上个文章的对极约束描述了同一个空间点在不同相机坐标系下的对应关系,我们需要至少八个点来求解出相机的位姿变换矩阵。但是当我们知道两帧图像图像点对应的空间点3D信息时,那么需要的点对会减少。当知道了一个特征点对应的3D信息时,就可以通过PnP来求解相机的运动,当前后帧对应的3D信息都知道后,就可以使用ICP来求解相机运动。
一. 3D-2D:PnP
那么最少需要三个点对(外加一个额外点来验证结果)就可以估计相机的运动。特征点的空间为可以由三角化推导,也可以通过RGB-D相机直接给出。 这个过程就叫PnP(Perspective-n-Point),就是求解3D点到2D点对的运动问题。相较于对极几何,PnP需要的点对减少,同时效果较好。
1.1. 直接线性变换
考虑某个空间点,空间点映射到图像
点坐标为
(以归一化坐标表示)。定义一个增广矩阵
,其中R和t分别代表相机当前位姿的旋转矩阵和平移向量,那么此时就有:
使用最后一行表示s,同时带入上面两行就可以得到:
定义航向量T为:
于是可以得到下面的等式:
于是,对于一对空间中已经知道的点和其对应的图像坐标,我们可以得到两个关于t的现行约束。t的矩阵中一共有12个未知数,所以我们需要至少六个点来求解t。这种方法称为直接线性变换(Direct Linear Transform,DIL)。在DIL求解过程中,我们把T看成12个未知数,求解出的旋转结果不一定满足so(3)的限制条件。所以针对这一问题,我们需要找到一个与结果近似的旋转矩阵来近似为真实结果,把矩阵空间映射到李代数SE(3)中,转换为旋转和平移两部分。
1.2 P3P
P3P是另外一种仅使用3个点对求解对应关系的PnP求解方法,假设三个3D空间点坐标已知,那么他们之间空间关系就可以求出,但是他们对应的图像坐标我们并不知道。记3D点为A,B,C,其对应的图像坐标点为a,b,c,记O为相机光圈那么有下图:

那么图中现在就存在三个相似三角形,分别为:
ΔOab−ΔOAB,ΔObc−ΔOBC,ΔOac−ΔOAC
根据余弦定理,有:
对上式全体除以,并且记
那么就有下式:

首先回想问题的定义是已知三个图像点和他们对应的3D空间位置,那么上式中三个余弦值就是可以根据图像点位置求出的。同时u和w也可以通过3D空间点在世界坐标系下的坐标值求出,因为是比值,变换到相机坐标系下是不变的。所以上式只有x和y是未知的,是一个二元二次方程组。具体的解法需要看论文。
解出方程后,最多可以得出四个解,需要利用验证点(第四个点)来计算最有可能的解,得到ABC在相机坐标系下的坐标,再与ABC世界坐标下坐标值做匹配,将问题转换为一个3D-3D的点对问题(也就是ICP),计算相机的运动值R,t。
其他的方法,如EPnP,也是类似的思路,P3P存在的问题是:
- P3P只利用三个点信息,当匹配点对多于3组时,难以利用更多信息;
- 如2D或则3D点收噪声影响,存在一定的误差或则误匹配,算法失效。
综上,P3P利用了相似三角形的性质,相似三角形的比例在世界坐标系下的比值和在相机坐标下的比值是相等的。求解投影点在相机坐标下的3D坐标值,再将求出的3D坐标值与其世界坐标下的坐标值做匹配,得出相机位姿矩阵R和t。
1.3 Bundle Adjustment
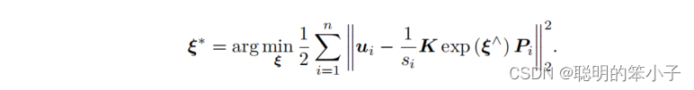
在实际的SLAM问题中,往往是先使用P3P/EPnP的方法求出初始相机位姿,然后构建最小二乘来对估计值进行调整(Bundle Adjustment)。将相机位姿和空间点位置都看作是优化变量,放在一起优化。在PnP问题中,BA是一个最小化重投影误差(Reprojection error)的问题。

考虑n个三维空间点P和他们在图像坐标的投影p,要求的相机位姿定义为R,t,他的李代数表示为。某个空间点
,它对应投影的像素坐标为
。那么根据相机模型就有:

写成矩阵的形式就是:
由于相机位姿未知,所以3D点的投影和他实际的投影之间会有一个误差,构建最小二乘问题,来将这个误差最小化,来求解最恰当的相机位姿:

误差定义是像素坐标(观测到的投影位置)与3D点按照位姿估计出的投影位置之间的差值,称为重投影误差(Reprojection error)。因为齐次坐标有三维,最后一维恒默认为1,故误差为零,我们只考虑前两维的误差。构建完成最小二乘问题,接下来就可以使用非线性最优化方法求解相机位姿,例如G-N和L-M法。
在使用优化方法前,需要知道误差项关于每个优化变量的雅可比矩阵J,这一步也就是李代数的左乘线性化。

