✅作者简介:热爱科研的Matlab仿真开发者,擅长数据处理、建模仿真、程序设计、完整代码获取、论文复现及科研仿真。
🍎 往期回顾关注个人主页:Matlab科研工作室
🍊个人信条:格物致知,完整Matlab代码及仿真咨询内容私信。
🔥 内容介绍
软机器人凭借连续变形、高顺应性和环境适应性等特点,在医疗介入、搜救探测、人机交互等领域展现出巨大潜力。然而,其显著的非线性、非结构化变形和复杂动力学特性,使得传统基于模型的控制方法(如 PID、反馈线性化)难以实现高精度轨迹跟踪。Koopman 算子理论通过将非线性系统映射到线性空间,为软机器人的复杂动力学建模与控制提供了数据驱动的新途径,无需依赖精确的物理模型即可实现高效控制。
软机器人控制的核心挑战与 Koopman 理论的适配性
软机器人的动力学特性与控制难点
软机器人的动力学行为由材料非线性(如硅胶的超弹性)、结构耦合性(如连续体变形的分布式力传递)和环境交互复杂性(如与柔性物体的接触力)共同决定,主要控制挑战包括:
- 强非线性动力学:变形过程中,应力与应变的关系不符合胡克定律,且动力学方程包含高阶非线性项(如大变形导致的几何非线性),传统线性控制方法误差显著;
- 模型不确定性:材料参数(如杨氏模量)的批次差异、装配误差和环境扰动(如温度变化),导致理论模型与实际系统偏差较大;
- 状态感知困难:软机器人的连续体变形难以通过少数传感器完全表征,如软体机械臂的每个截面都存在独立的弯曲、拉伸状态,传统关节角度传感器无法覆盖全域状态;
- 控制输入耦合:驱动方式(如气压、绳驱动)的力传递存在耦合性,例如对软体臂某段充气会影响相邻段的变形,增加控制输入的协同难度。
Koopman 算子理论的技术优势
Koopman 算子理论是一种描述非线性系统演化的线性化工具,其核心思想是通过全局线性化将非线性系统的分析转化为线性代数问题,适配软机器人控制的优势体现在:
- 非线性系统的线性表征:无需推导复杂的动力学方程,通过数据驱动的方式构建非线性系统的 Koopman 线性模型,简化控制器设计;
- 全局近似能力:相比局部线性化方法(如雅可比线性化),Koopman 算子可在较大范围内捕捉系统的非线性特性,适配软机器人的大变形场景;
- 数据驱动建模:仅需输入 - 输出数据即可构建模型,避免了对软机器人材料属性、结构参数的精确测量,降低建模门槛;
- 状态扩展灵活性:通过引入非线性观测函数(如多项式、傅里叶基函数),可将低维可测状态扩展为高维线性空间的状态,解决状态感知不完整的问题。


