一元函数导数的计算
利用导数定义
基本求导公式
(xa)′=axa−1, (lnx)′=1x, (ex)′=ex, (sinx)′=cosx, (cosx)′=−sinx, (ax)′=axlna(tanx)′=sec2x, (cotx)′=−csc2x, (secx)′=secxtanx, (cscx)′=−cscxcotx(arctanx)′=11+x2, (arccot x)′=−11+x2, (arcsinx)′=11−x2, (arccosx)′=−11−x2 \begin{aligned} &(x^a)' = ax^{a-1},\ (\ln x)' = \frac{1}{x},\ (e^x)' = e^x,\ (\sin x)' = \cos x,\ (\cos x)' = -\sin x,\ (a^x)' = a^x \ln a \\ & \\ &(\tan x)' = \sec^2 x,\ (\cot x)' = -\csc^2 x,\ (\sec x)' = \sec x \tan x,\ (\csc x)' = -\csc x \cot x \\ & \\ &(\arctan x)' = \frac{1}{1+x^2},\ (\text{arccot}\, x)' = -\frac{1}{1+x^2},\ (\arcsin x)' = \frac{1}{\sqrt{1-x^2}},\ (\arccos x)' = -\frac{1}{\sqrt{1-x^2}} \end{aligned} (xa)′=axa−1, (lnx)′=x1, (ex)′=ex, (sinx)′=cosx, (cosx)′=−sinx, (ax)′=axlna(tanx)′=sec2x, (cotx)′=−csc2x, (secx)′=secxtanx, (cscx)′=−cscxcotx(arctanx)′=1+x21, (arccotx)′=−1+x21, (arcsinx)′=1−x21, (arccosx)′=−1−x21
求导法则
- 四则运算求导法则
设函数f(x)与g(x)均可导,则[f(x)±g(x)]′=f′(x)±g′(x),[f(x)g(x)]′=f′(x)g(x)+f(x)g′(x),[f(x)g(x)]′=f′(x)g(x)−f(x)g′(x)g2(x). \begin{aligned} &\text{设函数}f(x)\text{与}g(x)\text{均可导,则} \\ & \\ &[f(x)\pm g(x)]' = f'(x)\pm g'(x),\quad [f(x)g(x)]' = f'(x)g(x)+f(x)g'(x), \\ & \\ &\left[ \frac{f(x)}{g(x)} \right]' = \frac{f'(x)g(x)-f(x)g'(x)}{g^2(x)}. \end{aligned} 设函数f(x)与g(x)均可导,则[f(x)±g(x)]′=f′(x)±g′(x),[f(x)g(x)]′=f′(x)g(x)+f(x)g′(x),[g(x)f(x)]′=g2(x)f′(x)g(x)−f(x)g′(x). - 复合函数求导法则
定理:设y=f(u),u=g(x),如果g(x)在x处可导,且f(u)在对应的u=g(x)处可导,则复合函数y=f(g(x))在x处可导,且有:[f(g(x))]′=f′(g(x))g′(x) 或 dydx=dydududx. \begin{aligned} &\text{定理:设}y = f(u), u = g(x),\text{如果}g(x)\text{在}x\text{处可导,且}f(u)\text{在对应的}u = g(x)\text{处可导,} \\ &\text{则复合函数}y = f(g(x))\text{在}x\text{处可导,且有:} \\ & \\ &[f(g(x))]' = f'(g(x))g'(x)\ \text{或}\ \frac{dy}{dx} = \frac{dy}{du}\frac{du}{dx}. \end{aligned} 定理:设y=f(u),u=g(x),如果g(x)在x处可导,且f(u)在对应的u=g(x)处可导,则复合函数y=f(g(x))在x处可导,且有:[f(g(x))]′=f′(g(x))g′(x) 或 dxdy=dudydxdu. - 反函数求导法则
定理:设函数可导且f′(x)≠0,并令其反函数为x=f−1(y),(f−1(y))′=dxdy=1dydx=1f′(x)=1f′(f−1(y)). \begin{aligned} &\text{定理:设函数可导且}f'(x) \neq 0,\text{并令其反函数为}x = f^{-1}(y), \\ &(f^{-1}(y))' = \frac{dx}{dy} = \frac{1}{\frac{dy}{dx}} = \frac{1}{f'(x)} = \frac{1}{f'(f^{-1}(y))}. \end{aligned} 定理:设函数可导且f′(x)=0,并令其反函数为x=f−1(y),(f−1(y))′=dydx=dxdy1=f′(x)1=f′(f−1(y))1. - 变上限积分求导
(1) (∫axf(t)dt)′=f(x);(2) (∫xbf(t)dt)′=−f(x);(3) [∫au(x)f(t)dt]′=f(u(x))u′(x);(4) [∫v(x)u(x)f(t)dt]′=f(u(x))u′(x)−f(v(x))v′(x). \begin{aligned} &(1)\ \left( \int_{a}^{x} f(t)dt \right)' = f(x); \\ & \\ &(2)\ \left( \int_{x}^{b} f(t)dt \right)' = -f(x); \\ & \\ &(3)\ \left[ \int_{a}^{u(x)} f(t)dt \right]' = f(u(x))u'(x); \\ & \\ &(4)\ \left[ \int_{v(x)}^{u(x)} f(t)dt \right]' = f(u(x))u'(x) - f(v(x))v'(x). \end{aligned} (1) (∫axf(t)dt)′=f(x);(2) (∫xbf(t)dt)′=−f(x);(3) [∫au(x)f(t)dt]′=f(u(x))u′(x);(4) [∫v(x)u(x)f(t)dt]′=f(u(x))u′(x)−f(v(x))v′(x).