误差项是一个二维的矩阵,待优化变量相机的位姿是六维的,所以雅可比矩阵J会是一个2*6的矩阵。考虑一个3D空间点,他转换到相机坐标后的坐标为
,那么就有:

那么投影到图像坐标后的坐标就是:

就像之前介绍相机模型的时候说的,其中s是缩放大小,K是相机内参矩阵,大小是3*3。展开就是

将第三行对应的等式代入上面两行就可以得到两个等式:
这样就得到了3D点按照猜测的相机位姿对应的投影点坐标,将这个坐标与实际的投影点做差就是代价函数。因为待优化量是李代数的形式,对左乘扰动
,然后考虑e的变化关于扰动量的导数。利用链式法则有:

第一项为误差关于投影点的导数,根据上面的两个等式就可以得到:
而第二项为变换后的点关于扰动量的导数,根据之前李代数的求导结果,有:

因为的定义为前三维,所以只取上式的前三维,即:

那么误差关于待优化量的雅可比矩阵就是:
前面的符号是以为误差的定义是观测值减去预测值。另外这个雅可比矩阵的定义是平移在前,旋转在后,如果的定义是旋转在前而平移在后的话,将矩阵的前三列和后三列互换位置就可以了。
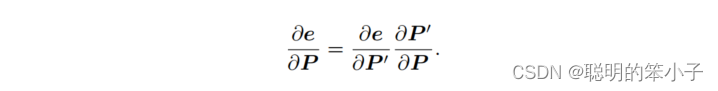
除了优化相机的位姿,还有对路标点进行优化,这时候就需要讨论误差e关于空间点P的雅可比矩阵。仍然是利用链式法则:
第一项跟上面的一样,第二项是3D空间点在相机坐标下的坐标对世界坐标下的求导,按照定义有
所以求导结果只剩下R,于是:
1.4 代码实践
SLAM14讲中使用了OpenCV提供的EPnP求出一个初始位姿,然后构建非线性优化问题对相机位姿进行优化求解最优值。对于2D点是读取两幅图像,但是对于3D点则是直接读取一个深度图像,作为3D点的位置。代码如下:
#include <iostream>
#include <opencv2/core/core.hpp>
#include <opencv2/features2d/features2d.hpp>
#include <opencv2/highgui/highgui.hpp>
#include <opencv2/calib3d/calib3d.hpp>
#include <Eigen/Core>
#include <g2o/core/base_vertex.h>
#include <g2o/core/base_unary_edge.h>
#include <g2o/core/sparse_optimizer.h>
#include <g2o/core/block_solver.h>
#include <g2o/core/solver.h>
#include <g2o/core/optimization_algorithm_gauss_newton.h>
#include <g2o/solvers/dense/linear_solver_dense.h>
#include <sophus/se3.hpp>
#include <chrono>
using namespace std;
using namespace cv;
void find_feature_matches(
const Mat &img_1, const Mat &img_2,
std::vector<KeyPoint> &keypoints_1,
std::vector<KeyPoint> &keypoints_2,
std::vector<DMatch> &matches);
// 像素坐标转相机归一化坐标
Point2d pixel2cam(const Point2d &p, const Mat &K);
// BA by g2o
typedef vector<Eigen::Vector2d, Eigen::aligned_allocator<Eigen::Vector2d>> VecVector2d;
typedef vector<Eigen::Vector3d, Eigen::aligned_allocator<Eigen::Vector3d>> VecVector3d;
void bundleAdjustmentG2O(
const VecVector3d &points_3d,
const VecVector2d &points_2d,
const Mat &K,
Sophus::SE3d &pose
);
// BA by gauss-newton
void bundleAdjustmentGaussNewton(
const VecVector3d &points_3d,
const VecVector2d &points_2d,
const Mat &K,
Sophus::SE3d &pose
);
int main(int argc, char **argv) {
if (argc != 5) {
cout << "usage: pose_estimation_3d2d img1 img2 depth1 depth2" << endl;
return 1;
}
//-- 读取图像
Mat img_1 = imread(argv[1], CV_LOAD_IMAGE_COLOR);
Mat img_2 = imread(argv[2], CV_LOAD_IMAGE_COLOR);
assert(img_1.data && img_2.data && "Can not load images!");
vector<KeyPoint> keypoints_1, keypoints_2;
vector<DMatch> matches;
find_feature_matches(img_1, img_2, keypoints_1, keypoints_2, matches);
cout << "一共找到了" << matches.size() << "组匹配点" << endl;
// 建立3D点
Mat d1 = imread(argv[3], CV_LOAD_IMAGE_UNCHANGED); // 深度图为16位无符号数,单通道图像
Mat K = (Mat_<double>(3, 3) << 520.9, 0, 325.1, 0, 521.0, 249.7, 0, 0, 1);
vector<Point3f> pts_3d;
vector<Point2f> pts_2d;
for (DMatch m:matches) {
ushort d = d1.ptr<unsigned short>(int(keypoints_1[m.queryIdx].pt.y))[int(keypoints_1[m.queryIdx].pt.x)];
if (d == 0) // bad depth
continue;
float dd = d / 5000.0;
Point2d p1 = pixel2cam(keypoints_1[m.queryIdx].pt, K);
pts_3d.push_back(Point3f(p1.x * dd, p1.y * dd, dd));
pts_2d.push_back(keypoints_2[m.trainIdx].pt);
