ceres_typetraits.hpp
这段代码主要定义了用于区分和映射向量类型和标量类型的工具。下面是详细总结:
命名空间和头文件保护:
使用预处理指令
#ifndef和#define定义头文件保护,防止重复包含。引入头文件
common.hpp。
模板函数和类型特征:
定义了两个模板函数
complete,用于检测类型 T 是否完整,并返回std::true_type或std::false_type。使用模板别名
IsSpecialized检测类型 T 是否特化。
区分可映射向量类型和标量类型的类型特征:
使用模板别名
IsMappable区分类型 T 是否可以映射到Eigen::Map。定义一个
constexpr布尔值IsMappableV,用于表示类型 T 是否可映射。
Mapper 模板结构体:
定义了一个模板结构体
Mapper,用于将标量或向量类型映射到指向数据的指针。Mapper结构体根据不同的条件进行特化,处理标量类型和可映射类型。对于标量类型,
Mapper直接返回标量引用。对于可映射类型,
Mapper使用Eigen::Map进行映射。
代码的实际应用:
该工具主要用于在
LieGroup库中,将不同的切向量类型(如标量或向量)映射到原始数据上,便于进行进一步的数学运算。
这段代码体现了模板编程和类型特征在现代 C++ 中的重要性,能够灵活处理不同类型的数据结构,保证代码的通用性和高效性。
#ifndef SOPHUS_CERES_TYPETRAITS_HPP#define SOPHUS_CERES_TYPETRAITS_HPP
#include "common.hpp"
namespace Sophus {
// 定义一个模板函数 complete,当传入的类型 T 存在并且可以取其大小时返回 std::true_type 类型template <class T, std::size_t = sizeof(T)>constexpr std::true_type complete(T*);// 定义另一个模板函数 complete,当传入的类型 T 不存在或无法取其大小时返回 std::false_type 类型constexpr std::false_type complete(...);
// 定义一个模板别名 IsSpecialized,用于检测类型 T 是否特化template <class T>using IsSpecialized = decltype(complete(std::declval<T*>()));
/// 用于区分可映射的向量类型和标量类型的类型特征////// 我们使用这个类来区分 LieGroup<T>::Tangent 中的 Sophus::Vector<Scalar, N> 和标量类型////// 主要用于将 LieGroup::Tangent 映射到原始数据,有两种选项:/// - LieGroup::Tangent 是 "scalar" (例如 SO2),则直接解引用指针/// - LieGroup::Tangent 是 Sophus::Vector<...>,则需要使用 Eigen::Map////// 特化 Eigen::internal::traits<T> 对于构造 Eigen::Map<T> 至关重要,因此我们使用该属性来区分这两种选项。/// 目前似乎没有选项可以仅使用 Eigen 的 "external" API 进行检查。template <class T>using IsMappable = IsSpecialized<Eigen::internal::traits<std::decay_t<T>>>;
// 定义一个 constexpr 布尔值 IsMappableV,用于表示类型 T 是否可映射template <class T>constexpr bool IsMappableV = IsMappable<T>::value;
/// 辅助模板结构体,用于将切向量(标量)映射到指向数据的指针template <typename T, typename E = void>struct Mapper { using Scalar = T; using Map = Scalar&; using ConstMap = const Scalar&;
// 定义 map 函数,将标量指针映射到标量引用 static Map map(Scalar* ptr) noexcept { return *ptr; } // 定义 map 函数,将 const 标量指针映射到 const 标量引用 static ConstMap map(const Scalar* ptr) noexcept { return *ptr; }};