多元函数导数的计算
利用偏导数定义
基本求导公式
复合函数求导法则
根据复合函数中间变量的不同形式,我们有如下求导公式:(1) 如果z=f(u,v)=f(φ(t),ψ(t)),则dzdt=∂f∂ududt+∂f∂vdvdt;(2) 如果z=f(u,v)=f(φ(x,y),ψ(x,y)),则∂z∂x=∂f∂u∂u∂x+∂f∂v∂v∂x;∂z∂y=∂f∂u∂u∂y+∂f∂v∂v∂y; \begin{aligned} &\text{根据复合函数中间变量的不同形式,我们有如下求导公式:} \\ & \\ &(1)\ \text{如果}z = f(u,v) = f(\varphi(t),\psi(t)),\text{则}\frac{dz}{dt} = \frac{\partial f}{\partial u}\frac{du}{dt} + \frac{\partial f}{\partial v}\frac{dv}{dt}; \\ & \\ &(2)\ \text{如果}z = f(u,v) = f(\varphi(x,y),\psi(x,y)),\text{则}\frac{\partial z}{\partial x} = \frac{\partial f}{\partial u}\frac{\partial u}{\partial x} + \frac{\partial f}{\partial v}\frac{\partial v}{\partial x}; \\ & \\ &\frac{\partial z}{\partial y} = \frac{\partial f}{\partial u}\frac{\partial u}{\partial y} + \frac{\partial f}{\partial v}\frac{\partial v}{\partial y}; \end{aligned} 根据复合函数中间变量的不同形式,我们有如下求导公式:(1) 如果z=f(u,v)=f(φ(t),ψ(t)),则dtdz=∂u∂fdtdu+∂v∂fdtdv;(2) 如果z=f(u,v)=f(φ(x,y),ψ(x,y)),则∂x∂z=∂u∂f∂x∂u+∂v∂f∂x∂v;∂y∂z=∂u∂f∂y∂u+∂v∂f∂y∂v;
隐函数求导法则
定理:设F(x,y,z)在(x0,y0,z0)的某邻域内有连续的一阶偏导数,且F(x0,y0,z0)=0,若Fz′(x0,y0,z0)≠0,则方程F(x,y,z)=0在点(x0,y0,z0)的某邻域内恒能唯一确定一个连续且具有连续偏导数的函数z=z(x,y),且∂z∂x=−Fx′Fz′, ∂z∂y=−Fy′Fz′,其中Fx′,Fy′,Fz′是三元函数F(x,y,z)对x,y,z的偏导数. \begin{aligned} &\text{定理:设}F(x,y,z)\text{在}(x_0,y_0,z_0)\text{的某邻域内有连续的一阶偏导数,且}F(x_0,y_0,z_0)=0, \\ &\text{若}F'_z(x_0,y_0,z_0)\neq 0,\text{则方程}F(x,y,z)=0\text{在点}(x_0,y_0,z_0)\text{的某邻域内恒能唯一确定一} \\ &\text{个连续且具有连续偏导数的函数}z = z(x,y),\text{且} \\ & \\ &\quad \frac{\partial z}{\partial x}=-\frac{F'_x}{F'_z},\ \frac{\partial z}{\partial y}=-\frac{F'_y}{F'_z}, \\ & \\ &\text{其中}F'_x,F'_y,F'_z\text{是三元函数}F(x,y,z)\text{对}x,y,z\text{的偏导数.} \end{aligned} 定理:设F(x,y,z)在(x0,y0,z0)的某邻域内有连续的一阶偏导数,且F(x0,y0,z0)=0,若Fz′(x0,y0,z0)=0,则方程F(x,y,z)=0在点(x0,y0,z0)的某邻域内恒能唯一确定一个连续且具有连续偏导数的函数z=z(x,y),且∂x∂z=−Fz′Fx′, ∂y∂z=−Fz′Fy′,其中Fx′,Fy′,Fz′是三元函数F(x,y,z)对x,y,z的偏导数.