}
cout << "3d-2d pairs: " << pts_3d.size() << endl;
chrono::steady_clock::time_point t1 = chrono::steady_clock::now();
Mat r, t;
solvePnP(pts_3d, pts_2d, K, Mat(), r, t, false); // 调用OpenCV 的 PnP 求解,可选择EPNP,DLS等方法
Mat R;
cv::Rodrigues(r, R); // r为旋转向量形式,用Rodrigues公式转换为矩阵
chrono::steady_clock::time_point t2 = chrono::steady_clock::now();
chrono::duration<double> time_used = chrono::duration_cast<chrono::duration<double>>(t2 - t1);
cout << "solve pnp in opencv cost time: " << time_used.count() << " seconds." << endl;
cout << "R=" << endl << R << endl;
cout << "t=" << endl << t << endl;
VecVector3d pts_3d_eigen;
VecVector2d pts_2d_eigen;
for (size_t i = 0; i < pts_3d.size(); ++i) {
pts_3d_eigen.push_back(Eigen::Vector3d(pts_3d[i].x, pts_3d[i].y, pts_3d[i].z));
pts_2d_eigen.push_back(Eigen::Vector2d(pts_2d[i].x, pts_2d[i].y));
}
cout << "calling bundle adjustment by gauss newton" << endl;
Sophus::SE3d pose_gn;
t1 = chrono::steady_clock::now();
bundleAdjustmentGaussNewton(pts_3d_eigen, pts_2d_eigen, K, pose_gn);
t2 = chrono::steady_clock::now();
time_used = chrono::duration_cast<chrono::duration<double>>(t2 - t1);
cout << "solve pnp by gauss newton cost time: " << time_used.count() << " seconds." << endl;
cout << "calling bundle adjustment by g2o" << endl;
Sophus::SE3d pose_g2o;
t1 = chrono::steady_clock::now();
bundleAdjustmentG2O(pts_3d_eigen, pts_2d_eigen, K, pose_g2o);
t2 = chrono::steady_clock::now();
time_used = chrono::duration_cast<chrono::duration<double>>(t2 - t1);
cout << "solve pnp by g2o cost time: " << time_used.count() << " seconds." << endl;
return 0;
}
void find_feature_matches(const Mat &img_1, const Mat &img_2,
std::vector<KeyPoint> &keypoints_1,
std::vector<KeyPoint> &keypoints_2,
std::vector<DMatch> &matches) {
//-- 初始化
Mat descriptors_1, descriptors_2;
// used in OpenCV3
Ptr<FeatureDetector> detector = ORB::create();
Ptr<DescriptorExtractor> descriptor = ORB::create();
// use this if you are in OpenCV2
// Ptr<FeatureDetector> detector = FeatureDetector::create ( "ORB" );
// Ptr<DescriptorExtractor> descriptor = DescriptorExtractor::create ( "ORB" );
Ptr<DescriptorMatcher> matcher = DescriptorMatcher::create("BruteForce-Hamming");
//-- 第一步:检测 Oriented FAST 角点位置
detector->detect(img_1, keypoints_1);
detector->detect(img_2, keypoints_2);
//-- 第二步:根据角点位置计算 BRIEF 描述子
descriptor->compute(img_1, keypoints_1, descriptors_1);
descriptor->compute(img_2, keypoints_2, descriptors_2);
//-- 第三步:对两幅图像中的BRIEF描述子进行匹配,使用 Hamming 距离
vector<DMatch> match;
// BFMatcher matcher ( NORM_HAMMING );
matcher->match(descriptors_1, descriptors_2, match);
//-- 第四步:匹配点对筛选
double min_dist = 10000, max_dist = 0;
//找出所有匹配之间的最小距离和最大距离, 即是最相似的和最不相似的两组点之间的距离
for (int i = 0; i < descriptors_1.rows; i++) {
double dist = match[i].distance;
if (dist < min_dist) min_dist = dist;
if (dist > max_dist) max_dist = dist;
}
printf("-- Max dist : %f \n", max_dist);
printf("-- Min dist : %f \n", min_dist);
//当描述子之间的距离大于两倍的最小距离时,即认为匹配有误.但有时候最小距离会非常小,设置一个经验值30作为下限.
