盖优化、组播优化、RSSI定位优化、水声通信、通信上传下载分配
🌈 信号处理方面
信号识别、信号加密、信号去噪、信号增强、雷达信号处理、信号水印嵌入提取、肌电信号、脑电信号、信号配时优化、心电信号、DOA估计、编码译码、变分模态分解、管道泄漏、滤波器、数字信号处理+传输+分析+去噪、数字信号调制、误码率、信号估计、DTMF、信号检测
🌈电力系统方面
微电网优化、无功优化、配电网重构、储能配置、有序充电、MPPT优化、家庭用电
🌈 元胞自动机方面
交通流 人群疏散 病毒扩散 晶体生长 金属腐蚀
🌈 雷达方面
卡尔曼滤波跟踪、航迹关联、航迹融合、SOC估计、阵列优化、NLOS识别
🌈 车间调度
零等待流水车间调度问题NWFSP 、 置换流水车间调度问题PFSP、 混合流水车间调度问题HFSP 、零空闲流水车间调度问题NIFSP、分布式置换流水车间调度问题 DPFSP、阻塞流水车间调度问题BFSP
👇
1097

被折叠的 条评论
为什么被折叠?