一元函数导数的计算
低阶导数的计算
![![[Pasted image 20251204100726.png]]](https://i-blog.csdnimg.cn/direct/d9a3e9f58a3f4ebf94cda5d1f1f0addc.png)
解:lne2xe2x+1=12(lne2x−ln(e2x+1))=12(2x−ln(e2x+1))=x−12ln(e2x+1)y′=ex1+e2x−1+12⋅2e2xe2x+1y′(1)=e1+e2−1+e21+e2=e−1−e2+e21+e2=e−11+e2 \begin{aligned} &\text{解:}\ln\sqrt{\frac{e^{2x}}{e^{2x}+1}} = \frac{1}{2}\left( \ln e^{2x} - \ln(e^{2x}+1) \right) = \frac{1}{2}\left( 2x - \ln(e^{2x}+1) \right) \\ &\quad = x - \frac{1}{2}\ln(e^{2x}+1) \\ & \\ &y' = \frac{e^x}{1+e^{2x}} - 1 + \frac{1}{2} \cdot \frac{2e^{2x}}{e^{2x}+1} \\ & \\ &y'(1) = \frac{e}{1+e^2} - 1 + \frac{e^2}{1+e^2} = \frac{e - 1 - e^2 + e^2}{1+e^2} = \frac{e - 1}{1+e^2} \end{aligned} 解:lne2x+1e2x=21(lne2x−ln(e2x+1))=21(2x−ln(e2x+1))=x−21ln(e2x+1)y′=1+e2xex−1+21⋅e2x+12e2xy′(1)=1+e2e−1+1+e2e2=1+e2e−1−e2+e2=1+e2e−1
【小结】1.如果函数为多项相乘,直接求导比较麻烦,可以考虑先取对数再求导。求对数函数ln∣f(x)∣的导数,可以忽略绝对值的影响:(ln∣f(x)∣)′=f′(x)f(x)。2.要计算幂指函数u(x)v(x)的导数,基本思路是先用对数恒等变形,再运用求导法则计算其导数:[u(x)v(x)]′=[ev(x)lnu(x)]′=ev(x)lnu(x)[v(x)lnu(x)]′=u(x)v(x)[v′(x)lnu(x)+v(x)u′(x)u(x)]3.当遇到对数函数求导时,可以首先利用公式lnxk=kln∣x∣(x>0),lnab=lna+lnb(a,b>0)将对数函数简化。 \begin{aligned} &\boxed{【小结】}1.\text{如果函数为多项相乘,直接求导比较麻烦,可以考虑先取对数再求导。求对} \\ &\text{数函数}\ln|f(x)|\text{的导数,可以忽略绝对值的影响:}\left( \ln|f(x)| \right)' = \frac{f'(x)}{f(x)}。 \\ & \\ &2.\text{要计算幂指函数}u(x)^{v(x)}\text{的导数,基本思路是先用对数恒等变形,再运用求导法则计} \\ &\text{算其导数:} \\ &\quad \left[ u(x)^{v(x)} \right]' = \left[ e^{v(x)\ln u(x)} \right]' = e^{v(x)\ln u(x)} \left[ v(x)\ln u(x) \right]' = u(x)^{v(x)} \left[ v'(x)\ln u(x) + v(x)\frac{u'(x)}{u(x)} \right] \\ & \\ &3.\text{当遇到对数函数求导时,可以首先利用公式}\ln x^k = k\ln |x|(x>0), \\ &\ln ab = \ln a + \ln b(a,b>0)\text{将对数函数简化。} \end{aligned} 【小结】1.如果函数为多项相乘,直接求导比较麻烦,可以考虑先取对数再求导。求对数函数ln∣f(x)∣的导数,可以忽略绝对值的影响:(ln∣f(x)∣)′=f(x)f′(x)。2.要计算幂指函数u(x)v(x)的导数,基本思路是先用对数恒等变形,再运用求导法则计算其导数:[u(x)v(x)]′=[ev(x)lnu(x)]′=ev(x)lnu(x)[v(x)lnu(x)]′=u(x)v(x)[v′(x)lnu(x)+v(x)u(x)u′(x)]3.当遇到对数函数求导时,可以首先利用公式lnxk=kln∣x∣(x>0),lnab=lna+lnb(a,b>0)将对数函数简化。
![![[Pasted image 20251204101749.png]]](https://i-blog.csdnimg.cn/direct/5c2bced6cce84cc6a07fb4757087e256.png)
解:在y−xey−1=1①两边对x求导:y′−ey−1−xey−1⋅y′=0②在②两边对x求导:y′′−ey−1⋅y′−(ey−1⋅y′)−x(ey−1⋅y′)′=0③将x=0代入①,得y(0)=1;x=0,y=1代入②,得y′(0)=1;x=0,y=1,y′=1代入③,得y′′=2.dzdx∣x=0=f′(lny−sinx)⋅(y′y−cosx)∣x=0=0d2zdx2∣x=0=[f′′(lny−sinx)(y′y−cosx)2+f′(lny−sinx)(y′′y−(y′)2y2+sinx)]∣x=0=1 \begin{aligned} &\text{解:在}y - xe^{y-1} = 1①\text{两边对}x\text{求导:}y' - e^{y-1} - xe^{y-1} \cdot y' = 0 \quad ② \\ &\text{在}②\text{两边对}x\text{求导:}y'' - e^{y-1} \cdot y' - \left( e^{y-1} \cdot y' \right) - x \left( e^{y-1} \cdot y' \right)' = 0③ \\ &\text{将}x=0\text{代入①,得}y(0)=1;x=0,y=1\text{代入②,得}y'(0)=1;x=0,y=1,y'=1\text{代入③,得}y''=2. \\ & \\ &\left. \frac{dz}{dx} \right|_{x=0} = f'\left( \ln y - \sin x \right) \cdot \left( \frac{y'}{y} - \cos x \right) \bigg|_{x=0} = 0 \\ & \\ &\left. \frac{d^2z}{dx^2} \right|_{x=0} = \left[ f''\left( \ln y - \sin x \right) \left( \frac{y'}{y} - \cos x \right)^2 + f'\left( \ln y - \sin x \right) \left( \frac{y''y - (y')^2}{y^2} + \sin x \right) \right] \bigg|_{x=0} \\ &\quad = 1 \end{aligned} 解:在y−xey−1=1①两边对x求导:y′−ey−1−xey−1⋅y′=0②在②两边对x求导:y′′−ey−1⋅y′−(ey−1⋅y′)−x(ey−1⋅y′)′=0③将x=0代入①,得y(0)=1;x=0,y=1代入②,得y′(0)=1;x=0,y=1,y′=1代入③,得y′′=2.dxdzx=0=f′(lny−sinx)⋅(yy′−cosx)x=0=0dx2d2zx=0=[f′′(lny−sinx)(yy′−cosx)2+f′(lny−sinx)(y2y′′y−(y′)2+sinx)]x=0=1