for (int i = 0; i < descriptors_1.rows; i++) {
if (match[i].distance <= max(2 * min_dist, 30.0)) {
matches.push_back(match[i]);
}
}
}
Point2d pixel2cam(const Point2d &p, const Mat &K) {
return Point2d
(
(p.x - K.at<double>(0, 2)) / K.at<double>(0, 0),
(p.y - K.at<double>(1, 2)) / K.at<double>(1, 1)
);
}
void bundleAdjustmentGaussNewton(
const VecVector3d &points_3d,
const VecVector2d &points_2d,
const Mat &K,
Sophus::SE3d &pose) {
typedef Eigen::Matrix<double, 6, 1> Vector6d;
const int iterations = 10;
double cost = 0, lastCost = 0;
double fx = K.at<double>(0, 0);
double fy = K.at<double>(1, 1);
double cx = K.at<double>(0, 2);
double cy = K.at<double>(1, 2);
for (int iter = 0; iter < iterations; iter++) {
Eigen::Matrix<double, 6, 6> H = Eigen::Matrix<double, 6, 6>::Zero();
Vector6d b = Vector6d::Zero();
cost = 0;
// compute cost
for (int i = 0; i < points_3d.size(); i++) {
Eigen::Vector3d pc = pose * points_3d[i];
double inv_z = 1.0 / pc[2];
double inv_z2 = inv_z * inv_z;
Eigen::Vector2d proj(fx * pc[0] / pc[2] + cx, fy * pc[1] / pc[2] + cy);
Eigen::Vector2d e = points_2d[i] - proj;
cost += e.squaredNorm();
Eigen::Matrix<double, 2, 6> J;
J << -fx * inv_z,
0,
fx * pc[0] * inv_z2,
fx * pc[0] * pc[1] * inv_z2,
-fx - fx * pc[0] * pc[0] * inv_z2,
fx * pc[1] * inv_z,
0,
-fy * inv_z,
fy * pc[1] * inv_z2,
fy + fy * pc[1] * pc[1] * inv_z2,
-fy * pc[0] * pc[1] * inv_z2,
-fy * pc[0] * inv_z;
H += J.transpose() * J;
b += -J.transpose() * e;
}
Vector6d dx;
dx = H.ldlt().solve(b);
if (isnan(dx[0])) {
cout << "result is nan!" << endl;
break;
}
if (iter > 0 && cost >= lastCost) {
// cost increase, update is not good
cout << "cost: " << cost << ", last cost: " << lastCost << endl;
break;
}
// update your estimation
pose = Sophus::SE3d::exp(dx) * pose;
lastCost = cost;
cout << "iteration " << iter << " cost=" << std::setprecision(12) << cost << endl;
if (dx.norm() < 1e-6) {
// converge
break;
}
}
cout << "pose by g-n: \n" << pose.matrix() << endl;
}
/// vertex and edges used in g2o ba
class VertexPose : public g2o::BaseVertex<6, Sophus::SE3d> {
public:
EIGEN_MAKE_ALIGNED_OPERATOR_NEW;
virtual void setToOriginImpl() override {
_estimate = Sophus::SE3d();
}
/// left multiplication on SE3
virtual void oplusImpl(const double *update) override {
Eigen::Matrix<double, 6, 1> update_eigen;
update_eigen << update[0], update[1], update[2], update[3], update[4], update[5];
_estimate = Sophus::SE3d::exp(update_eigen) * _estimate;
}
virtual bool read(istream &in) override {}
virtual bool write(ostream &out) const override {}
};
class EdgeProjection : public g2o::BaseUnaryEdge<2, Eigen::Vector2d, VertexPose> {
public:
EIGEN_MAKE_ALIGNED_OPERATOR_NEW;
EdgeProjection(const Eigen::Vector3d &pos, const Eigen::Matrix3d &K) : _pos3d(pos), _K(K) {}
virtual void computeError() override {
const VertexPose *v = static_cast<VertexPose *> (_vertices[0]);
Sophus::SE3d T = v->estimate();
Eigen::Vector3d pos_pixel = _K * (T * _pos3d);
pos_pixel /= pos_pixel[2];
_error = _measurement - pos_pixel.head<2>();
}