// 特化的 Mapper 模板结构体,用于处理可映射类型template <typename T>struct Mapper<T, typename std::enable_if_t<IsMappableV<T>>> { using Scalar = typename T::Scalar; using Map = Eigen::Map<T>; using ConstMap = Eigen::Map<const T>;
// 定义 map 函数,将标量指针映射到 Eigen::Map<T> static Map map(Scalar* ptr) noexcept { return Map(ptr); } // 定义 map 函数,将 const 标量指针映射到 Eigen::Map<const T> static ConstMap map(const Scalar* ptr) noexcept { return ConstMap(ptr); }};
} // namespace Sophus
#endif这段代码定义了一组工具,用于支持在 Sophus 中处理模板类型和 Lie 群切向量的映射。它主要通过类型特性(type traits)和模板元编程为 Sophus 库中的 Lie 群实现提供了灵活性和扩展性。以下是总结:
功能和用途
类型特性检测:
提供一种机制来检查类型是否具有特定的内部特性(如 Eigen 的
internal::traits)。使用这些特性区分可映射的向量类型和标量类型。
数据映射(Mapping):
提供一个通用工具类
Mapper,用于将 Lie 群的切向量映射到原始数据指针。根据类型不同,
Mapper处理标量(如double)或向量(如Eigen::Vector)的映射,适配不同 Lie 群切向量的需求。
主要组件
1. 类型检查工具
IsSpecialized:
template <classT, std::size_t =sizeof(T)>constexpr std::true_typecomplete(T*);constexpr std::false_typecomplete(...);template <classT>using IsSpecialized =decltype(complete(std::declval<T*>()));利用
decltype和sizeof检测类型是否定义了Eigen::internal::traits。
检查一个类型是否为特定模板的特化类型。
实现方式:
IsMappable和IsMappableV:
用于判断一个类型是否可以映射(是否为 Eigen 向量类型)。
IsMappable<T>检测类型
T是否特化了Eigen::internal::traits。IsMappableV提供值版本,简化了调用。
2. 数据映射工具:Mapper
- 作用
:
根据类型的特性(标量或向量),提供不同的映射方式。
- 标量
:直接解引用指针。
- 向量
:通过
Eigen::Map实现映射。
- 实现细节
:
默认模板处理标量类型:
template <typename T,typename E =void>struct Mapper {using Scalar = T;using Map = Scalar&;using ConstMap =const Scalar&;static Mapmap(Scalar* ptr)noexcept{return *ptr; }static ConstMapmap(const Scalar* ptr)noexcept{return *ptr; } };对可映射向量类型(
IsMappableV<T> == true)的特化:template <typename T>structMapper<T,typename std::enable_if_t<IsMappableV<T>>> {using Scalar =typename T::Scalar;using Map = Eigen::Map<T>;using ConstMap = Eigen::Map<const T>;static Mapmap(Scalar* ptr)noexcept{returnMap(ptr); }static ConstMapmap(const Scalar* ptr)noexcept{returnConstMap(ptr); } };
应用场景
Lie 群切向量的数据映射:
适配 Lie 群中切向量的存储和操作。
例如,在优化中使用切向量进行参数更新时,可以直接通过
Mapper将指针映射为 Eigen 的Map类型。
类型区分:
在需要对标量和向量类型执行不同操作的场景中,
IsMappable提供了编译期的类型分类能力。
与 Eigen 和 Sophus 的集成:
通过检测