![![[Pasted image 20251204113314.png]]](https://i-blog.csdnimg.cn/direct/14e6014aeaae4c3f9543e2bd4b0356d8.png)
变限积分求导① φ(x)=∫0xf(t)dt直接用公式② φ(x)=∫0xxf(t)dt提出去③ φ(x)=∫0xf(t,x)dt换元 \begin{aligned} &\textbf{变限积分求导} \\ &①\ \varphi(x) = \int_{0}^{x} f(t)dt \quad \text{直接用公式} \\ &②\ \varphi(x) = \int_{0}^{x} xf(t)dt \quad \text{提出去} \\ &③\ \varphi(x) = \int_{0}^{x} f(t,x)dt \quad \text{换元} \end{aligned} 变限积分求导① φ(x)=∫0xf(t)dt直接用公式② φ(x)=∫0xxf(t)dt提出去③ φ(x)=∫0xf(t,x)dt换元
解:φ(1)=∫0121⋅f(t)dt=∫01f(t)dt.φ′(x)=(x∫0x2f(t)dt)′=∫0x2f(t)dt+x⋅f(x2)⋅2xφ′(1)=∫01f(t)dt+2f(1)=φ(1)+2f(1)5=1+2f(1)f(1)=2. \begin{aligned} &\text{解:}\varphi(1) = \int_{0}^{1^2} 1 \cdot f(t)dt = \int_{0}^{1} f(t)dt. \\ & \\ &\varphi'(x) = \left( x\int_{0}^{x^2} f(t)dt \right)' \\ &\quad = \int_{0}^{x^2} f(t)dt + x \cdot f(x^2) \cdot 2x \\ & \\ &\varphi'(1) = \int_{0}^{1} f(t)dt + 2f(1) \\ &\quad = \varphi(1) + 2f(1) \\ & \\ &5 = 1 + 2f(1) \\ &f(1) = 2. \end{aligned} 解:φ(1)=∫0121⋅f(t)dt=∫01f(t)dt.φ′(x)=(x∫0x2f(t)dt)′=∫0x2f(t)dt+x⋅f(x2)⋅2xφ′(1)=∫01f(t)dt+2f(1)=φ(1)+2f(1)5=1+2f(1)f(1)=2.
【小结】如果积分变限函数积分号下出现关于x的函数u(x),类似于本题,则可以将u(x)移至积分号外,再进行求导,即∫axu(x)f(t)dt=u(x)∫axf(t)dt,故(∫axu(x)f(t)dt)′=u′(x)∫axf(t)dt+u(x)f(x). \begin{aligned} &\boxed{【小结】}\text{如果积分变限函数积分号下出现关于}x\text{的函数}u(x),\text{类似于本题,则可以将} \\ &u(x)\text{移至积分号外,再进行求导,即}\int_{a}^{x} u(x)f(t)dt = u(x)\int_{a}^{x} f(t)dt,\text{故} \\ & \\ &\left( \int_{a}^{x} u(x)f(t)dt \right)' = u'(x)\int_{a}^{x} f(t)dt + u(x)f(x). \end{aligned} 【小结】如果积分变限函数积分号下出现关于x的函数u(x),类似于本题,则可以将u(x)移至积分号外,再进行求导,即∫axu(x)f(t)dt=u(x)∫axf(t)dt,故(∫axu(x)f(t)dt)′=u′(x)∫axf(t)dt+u(x)f(x).
![![[Pasted image 20251204114924.png]]](https://i-blog.csdnimg.cn/direct/e6f299d9040b4e3da5a0db2e9cbb24bb.png)
解:∫0xtf(x−t)dt=u=x−t∫x0(x−u)f(u)d(x−u)=∫0x(x−u)f(u)du=x∫0xf(u)du−∫0xuf(u)du法1:两边对x求导:∫0xf(u)du+xf(x)−xf(x)=sinx∫0xf(u)du=sinx令x=π2, ∫0π2f(u)du=sinπ2=1 \begin{aligned} &\text{解:}\int_{0}^{x} t f(x-t)dt \xlongequal{u=x-t} \int_{x}^{0} (x-u)f(u)d(x-u) = \int_{0}^{x} (x-u)f(u)du \\ &\quad = x\int_{0}^{x} f(u)du - \int_{0}^{x} u f(u)du \\ & \\ &\text{法1:两边对}x\text{求导:}\int_{0}^{x} f(u)du + x f(x) - x f(x) = \sin x \\ &\quad \int_{0}^{x} f(u)du = \sin x \\ &\text{令}x=\frac{\pi}{2},\ \int_{0}^{\frac{\pi}{2}} f(u)du = \sin\frac{\pi}{2} = 1 \end{aligned} 解:∫0xtf(x−t)dtu=x−t∫x0(x−u)f(u)d(x−u)=∫0x(x−u)f(u)du=x∫0xf(u)du−∫0xuf(u)du法1:两边对x求导:∫0xf(u)du+xf(x)−xf(x)=sinx∫0xf(u)du=sinx令x=2π, ∫02πf(u)du=sin2π=1
不变限求导:(∫0x(x−u)f(u)du)′=(x−x)f(x)⋅(x)′−(x−0)f(0)⋅(0)′+∫0x∂[(x−u)f(u)]∂xdu=∫0xf(u)du. \begin{aligned} &\text{不变限求导:}\left( \int_{0}^{x} (x-u)f(u)du \right)' = (x-x)f(x) \cdot (x)' - (x-0)f(0) \cdot (0)' \\ &\quad + \int_{0}^{x} \frac{\partial \left[ (x-u)f(u) \right]}{\partial x} du = \int_{0}^{x} f(u)du. \end{aligned} 不变限求导:(∫0x(x−u)f(u)du)′=(x−x)f(x)⋅(x)′−(x−0)f(0)⋅(0)′+∫0x∂x∂[(x−u)f(u)]du=∫0xf(u)du.