virtual void linearizeOplus() override {
const VertexPose *v = static_cast<VertexPose *> (_vertices[0]);
Sophus::SE3d T = v->estimate();
Eigen::Vector3d pos_cam = T * _pos3d;
double fx = _K(0, 0);
double fy = _K(1, 1);
double cx = _K(0, 2);
double cy = _K(1, 2);
double X = pos_cam[0];
double Y = pos_cam[1];
double Z = pos_cam[2];
double Z2 = Z * Z;
_jacobianOplusXi
<< -fx / Z, 0, fx * X / Z2, fx * X * Y / Z2, -fx - fx * X * X / Z2, fx * Y / Z,
0, -fy / Z, fy * Y / (Z * Z), fy + fy * Y * Y / Z2, -fy * X * Y / Z2, -fy * X / Z;
}
virtual bool read(istream &in) override {}
virtual bool write(ostream &out) const override {}
private:
Eigen::Vector3d _pos3d;
Eigen::Matrix3d _K;
};
void bundleAdjustmentG2O(
const VecVector3d &points_3d,
const VecVector2d &points_2d,
const Mat &K,
Sophus::SE3d &pose) {
// 构建图优化,先设定g2o
typedef g2o::BlockSolver<g2o::BlockSolverTraits<6, 3>> BlockSolverType; // pose is 6, landmark is 3
typedef g2o::LinearSolverDense<BlockSolverType::PoseMatrixType> LinearSolverType; // 线性求解器类型
// 梯度下降方法,可以从GN, LM, DogLeg 中选
auto solver = new g2o::OptimizationAlgorithmGaussNewton(
g2o::make_unique<BlockSolverType>(g2o::make_unique<LinearSolverType>()));
g2o::SparseOptimizer optimizer; // 图模型
optimizer.setAlgorithm(solver); // 设置求解器
optimizer.setVerbose(true); // 打开调试输出
// vertex
VertexPose *vertex_pose = new VertexPose(); // camera vertex_pose
vertex_pose->setId(0);
vertex_pose->setEstimate(Sophus::SE3d());
optimizer.addVertex(vertex_pose);
// K
Eigen::Matrix3d K_eigen;
K_eigen <<
K.at<double>(0, 0), K.at<double>(0, 1), K.at<double>(0, 2),
K.at<double>(1, 0), K.at<double>(1, 1), K.at<double>(1, 2),
K.at<double>(2, 0), K.at<double>(2, 1), K.at<double>(2, 2);
// edges
int index = 1;
for (size_t i = 0; i < points_2d.size(); ++i) {
auto p2d = points_2d[i];
auto p3d = points_3d[i];
EdgeProjection *edge = new EdgeProjection(p3d, K_eigen);
edge->setId(index);
edge->setVertex(0, vertex_pose);
edge->setMeasurement(p2d);
edge->setInformation(Eigen::Matrix2d::Identity());
optimizer.addEdge(edge);
index++;
}
chrono::steady_clock::time_point t1 = chrono::steady_clock::now();
optimizer.setVerbose(true);
optimizer.initializeOptimization();
optimizer.optimize(10);
chrono::steady_clock::time_point t2 = chrono::steady_clock::now();
chrono::duration<double> time_used = chrono::duration_cast<chrono::duration<double>>(t2 - t1);
cout << "optimization costs time: " << time_used.count() << " seconds." << endl;
cout << "pose estimated by g2o =\n" << vertex_pose->estimate().matrix() << endl;
pose = vertex_pose->estimate();
}
代码中使用三种方法求解PnP问题,分别是调用OpenCV内置函数直接求解,手写高斯牛顿法来迭代求解以及使用g2o图优化来求解。
二. 3D-3D:ICP
最后是3D到3D的位姿估计,这个需要我们有一组配对好的3D点:
假设两组3D点之间的位姿变化为R和t,使得:
这个问题可以利用ICP(Iterative Closest Point)求解。在3D-3D位姿估计问题中,并没有出现相机模型,说明3D-3D问题是不需要考虑相机模型的。同时ICP一般是解决未知3D点匹配关系情况下求解的算法,就像他的名字一样,默认距离近的点为匹配点,这种情况一般出现在激光点云的匹配中,但是在视觉中匹配关系是已经给出的,所以整个问题难度就降低了很多。 在RGB-D SLAM中,一般采用这种方式估计相机位姿。
和PnP问题类似,ICP的求解也分为两种方式:利用线性代数的求解(主要为SVD)和利用非线性优化的方法求解(类似于Bundle Adjustment)。
2.1 SVD方法
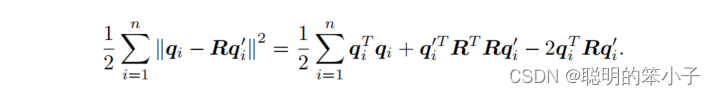
首先根据前面提到的先定义误差项:

然后构建最小二乘问题,求使得误差平方和达到极小的R和t
求解这个问题可以分为三个步骤:
第一步是定义两组空间点的质心:
然后在误差函数中作如下处理
在末尾部分中,代表第i个点减去质心的差值,在求和之后的结果为零,可以省去,那么问题就简化为:

左项只跟旋转矩阵R有关系,而右边既有R,也有t,但是只跟质心有关。因此可以优先计算左项,得到R后代入右项,令等式为0就可以计算出t。因此,如何解R才是关键,展开R的误差项,得:
第一项与R无关,第二项有,也跟R无关,因此优化函数可以变为:

通过SVD解上面出最优解R,关于具体的证明需要参考文献,这里给结果。定义矩阵:
W是一个3*3的矩阵,对W进行SVD分解,得:

其中,是奇异值组成的对角矩阵,对角元素从大到小排列,而
和
为正交矩阵。当W为满秩时,R为:
得到R后,代入之前的式子就可以得到。
2.2 非线性优化方法
另一种方法时可以通过构建非线性问题,以迭代方式来求解最优的位姿估计。非线性优化问题目标函数为:

使用非线性优化方法的话需要求解误差关于待优化变量的雅可比矩阵
经过迭代,就能找到误差为极小值时对应的相机位姿。ICP问题存在唯一或则无穷多解。在唯一解的情况下,那么找到的极小值就是最优值。这里的ICP解决的是匹配点已知的情况下,进行位姿估计的。但是实际上匹配已知的情况下,最小二乘法就具有解析解,没有必要进行迭代优化。ICP更多用在匹配未知的情况下,不过子啊RGB-D SLAM中,由于一个像素的深度数据可能测不到,需要混合使用PnP和ICP优化:对于深度已知的特征点,用建模3D-3D误差;对于深度未知的特征点,建模3D-2D的重投影误差。这样所有的误差放在同一个问题,鲁棒性更强。
2.3 代码实践
书中的代码分别使用了基于SVD法的ICP和非线性优化方法来求解ICP问题。代码如下:
#include <iostream>
#include <opencv2/core/core.hpp>
#include <opencv2/features2d/features2d.hpp>
#include <opencv2/highgui/highgui.hpp>
#include <opencv2/calib3d/calib3d.hpp>
#include <Eigen/Core>
#include <Eigen/Dense>
#include <Eigen/Geometry>
#include <Eigen/SVD>
#include <g2o/core/base_vertex.h>
#include <g2o/core/base_unary_edge.h>
#include <g2o/core/block_solver.h>
#include <g2o/core/optimization_algorithm_gauss_newton.h>
#include <g2o/core/optimization_algorithm_levenberg.h>
#include <g2o/solvers/dense/linear_solver_dense.h>
#include <chrono>
#include <sophus/se3.hpp>
using namespace std;
using namespace cv;
void find_feature_matches(
const Mat &img_1, const Mat &img_2,
std::vector<KeyPoint> &keypoints_1,
std::vector<KeyPoint> &keypoints_2,
std::vector<DMatch> &matches);
// 像素坐标转相机归一化坐标
Point2d pixel2cam(const Point2d &p, const Mat &K);
void pose_estimation_3d3d(
const vector<Point3f> &pts1,
const vector<Point3f> &pts2,
Mat &R, Mat &t
);
void bundleAdjustment(
const vector<Point3f> &points_3d,
const vector<Point3f> &points_2d,
Mat &R, Mat &t
);
/// vertex and edges used in g2o ba
class VertexPose : public g2o::BaseVertex<6, Sophus::SE3d> {
public:
EIGEN_MAKE_ALIGNED_OPERATOR_NEW;
virtual void setToOriginImpl() override {
_estimate = Sophus::SE3d();
}
/// left multiplication on SE3
virtual void oplusImpl(const double *update) override {
Eigen::Matrix<double, 6, 1> update_eigen;
update_eigen << update[0], update[1], update[2], update[3], update[4], update[5];
_estimate = Sophus::SE3d::exp(update_eigen) * _estimate;
}
virtual bool read(istream &in) override {}
virtual bool write(ostream &out) const override {}
};
/// g2o edge
class EdgeProjectXYZRGBDPoseOnly : public g2o::BaseUnaryEdge<3, Eigen::Vector3d, VertexPose> {
public:
EIGEN_MAKE_ALIGNED_OPERATOR_NEW;
EdgeProjectXYZRGBDPoseOnly(const Eigen::Vector3d &point) : _point(point) {}
virtual void computeError() override {
const VertexPose *pose = static_cast<const VertexPose *> ( _vertices[0] );
_error = _measurement - pose->estimate() * _point;
}
virtual void linearizeOplus() override {
VertexPose *pose = static_cast<VertexPose *>(_vertices[0]);
Sophus::SE3d T = pose->estimate();
Eigen::Vector3d xyz_trans = T * _point;
_jacobianOplusXi.block<3, 3>(0, 0) = -Eigen::Matrix3d::Identity();
_jacobianOplusXi.block<3, 3>(0, 3) = Sophus::SO3d::hat(xyz_trans);
}
bool read(istream &in) {}
bool write(ostream &out) const {}
protected:
Eigen::Vector3d _point;
};
int main(int argc, char **argv) {
if (argc != 5) {
cout << "usage: pose_estimation_3d3d img1 img2 depth1 depth2" << endl;