Eigen::internal::traits,实现对 Sophus 和 Eigen 类型的无缝支持。
主要优势
泛型支持:
通过模板和类型特性,支持任意标量类型或可映射向量类型。
高效映射:
使用
Eigen::Map避免了拷贝,实现了直接在原始数据上操作。
可扩展性:
提供了扩展 Lie 群类型和切向量映射的基础。
Sophus 和 Eigen 集成友好:
对 Eigen 的内部特性进行了深度利用,专门为
Eigen::Vector提供支持。
示例用法
- 标量类型(如
double):
double data =1.23;auto value = Sophus::Mapper<double>::map(&data);// 返回 data 的引用 - 向量类型(如
Eigen::Vector3d):
Eigen::Vector3ddata(1.0,2.0,3.0);auto map = Sophus::Mapper<Eigen::Vector3d>::map(data.data());// 返回 Eigen::Map
ceres_manifold.hpp
这段代码定义了一个模板化的 Manifold 类,它是基于 Ceres 优化库中的 ceres::Manifold,用于处理 Sophus 中的 Lie 群操作。以下是代码的总结:
背景
Lie 群广泛用于机器人学、计算机视觉和图形学中的运动表示。Sophus 是一个 C++ 库,用于表示和操作 Lie 群及其相关的数学对象。
功能
Manifold 类实现了 Ceres 的流形接口,允许在优化中使用 Sophus 的 Lie 群表示。Ceres 的流形接口为优化问题提供了自定义的加法、减法和相关的雅可比计算。
主要功能概述
模板化设计:
通过模板参数
LieGroup,支持不同维度或类型的 Lie 群(如SE(3)、SO(3)等)。LieGroup<double>定义了具体的 Lie 群实现,
Tangent是其对应的切空间类型。
核心接口实现:
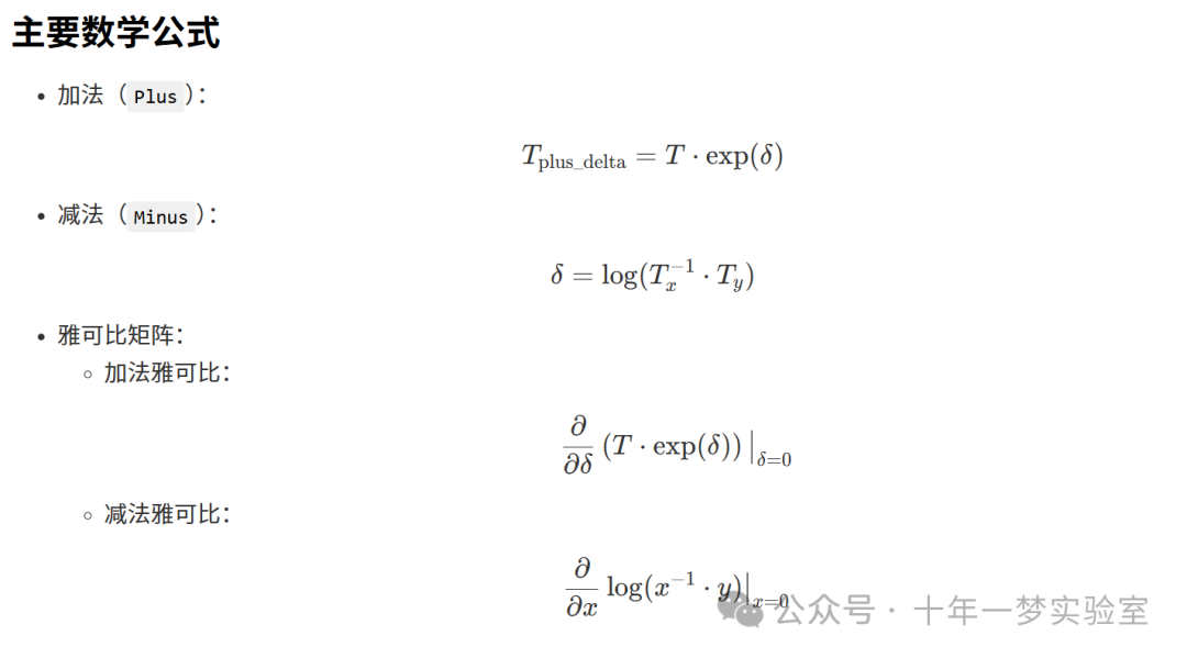
Plus: 定义 Lie 群上的“加法”操作(通过指数映射)。数学公式:
T_plus_delta = T * exp(delta)exp(delta)将切空间增量
delta映射到 Lie 群上。
PlusJacobian: 计算“加法”操作在零增量delta=0时的雅可比矩阵。数学公式:
Dx T * exp(x) | x=0
Minus: 定义 Lie 群上的“减法”操作(通过对数映射)。
数学公式:
y_minus_x = log(x.inverse() * y)将 Lie 群元素
x和y的差值映射到切空间。
MinusJacobian: 计算“减法”操作的雅可比矩阵。
数学公式:
Dx log(x.inverse() * y) | x=0
AmbientSize 和TangentSize: 分别返回 Lie 群参数维度和切空间维度。
矩阵映射:
使用 Eigen 提供的
Map和 Sophus 的Mapper,方便在 C++ 数组和 Eigen 对象之间切换。例如,
TangentConstMap和TangentMap直接映射到切空间。
扩展性:
通过模板参数和虚函数,支持各种 Lie 群的流形操作,可直接集成到 Ceres 优化问题中。
代码应用场景
用于非线性优化问题,其中变量位于 Lie 群(例如旋转
SO(3)或刚体变换SE(3))上。提供了一种无缝将 Sophus 和 Ceres 集成的方法,简化了 Lie 群相关问题的雅可比计算。
优点
- 模块化设计
:模板化和继承使得代码易于扩展到其他 Lie 群类型。
- 高效计算
:借助 Sophus 的预定义函数(如
exp、log、Dx_this_mul_exp_x_at_0),避免手动推导和实现雅可比。 - 优化友好
:符合 Ceres 的接口规范,能直接在 Ceres 中定义流形约束优化问题。

#pragma once
#include <ceres/manifold.h> // 包含 Ceres 库中的流形头文件#include <sophus/ceres_typetraits.hpp> // 包含 Sophus 库中的类型特征头文件
namespace Sophus {