【小结】1、如果x出现在积分号下被积函数的自变量中,类似于本题,则可以先进行换元,再进行求导,即形如∫axf(u(x,t))dt的积分变限函数,令u=u(x,t)进行换元.2、积分变限函数的三大题型:①直接使用公式进行计算;②将关于x的函数移至积分号外,再进行求导;③先进行换元,再进行求导. \begin{aligned} &\boxed{【小结】}1、\text{如果}x\text{出现在积分号下被积函数的自变量中,类似于本题,则可以先进行换} \\ &\text{元,再进行求导,即形如}\int_{a}^{x} f(u(x,t))dt\text{的积分变限函数,令}u = u(x,t)\text{进行换元.} \\ & \\ &2、\text{积分变限函数的三大题型:} \\ &①\text{直接使用公式进行计算;} \\ &②\text{将关于}x\text{的函数移至积分号外,再进行求导;} \\ &③\text{先进行换元,再进行求导.} \end{aligned} 【小结】1、如果x出现在积分号下被积函数的自变量中,类似于本题,则可以先进行换元,再进行求导,即形如∫axf(u(x,t))dt的积分变限函数,令u=u(x,t)进行换元.2、积分变限函数的三大题型:①直接使用公式进行计算;②将关于x的函数移至积分号外,再进行求导;③先进行换元,再进行求导.
![![[Pasted image 20251204152153.png]]](https://i-blog.csdnimg.cn/direct/91689b5505a0419da9a9a63d57acfb76.png)
解:F′(t)=(∫1t(∫ytf(x)dx)dy)′=∫ttf(x)dx⋅(t)′−∫1tf(x)dx⋅(1)′+∫1t∂(∫ytf(x)dx)∂tdy=∫1tf(t)dy=f(t)(t−1), F′(2)=f(2)选B \begin{aligned} &\text{解:}F'(t) = \left( \int_{1}^{t} \left( \int_{y}^{t} f(x)dx \right) dy \right)' = \int_{t}^{t} f(x)dx \cdot (t)' - \int_{1}^{t} f(x)dx \cdot (1)' \\ &\quad + \int_{1}^{t} \frac{\partial \left( \int_{y}^{t} f(x)dx \right)}{\partial t} dy \\ &\quad = \int_{1}^{t} f(t) dy = f(t)(t-1),\ F'(2) = f(2) \\&选B\end{aligned} 解:F′(t)=(∫1t(∫ytf(x)dx)dy)′=∫ttf(x)dx⋅(t)′−∫1tf(x)dx⋅(1)′+∫1t∂t∂(∫ytf(x)dx)dy=∫1tf(t)dy=f(t)(t−1), F′(2)=f(2)选B
【小结】变限积分求导公式推广:设ψ(x),φ(x)均可导,f(x,t)关于x的偏导数存在且连续,则(∫φ(x)ψ(x)f(x,t)dt)′=f(x,ψ(x))ψ′(x)−f(x,φ(x))φ′(x)+∫φ(x)ψ(x)∂f∂xdt。 \begin{aligned} &\boxed{【小结】}\text{变限积分求导公式推广:设}\psi(x),\varphi(x)\text{均可导,}f(x,t)\text{关于}x\text{的偏导数存} \\ &\text{在且连续,则} \\ &\quad \left( \int_{\varphi(x)}^{\psi(x)} f(x,t)dt \right)' = f(x,\psi(x))\psi'(x) - f(x,\varphi(x))\varphi'(x) + \int_{\varphi(x)}^{\psi(x)} \frac{\partial f}{\partial x} dt。 \end{aligned} 【小结】变限积分求导公式推广:设ψ(x),φ(x)均可导,f(x,t)关于x的偏导数存在且连续,则(∫φ(x)ψ(x)f(x,t)dt)′=f(x,ψ(x))ψ′(x)−f(x,φ(x))φ′(x)+∫φ(x)ψ(x)∂x∂fdt。
高阶导数的计算
![![[Pasted image 20251204153941.png]]](https://i-blog.csdnimg.cn/direct/f520ba8acaf048f9be83e3f344fbf114.png)
解:f′(x)=2(x+1)+2f(x)f′′(x)=2+2f′(x)f′′′(x)=2f′′(x)f(4)(x)=2f′′′(x)故f(n)(x)=2f(n−1)(x)=22f(n−2)(x)=⋯=2n−2f′′(x) (n≥3)f′′(0)=2+2f′(0)=2+2(2+2f(0))=10f(n)(0)=2n−2f′′(0)=2n−2⋅10=5⋅2n−1 (n≥3)当n=2时,f′′(0)=10 (n=2也适合此等式) \begin{aligned} &\text{解:}f'(x) = 2(x+1) + 2f(x) \\ &f''(x) = 2 + 2f'(x) \\ &f'''(x) = 2f''(x) \\ &f^{(4)}(x) = 2f'''(x) \\ &\text{故}f^{(n)}(x) = 2f^{(n-1)}(x) = 2^2f^{(n-2)}(x) = \dots = 2^{n-2}f''(x)\ (n \geq 3) \\ & \\ &f''(0) = 2 + 2f'(0) = 2 + 2\left( 2 + 2f(0) \right) = 10 \\ &f^{(n)}(0) = 2^{n-2}f''(0) = 2^{n-2} \cdot 10 = 5 \cdot 2^{n-1}\ (n \geq 3) \\ & \\ &\text{当}n=2\text{时,}f''(0)=10\ (n=2\text{也适合此等式}) \end{aligned} 解:f′(x)=2(x+1)+2f(x)f′′(x)=2+2f′(x)f′′′(x)=2f′′(x)f(4)(x)=2f′′′(x)故f(n)(x)=2f(n−1)(x)=22f(n−2)(x)=⋯=2n−2f′′(x) (n≥3)f′′(0)=2+2f′(0)=2+2(2+2f(0))=10f(n)(0)=2n−2f′′(0)=2n−2⋅10=5⋅2n−1 (n≥3)当n=2时,f′′(0)=10 (n=2也适合此等式)
【小结】如果考试中给出的是抽象函数,可以计算函数的一阶、二阶、三阶导数,进一步寻找规律. \begin{aligned} &\boxed{【小结】}\text{如果考试中给出的是抽象函数,可以计算函数的一阶、二阶、三阶导数,进一步} \\ &\text{寻找规律.} \end{aligned} 【小结】如果考试中给出的是抽象函数,可以计算函数的一阶、二阶、三阶导数,进一步寻找规律.