return 1;
}
//-- 读取图像
Mat img_1 = imread(argv[1], CV_LOAD_IMAGE_COLOR);
Mat img_2 = imread(argv[2], CV_LOAD_IMAGE_COLOR);
vector<KeyPoint> keypoints_1, keypoints_2;
vector<DMatch> matches;
find_feature_matches(img_1, img_2, keypoints_1, keypoints_2, matches);
cout << "一共找到了" << matches.size() << "组匹配点" << endl;
// 建立3D点
Mat depth1 = imread(argv[3], CV_LOAD_IMAGE_UNCHANGED); // 深度图为16位无符号数,单通道图像
Mat depth2 = imread(argv[4], CV_LOAD_IMAGE_UNCHANGED); // 深度图为16位无符号数,单通道图像
Mat K = (Mat_<double>(3, 3) << 520.9, 0, 325.1, 0, 521.0, 249.7, 0, 0, 1);
vector<Point3f> pts1, pts2;
for (DMatch m:matches) {
ushort d1 = depth1.ptr<unsigned short>(int(keypoints_1[m.queryIdx].pt.y))[int(keypoints_1[m.queryIdx].pt.x)];
ushort d2 = depth2.ptr<unsigned short>(int(keypoints_2[m.trainIdx].pt.y))[int(keypoints_2[m.trainIdx].pt.x)];
if (d1 == 0 || d2 == 0) // bad depth
continue;
Point2d p1 = pixel2cam(keypoints_1[m.queryIdx].pt, K);
Point2d p2 = pixel2cam(keypoints_2[m.trainIdx].pt, K);
float dd1 = float(d1) / 5000.0;
float dd2 = float(d2) / 5000.0;
pts1.push_back(Point3f(p1.x * dd1, p1.y * dd1, dd1));
pts2.push_back(Point3f(p2.x * dd2, p2.y * dd2, dd2));
}
cout << "3d-3d pairs: " << pts1.size() << endl;
Mat R, t;
pose_estimation_3d3d(pts1, pts2, R, t);
cout << "ICP via SVD results: " << endl;
cout << "R = " << R << endl;
cout << "t = " << t << endl;
cout << "R_inv = " << R.t() << endl;
cout << "t_inv = " << -R.t() * t << endl;
cout << "calling bundle adjustment" << endl;
bundleAdjustment(pts1, pts2, R, t);
// verify p1 = R * p2 + t
for (int i = 0; i < 5; i++) {
cout << "p1 = " << pts1[i] << endl;
cout << "p2 = " << pts2[i] << endl;
cout << "(R*p2+t) = " <<
R * (Mat_<double>(3, 1) << pts2[i].x, pts2[i].y, pts2[i].z) + t
<< endl;
cout << endl;
}
}
void find_feature_matches(const Mat &img_1, const Mat &img_2,
std::vector<KeyPoint> &keypoints_1,
std::vector<KeyPoint> &keypoints_2,
std::vector<DMatch> &matches) {
//-- 初始化
Mat descriptors_1, descriptors_2;
// used in OpenCV3
Ptr<FeatureDetector> detector = ORB::create();
Ptr<DescriptorExtractor> descriptor = ORB::create();
// use this if you are in OpenCV2
// Ptr<FeatureDetector> detector = FeatureDetector::create ( "ORB" );
// Ptr<DescriptorExtractor> descriptor = DescriptorExtractor::create ( "ORB" );
Ptr<DescriptorMatcher> matcher = DescriptorMatcher::create("BruteForce-Hamming");
//-- 第一步:检测 Oriented FAST 角点位置
detector->detect(img_1, keypoints_1);
detector->detect(img_2, keypoints_2);
//-- 第二步:根据角点位置计算 BRIEF 描述子
descriptor->compute(img_1, keypoints_1, descriptors_1);
descriptor->compute(img_2, keypoints_2, descriptors_2);
//-- 第三步:对两幅图像中的BRIEF描述子进行匹配,使用 Hamming 距离
vector<DMatch> match;
// BFMatcher matcher ( NORM_HAMMING );
matcher->match(descriptors_1, descriptors_2, match);
//-- 第四步:匹配点对筛选
double min_dist = 10000, max_dist = 0;
//找出所有匹配之间的最小距离和最大距离, 即是最相似的和最不相似的两组点之间的距离
for (int i = 0; i < descriptors_1.rows; i++) {
double dist = match[i].distance;
if (dist < min_dist) min_dist = dist;
if (dist > max_dist) max_dist = dist;
}
printf("-- Max dist : %f \n", max_dist);
printf("-- Min dist : %f \n", min_dist);
//当描述子之间的距离大于两倍的最小距离时,即认为匹配有误.但有时候最小距离会非常小,设置一个经验值30作为下限.
for (int i = 0; i < descriptors_1.rows; i++) {
if (match[i].distance <= max(2 * min_dist, 30.0)) {
matches.push_back(match[i]);
}
}
}
Point2d pixel2cam(const Point2d &p, const Mat &K) {