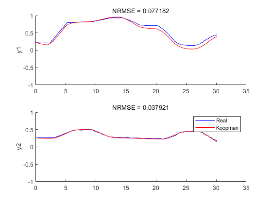
⛳️ 运行结果




📣 部分代码
🔗 参考文献
🎈 部分理论引用网络文献,若有侵权联系博主删除
👇 关注我领取海量matlab电子书和数学建模资料
🏆团队擅长辅导定制多种科研领域MATLAB仿真,助力科研梦:
🌟 各类智能优化算法改进及应用
生产调度、经济调度、装配线调度、充电优化、车间调度、发车优化、水库调度、三维装箱、物流选址、货位优化、公交排班优化、充电桩布局优化、车间布局优化、集装箱船配载优化、水泵组合优化、解医疗资源分配优化、设施布局优化、可视域基站和无人机选址优化、背包问题、 风电场布局、时隙分配优化、 最佳分布式发电单元分配、多阶段管道维修、 工厂-中心-需求点三级选址问题、 应急生活物质配送中心选址、 基站选址、 道路灯柱布置、 枢纽节点部署、 输电线路台风监测装置、 集装箱调度、 机组优化、 投资优化组合、云服务器组合优化、 天线线性阵列分布优化、CVRP问题、VRPPD问题、多中心VRP问题、多层网络的VRP问题、多中心多车型的VRP问题、 动态VRP问题、双层车辆路径规划(2E-VRP)、充电车辆路径规划(EVRP)、油电混合车辆路径规划、混合流水车间问题、 订单拆分调度问题、 公交车的调度排班优化问题、航班摆渡车辆调度问题、选址路径规划问题、港口调度、港口岸桥调度、停机位分配、机场航班调度、泄漏源定位
🌟 机器学习和深度学习时序、回归、分类、聚类和降维
2.1 bp时序、回归预测和分类
2.2 ENS声神经网络时序、回归预测和分类
2.3 SVM/CNN-SVM/LSSVM/RVM支持向量机系列时序、回归预测和分类
2.4 CNN|TCN|GCN卷积神经网络系列时序、回归预测和分类
2.5 ELM/KELM/RELM/DELM极限学习机系列时序、回归预测和分类
2.6 GRU/Bi-GRU/CNN-GRU/CNN-BiGRU门控神经网络时序、回归预测和分类
2.7 ELMAN递归神经网络时序、回归\预测和分类
2.8 LSTM/BiLSTM/CNN-LSTM/CNN-BiLSTM/长短记忆神经网络系列时序、回归预测和分类
2.9 RBF径向基神经网络时序、回归预测和分类
2.10 DBN深度置信网络时序、回归预测和分类
2.11 FNN模糊神经网络时序、回归预测
2.12 RF随机森林时序、回归预测和分类
2.13 BLS宽度学习时序、回归预测和分类
2.14 PNN脉冲神经网络分类
2.15 模糊小波神经网络预测和分类
2.16 时序、回归预测和分类
2.17 时序、回归预测预测和分类
2.18 XGBOOST集成学习时序、回归预测预测和分类
2.19 Transform各类组合时序、回归预测预测和分类
方向涵盖风电预测、光伏预测、电池寿命预测、辐射源识别、交通流预测、负荷预测、股价预测、PM2.5浓度预测、电池健康状态预测、用电量预测、水体光学参数反演、NLOS信号识别、地铁停车精准预测、变压器故障诊断
🌟图像处理方面
图像识别、图像分割、图像检测、图像隐藏、图像配准、图像拼接、图像融合、图像增强、图像压缩感知
🌟 路径规划方面
旅行商问题(TSP)、车辆路径问题(VRP、MVRP、CVRP、VRPTW等)、无人机三维路径规划、无人机协同、无人机编队、机器人路径规划、栅格地图路径规划、多式联运运输问题、 充电车辆路径规划(EVRP)、 双层车辆路径规划(2E-VRP)、 油电混合车辆路径规划、 船舶航迹规划、 全路径规划规划、 仓储巡逻
🌟 无人机应用方面
无人机路径规划、无人机控制、无人机编队、无人机协同、无人机任务分配、无人机安全通信轨迹在线优化、车辆协同无人机路径规划
🌟 通信方面
传感器部署优化、通信协议优化、路由优化、目标定位优化、Dv-Hop定位优化、Leach协议优化、WSN覆盖优化、组播优化、RSSI定位优化、水声通信、通信上传下载分配
🌟 信号处理方面
信号识别、信号加密、信号去噪、信号增强、雷达信号处理、信号水印嵌入提取、肌电信号、脑电信号、信号配时优化、心电信号、DOA估计、编码译码、变分模态分解、管道泄漏、滤波器、数字信号处理+传输+分析+去噪、数字信号调制、误码率、信号估计、DTMF、信号检测
🌟电力系统方面
微电网优化、无功优化、配电网重构、储能配置、有序充电、MPPT优化、家庭用电、电/冷/热负荷预测、电力设备故障诊断、电池管理系统(BMS)SOC/SOH估算(粒子滤波/卡尔曼滤波)、 多目标优化在电力系统调度中的应用、光伏MPPT控制算法改进(扰动观察法/电导增量法)
🌟 元胞自动机方面
交通流 人群疏散 病毒扩散 晶体生长 金属腐蚀
🌟 雷达方面
卡尔曼滤波跟踪、航迹关联、航迹融合、SOC估计、阵列优化、NLOS识别
🌟 车间调度
零等待流水车间调度问题NWFSP 、 置换流水车间调度问题PFSP、 混合流水车间调度问题HFSP 、零空闲流水车间调度问题NIFSP、分布式置换流水车间调度问题 DPFSP、阻塞流水车间调度问题BFSP
👇
1088

被折叠的 条评论
为什么被折叠?