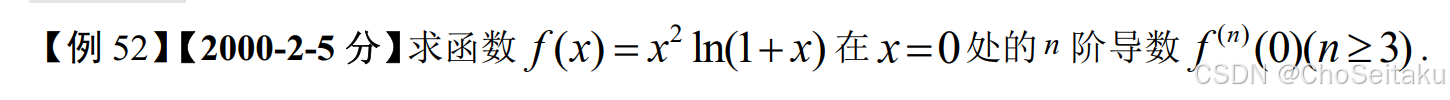
![![[Pasted image 20251204162658.png]]](https://i-blog.csdnimg.cn/direct/e15e0a9e76574c0894e68b6bb25b1517.png)
解:f(n)(x)=Cn0x2⋅(ln(1+x))(n)+Cn1(x2)′(ln(1+x))(n−1)+Cn2(x2)′′(ln(1+x))(n−2)f(n)(0)=n(n−1)2⋅2⋅(−1)n−3(n−3)!(1+x)n−2∣x=0 \begin{aligned} &\text{解:}f^{(n)}(x) = \mathrm{C}_n^0 x^2 \cdot \left( \ln(1+x) \right)^{(n)} + \mathrm{C}_n^1 (x^2)' \left( \ln(1+x) \right)^{(n-1)} \\ &\quad + \mathrm{C}_n^2 (x^2)'' \left( \ln(1+x) \right)^{(n-2)} \\ & \\ &f^{(n)}(0) = \frac{n(n-1)}{2} \cdot 2 \cdot (-1)^{n-3} \left. \frac{(n-3)!}{(1+x)^{n-2}} \right|_{x=0} \end{aligned} 解:f(n)(x)=Cn0x2⋅(ln(1+x))(n)+Cn1(x2)′(ln(1+x))(n−1)+Cn2(x2)′′(ln(1+x))(n−2)f(n)(0)=2n(n−1)⋅2⋅(−1)n−3(1+x)n−2(n−3)!x=0
=n(n−1)(n−3)!(−1)n−2=n!n−2(−1)n−1 \begin{aligned} &= n(n-1)(n-3)! (-1)^{n-2} \\ &= \frac{n!}{n-2} (-1)^{n-1} \end{aligned} =n(n−1)(n−3)!(−1)n−2=n−2n!(−1)n−1
【小结】1.常见的六个高阶导数公式(ex)(n)=ex;(ax)(n)=ax(lna)n;(sinx)(n)=sin(x+n2π);(cosx)(n)=cos(x+n2π);(xa)(n)=a(a−1)⋯(a−n+1)xa−n(lnx)(n)=(−1)n−1(n−1)!xn;特例:(1x)(n)=(−1)nn!xn+1。其次,考研往往喜欢将上述六个公式与一次函数ax+b复合进行考查,此时仅需在公式之后乘以an,即(f(ax+b))(n)=anf(n)(ax+b).2.Leibniz公式, 即设函数u(x)、v(x)具有n阶导数,则(u⋅v)(n)=Cn0(u)(n)⋅v+Cn1(u)(n−1)⋅v′+Cn2(u)(n−2)⋅v′′+⋯+Cnnu⋅(v)(n).1、Leibniz公式可借助于二项式定理进行记忆;2、在考研数学中,u(x)、v(x)的选择往往有一定的规律:u(x)往往是常见的六个高阶导数公式之一,v(x)往往最多是二次函数ax2+bx+c,这样利用Leibniz公式展开最多只有3项. \begin{aligned} &\boxed{【小结】}1.\text{常见的六个高阶导数公式} \\ &\begin{aligned} &(e^x)^{(n)} = e^x; \\ &(a^x)^{(n)} = a^x (\ln a)^n; \\ &(\sin x)^{(n)} = \sin\left( x + \frac{n}{2}\pi \right); \\ &(\cos x)^{(n)} = \cos\left( x + \frac{n}{2}\pi \right); \\ &(x^a)^{(n)} = a(a-1)\cdots(a-n+1)x^{a-n} \\ &(\ln x)^{(n)} = (-1)^{n-1}\frac{(n-1)!}{x^n}; \end{aligned} \\ &\text{特例:}\left( \frac{1}{x} \right)^{(n)} = (-1)^n \frac{n!}{x^{n+1}}。 \\ &\text{其次,考研往往喜欢将上述六个公式与一次函数}ax+b\text{复合进行考查,此时仅需在公式} \\ &\text{之后乘以}a^n,\text{即}(f(ax+b))^{(n)} = a^n f^{(n)}(ax+b). \\ & \\ &2.\text{Leibniz公式, 即} \\ &\text{设函数}u(x)、v(x)\text{具有}n\text{阶导数,则} \\ &(u \cdot v)^{(n)} = \mathrm{C}_n^0 (u)^{(n)} \cdot v + \mathrm{C}_n^1 (u)^{(n-1)} \cdot v' + \mathrm{C}_n^2 (u)^{(n-2)} \cdot v'' + \dots + \mathrm{C}_n^n u \cdot (v)^{(n)}. \\ & \\ &1、\text{Leibniz公式可借助于二项式定理进行记忆;} \\ &2、\text{在考研数学中,}u(x)、v(x)\text{的选择往往有一定的规律:}u(x)\text{往往是常见的六个高阶} \\ &\text{导数公式之一,}v(x)\text{往往最多是二次函数}ax^2 + bx + c,\text{这样利用Leibniz公式展开最多} \\ &\text{只有3项.} \end{aligned} 【小结】1.常见的六个高阶导数公式(ex)(n)=ex;(ax)(n)=ax(lna)n;(sinx)(n)=sin(x+2nπ);(cosx)(n)=cos(x+2nπ);(xa)(n)=a(a−1)⋯(a−n+1)xa−n(lnx)(n)=(−1)n−1xn(n−1)!;特例:(x1)(n)=(−1)nxn+1n!。其次,考研往往喜欢将上述六个公式与一次函数ax+b复合进行考查,此时仅需在公式之后乘以an,即(f(ax+b))(n)=anf(n)(ax+b).2.Leibniz公式, 即设函数u(x)、v(x)具有n阶导数,则(u⋅v)(n)=Cn0(u)(n)⋅v+Cn1(u)(n−1)⋅v′+Cn2(u)(n−2)⋅v′′+⋯+Cnnu⋅(v)(n).1、Leibniz公式可借助于二项式定理进行记忆;2、在考研数学中,u(x)、v(x)的选择往往有一定的规律:u(x)往往是常见的六个高阶导数公式之一,v(x)往往最多是二次函数ax2+bx+c,这样利用Leibniz公式展开最多只有3项.