return Point2d(
(p.x - K.at<double>(0, 2)) / K.at<double>(0, 0),
(p.y - K.at<double>(1, 2)) / K.at<double>(1, 1)
);
}
void pose_estimation_3d3d(const vector<Point3f> &pts1,
const vector<Point3f> &pts2,
Mat &R, Mat &t) {
Point3f p1, p2; // center of mass
int N = pts1.size();
for (int i = 0; i < N; i++) {
p1 += pts1[i];
p2 += pts2[i];
}
p1 = Point3f(Vec3f(p1) / N);
p2 = Point3f(Vec3f(p2) / N);
vector<Point3f> q1(N), q2(N); // remove the center
for (int i = 0; i < N; i++) {
q1[i] = pts1[i] - p1;
q2[i] = pts2[i] - p2;
}
// compute q1*q2^T
Eigen::Matrix3d W = Eigen::Matrix3d::Zero();
for (int i = 0; i < N; i++) {
W += Eigen::Vector3d(q1[i].x, q1[i].y, q1[i].z) * Eigen::Vector3d(q2[i].x, q2[i].y, q2[i].z).transpose();
}
cout << "W=" << W << endl;
// SVD on W
Eigen::JacobiSVD<Eigen::Matrix3d> svd(W, Eigen::ComputeFullU | Eigen::ComputeFullV);
Eigen::Matrix3d U = svd.matrixU();
Eigen::Matrix3d V = svd.matrixV();
cout << "U=" << U << endl;
cout << "V=" << V << endl;
Eigen::Matrix3d R_ = U * (V.transpose());
if (R_.determinant() < 0) {
R_ = -R_;
}
Eigen::Vector3d t_ = Eigen::Vector3d(p1.x, p1.y, p1.z) - R_ * Eigen::Vector3d(p2.x, p2.y, p2.z);
// convert to cv::Mat
R = (Mat_<double>(3, 3) <<
R_(0, 0), R_(0, 1), R_(0, 2),
R_(1, 0), R_(1, 1), R_(1, 2),
R_(2, 0), R_(2, 1), R_(2, 2)
);
t = (Mat_<double>(3, 1) << t_(0, 0), t_(1, 0), t_(2, 0));
}
void bundleAdjustment(
const vector<Point3f> &pts1,
const vector<Point3f> &pts2,
Mat &R, Mat &t) {
// 构建图优化,先设定g2o
typedef g2o::BlockSolverX BlockSolverType;
typedef g2o::LinearSolverDense<BlockSolverType::PoseMatrixType> LinearSolverType; // 线性求解器类型
// 梯度下降方法,可以从GN, LM, DogLeg 中选
auto solver = new g2o::OptimizationAlgorithmLevenberg(
g2o::make_unique<BlockSolverType>(g2o::make_unique<LinearSolverType>()));
g2o::SparseOptimizer optimizer; // 图模型
optimizer.setAlgorithm(solver); // 设置求解器
optimizer.setVerbose(true); // 打开调试输出
// vertex
VertexPose *pose = new VertexPose(); // camera pose
pose->setId(0);
pose->setEstimate(Sophus::SE3d());
optimizer.addVertex(pose);
// edges
for (size_t i = 0; i < pts1.size(); i++) {
EdgeProjectXYZRGBDPoseOnly *edge = new EdgeProjectXYZRGBDPoseOnly(
Eigen::Vector3d(pts2[i].x, pts2[i].y, pts2[i].z));
edge->setVertex(0, pose);
edge->setMeasurement(Eigen::Vector3d(
pts1[i].x, pts1[i].y, pts1[i].z));
edge->setInformation(Eigen::Matrix3d::Identity());
optimizer.addEdge(edge);
}
chrono::steady_clock::time_point t1 = chrono::steady_clock::now();
optimizer.initializeOptimization();
optimizer.optimize(10);
chrono::steady_clock::time_point t2 = chrono::steady_clock::now();
chrono::duration<double> time_used = chrono::duration_cast<chrono::duration<double>>(t2 - t1);
cout << "optimization costs time: " << time_used.count() << " seconds." << endl;
cout << endl << "after optimization:" << endl;
cout << "T=\n" << pose->estimate().matrix() << endl;
// convert to cv::Mat
Eigen::Matrix3d R_ = pose->estimate().rotationMatrix();
Eigen::Vector3d t_ = pose->estimate().translation();
R = (Mat_<double>(3, 3) <<
R_(0, 0), R_(0, 1), R_(0, 2),
R_(1, 0), R_(1, 1), R_(1, 2),
R_(2, 0), R_(2, 1), R_(2, 2)
);
t = (Mat_<double>(3, 1) << t_(0, 0), t_(1, 0), t_(2, 0));
}
本文详细介绍了从3D-2D匹配点对到3D-3D匹配点对的相机位姿估计方法,包括PnP问题中的直接线性变换(DLS)、P3P算法和EPnP,以及非线性优化的BundleAdjustment。此外,还讨论了3D-3D位姿估计的ICP算法,包括基于SVD和非线性优化的实现,并给出了OpenCV和g2o库的代码示例。这些技术广泛应用于SLAM系统中。
458