/// 为 LieGroup 实现的模板化局部参数化(实现了 LieGroup::Dx_this_mul_exp_x_at_0() )template <template <typename, int = 0> class LieGroup>class Manifold : public ceres::Manifold { public: using LieGroupd = LieGroup<double>; // 使用 double 类型实例化 LieGroup 模板 using Tangent = typename LieGroupd::Tangent; // 定义切向量类型 using TangentMap = typename Sophus::Mapper<Tangent>::Map; // 定义切向量的映射类型 using TangentConstMap = typename Sophus::Mapper<Tangent>::ConstMap; // 定义常量切向量的映射类型 static int constexpr DoF = LieGroupd::DoF; // 定义自由度常量 static int constexpr num_parameters = LieGroupd::num_parameters; // 定义参数数量常量
/// LieGroup 在 Ceres 中的加操作 /// /// T * exp(x) /// bool Plus(double const* T_raw, double const* delta_raw, double* T_plus_delta_raw) const override { Eigen::Map<LieGroupd const> const T(T_raw); // 将原始数据映射为常量 LieGroupd TangentConstMap delta = Sophus::Mapper<Tangent>::map(delta_raw); // 将原始增量数据映射为常量切向量 Eigen::Map<LieGroupd> T_plus_delta(T_plus_delta_raw); // 将结果数据映射为 LieGroupd T_plus_delta = T * LieGroupd::exp(delta); // 计算 T * exp(delta) return true; }
/// LieGroup 在 Ceres 中的加操作的雅可比矩阵 /// /// Dx T * exp(x) 当 x=0 时 /// bool PlusJacobian(double const* T_raw, double* jacobian_raw) const override { Eigen::Map<LieGroupd const> T(T_raw); // 将原始数据映射为常量 LieGroupd Eigen::Map<Eigen::Matrix<double, num_parameters, DoF, DoF == 1 ? Eigen::ColMajor : Eigen::RowMajor>> jacobian(jacobian_raw); // 将雅可比矩阵数据映射为矩阵类型 jacobian = T.Dx_this_mul_exp_x_at_0(); // 计算雅可比矩阵 return true; }
bool Minus(double const* y_raw, double const* x_raw, double* y_minus_x_raw) const override { Eigen::Map<LieGroupd const> y(y_raw), x(x_raw); // 将原始数据映射为常量 LieGroupd TangentMap y_minus_x = Sophus::Mapper<Tangent>::map(y_minus_x_raw); // 将结果数据映射为切向量
y_minus_x = (x.inverse() * y).log(); // 计算 x 的逆与 y 的乘积的对数 return true; }
bool MinusJacobian(double const* x_raw, double* jacobian_raw) const override { Eigen::Map<LieGroupd const> x(x_raw); // 将原始数据映射为常量 LieGroupd Eigen::Map<Eigen::Matrix<double, DoF, num_parameters, Eigen::RowMajor>> jacobian(jacobian_raw); // 将雅可比矩阵数据映射为矩阵类型 jacobian = x.Dx_log_this_inv_by_x_at_this(); // 计算雅可比矩阵 return true; }
int AmbientSize() const override { return LieGroupd::num_parameters; } // 返回参数数量
int TangentSize() const override { return LieGroupd::DoF; } // 返回自由度数量};
} // namespace Sophus
244

被折叠的 条评论
为什么被折叠?