![![[Pasted image 20251204165529.png]]](https://i-blog.csdnimg.cn/direct/84228226ace9430894343cc1d53f9031.png)
解:一方面,当x→0时,f(x)=x−x33+o(x3)−x(1−ax2+o(x2))=(a−13)x3+o(x3)另一方面,当x→0时,f(x)=f(0)+f′(0)x+f′′(0)2x2+f′′′(0)6x3+o(x3)由泰勒公式展开的唯一性可知,对应系数相等:f′′′(0)6=a−13又16=a−13,故a=12 \begin{aligned} &\text{解:一方面,当}x \to 0\text{时,} \\ &f(x) = x - \frac{x^3}{3} + o(x^3) - x\left( 1 - ax^2 + o(x^2) \right) \\ &\quad = \left( a - \frac{1}{3} \right)x^3 + o(x^3) \\ & \\ &\text{另一方面,当}x \to 0\text{时,}f(x) = f(0) + f'(0)x + \frac{f''(0)}{2}x^2 + \frac{f'''(0)}{6}x^3 + o(x^3) \\ &\text{由泰勒公式展开的唯一性可知,对应系数相等:} \\ &\frac{f'''(0)}{6} = a - \frac{1}{3} \\ &\text{又}\frac{1}{6} = a - \frac{1}{3},\text{故}a = \frac{1}{2} \end{aligned} 解:一方面,当x→0时,f(x)=x−3x3+o(x3)−x(1−ax2+o(x2))=(a−31)x3+o(x3)另一方面,当x→0时,f(x)=f(0)+f′(0)x+2f′′(0)x2+6f′′′(0)x3+o(x3)由泰勒公式展开的唯一性可知,对应系数相等:6f′′′(0)=a−31又61=a−31,故a=21
解:法2. 忘记泰勒公式的补救办法.limx→0arctanx−x(1+ax2)x3=limx→0arctanx(1+ax2)−xx3(1+ax2)=limx→0arctanx−xx3+limx→0arctanx⋅ax2x3=−13+a故arctanx−x(1+ax2)∼(a−13)x3.由f′′′(0)3!=a−13,得a=12 \begin{aligned} &\text{解:法2. 忘记泰勒公式的补救办法.} \\ &\lim_{x \to 0} \frac{\arctan x - \frac{x}{(1+ax^2)}}{x^3} = \lim_{x \to 0} \frac{\arctan x(1+ax^2) - x}{x^3(1+ax^2)} \\ &= \lim_{x \to 0} \frac{\arctan x - x}{x^3} + \lim_{x \to 0} \frac{\arctan x \cdot ax^2}{x^3} \\ &= -\frac{1}{3} + a \\ & \\ &\text{故}\arctan x - \frac{x}{(1+ax^2)} \sim \left( a - \frac{1}{3} \right)x^3. \\ &\text{由}\frac{f'''(0)}{3!} = a - \frac{1}{3}\text{,得}a = \frac{1}{2} \end{aligned} 解:法2. 忘记泰勒公式的补救办法.x→0limx3arctanx−(1+ax2)x=x→0limx3(1+ax2)arctanx(1+ax2)−x=x→0limx3arctanx−x+x→0limx3arctanx⋅ax2=−31+a故arctanx−(1+ax2)x∼(a−31)x3.由3!f′′′(0)=a−31,得a=21
【小结】Taylor公式计算高阶导数的理论基础:f(x)=f(x0)+f′(x0)(x−x0)+f′′(x0)2!(x−x0)2+⋯+f(n)(x0)n!(x−x0)n+… .由Taylor公式展开的唯一性可知,f(n)(x0)就等于(x−x0)n的系数乘以n! \begin{aligned} &\boxed{【小结】}\text{Taylor公式计算高阶导数的理论基础:} \\ &f(x) = f(x_0) + f'(x_0)(x-x_0) + \frac{f''(x_0)}{2!}(x-x_0)^2 + \dots + \frac{f^{(n)}(x_0)}{n!}(x-x_0)^n + \dots. \\ & \\ &\text{由Taylor公式展开的唯一性可知,}f^{(n)}(x_0)\text{就等于}(x-x_0)^n\text{的系数乘以}n! \end{aligned} 【小结】Taylor公式计算高阶导数的理论基础:f(x)=f(x0)+f′(x0)(x−x0)+2!f′′(x0)(x−x0)2+⋯+n!f(n)(x0)(x−x0)n+….由Taylor公式展开的唯一性可知,f(n)(x0)就等于(x−x0)n的系数乘以n!
