级联pwm整流器(级联H桥CHB)(单相交流220V-直流135*3整流)仿真,动稳态性能良好,0.5s切换不平衡负载,0.6s启动直流电压均衡控制,附带仿真介绍文档,详细讲述仿真搭建过程,并附带参考文献与原理出处,内容详实,适合电力电子入门仿真参考。
一、引言
在电力电子领域,级联PWM整流器(级联H桥CHB)因其出色的性能在各类应用中备受青睐。今天就来分享一下单相交流220V到直流135 * 3整流的仿真过程,这个仿真的动稳态性能都十分良好,还包含了0.5s切换不平衡负载,0.6s启动直流电压均衡控制等关键特性,非常适合电力电子入门者进行仿真学习。
二、仿真介绍
(一)原理出处
级联H桥(CHB)整流器是由多个H桥单元级联而成。每个H桥单元可以独立控制,通过合理的调制策略,可以实现高质量的电能转换。其基本原理来源于电力电子变流技术,通过对开关器件的通断控制,将交流电能转换为直流电能。参考文献方面,经典的《电力电子技术》王兆安版对基本原理有非常详细的阐述。
(二)仿真搭建过程
- 电源模块:首先创建一个单相交流电压源,设置其幅值为$220\sqrt{2}$V,频率为50Hz。在Matlab/Simulink中,可以直接调用“AC Voltage Source”模块,然后在参数设置中进行幅值和频率的调整。
% 这里简单示意如何设置交流电压源参数
% 假设已经创建了名为'ac_source'的交流电压源模块
set_param('ac_source', 'Amplitude', '220*sqrt(2)');
set_param('ac_source', 'Frequency', '50');
- H桥单元搭建:每个H桥单元由四个开关器件组成。以IGBT为例,在Simulink中使用“IGBT”模块搭建H桥结构。注意连接方式,确保电流路径正确。同时,为每个IGBT添加相应的驱动信号模块,如“Pulse Generator”,用于控制IGBT的通断。
% 假设搭建一个简单的H桥单元,连接四个IGBT模块
% 这里简单示意连接关系,实际需要在Simulink图形界面操作
% 定义IGBT模块名称
igbt1 = 'igbt1';
igbt2 = 'igbt2';
igbt3 = 'igbt3';
igbt4 = 'igbt4';
% 连接IGBT模块以形成H桥结构
% 具体连接逻辑需根据实际电路拓扑在Simulink中完成
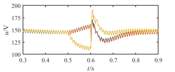
- 负载设置:在仿真中设置初始平衡负载,在0.5s时切换为不平衡负载。可以使用“Resistor”和“Inductor”模块组合成阻感负载。通过“Switch”模块来实现负载的切换,在0.5s时刻改变“Switch”模块的控制信号。
% 假设使用名为'switch_load'的开关模块控制负载切换
% 设置开关在0.5s切换
set_param('switch_load', 'Time of first switch', '0.5');
- 直流电压均衡控制:在0.6s启动直流电压均衡控制。这部分可以通过设计PI控制器来实现。采集每个H桥单元的直流侧电压,与参考电压进行比较,将误差信号输入到PI控制器,输出控制信号来调整H桥的调制比,从而实现直流电压均衡。
% 以简单的PI控制器设计为例
Kp = 0.5; % 比例系数
Ki = 0.1; % 积分系数
% 假设误差信号为error_signal,初始积分值为0
integral = 0;
% 计算PI控制器输出
p_term = Kp * error_signal;
integral = integral + error_signal * Ts; % Ts为采样时间
i_term = Ki * integral;
control_signal = p_term + i_term;
三、仿真结果
通过上述搭建,运行仿真可以看到,在整个过程中,整流器展现出良好的动稳态性能。在0.5s负载切换时,系统能够快速响应,直流侧电压虽有短暂波动但能迅速恢复稳定。0.6s启动直流电压均衡控制后,各H桥单元的直流侧电压逐渐趋于一致,证明了控制策略的有效性。
四、总结
本次分享的级联PWM整流器(CHB)单相220V - 3*135V直流整流仿真,详细讲述了从原理到搭建过程的每一步,还附带了相关参考文献。希望能为电力电子入门者在仿真学习上提供一个清晰的思路和参考。欢迎大家在评论区交流讨论,共同进步。




110

被折叠的 条评论
为什么被折叠?