f(x)∼kx3 ⟺ f(0)=0, f′(0)=0, f′′(0)=0, f′′′(0)=3!⋅k f(x) \sim kx^3 \iff f(0)=0,\ f'(0)=0,\ f''(0)=0,\ f'''(0)=3!\cdot k
f(x)∼kx3⟺f(0)=0, f′(0)=0, f′′(0)=0, f′′′(0)=3!⋅k
①已知f(0)=0, f′(0)=0, f′′(0)=2, ⇒当x→0时,f(x)∼f′′(0)2!x2=x2 ①\text{已知}f(0)=0,\ f'(0)=0,\ f''(0)=2,\ \Rightarrow \text{当}x \to 0\text{时,}f(x) \sim \frac{f''(0)}{2!}x^2 = x^2
①已知f(0)=0, f′(0)=0, f′′(0)=2, ⇒当x→0时,f(x)∼2!f′′(0)x2=x2
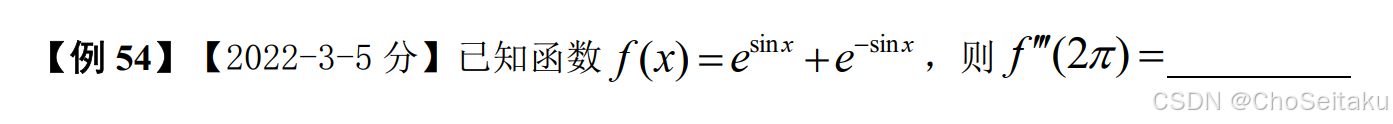
![![[Pasted image 20251204171954.png]]](https://i-blog.csdnimg.cn/direct/f7a1f69b6c774a8aa5b55bbd50b78491.png)
解:f(x)为偶函数,f′(x)为奇,f′′(x)偶,f′′′(x)奇.f′′′(0)=0, f(x)周期为2π, f′′′(x)周期2π.f′′′(2π)=f′′′(0)=0 \begin{aligned} &\text{解:}f(x)\text{为偶函数,}f'(x)\text{为奇,}f''(x)\text{偶,}f'''(x)\text{奇.} \\ &f'''(0)=0,\ f(x)\text{周期为}2\pi,\ f'''(x)\text{周期}2\pi. \\ &f'''(2\pi)=f'''(0)=0 \end{aligned} 解:f(x)为偶函数,f′(x)为奇,f′′(x)偶,f′′′(x)奇.f′′′(0)=0, f(x)周期为2π, f′′′(x)周期2π.f′′′(2π)=f′′′(0)=0
小结:偶函数的奇数阶导数为奇函数,奇函数的偶数阶导数为奇函数. \begin{aligned} &\text{小结:偶函数的奇数阶导数为奇函数,} \\ &\text{奇函数的偶数阶导数为奇函数.} \end{aligned} 小结:偶函数的奇数阶导数为奇函数,奇函数的偶数阶导数为奇函数.
改:g(x)=esinx−e−sinxg(4)(2π)=0 \begin{aligned} &\text{改:}g(x)=e^{\sin x}-e^{-\sin x} \\ & g^{(4)}(2\pi)=0 \end{aligned} 改:g(x)=esinx−e−sinxg(4)(2π)=0
【小结】高阶导数方法总结高阶导数的计算一般有五种方法:第一、求出一阶、二阶、三阶导数,进行递推;第二、使用常见的六个高阶导数公式;第三、使用Leibniz公式;第四、使用Taylor公式;第五、借助函数奇偶性。 \begin{aligned} &\boxed{【小结】}\text{高阶导数方法总结} \\ &\text{高阶导数的计算一般有五种方法:} \\ &第一、求出一阶、二阶、三阶导数, 进行递推; \\ &第二、使用常见的六个高阶导数公式; \\ &第三、使用Leibniz公式; \\ &第四、使用Taylor公式; \\ &第五、借助函数奇偶性。 \end{aligned} 【小结】高阶导数方法总结高阶导数的计算一般有五种方法:第一、求出一阶、二阶、三阶导数,进行递推;第二、使用常见的六个高阶导数公式;第三、使用Leibniz公式;第四、使用Taylor公式;第五、借助函数奇偶性。
1278

被折叠的 条评论
为什么被折叠?



