1. 引言
在现代电机控制领域,永磁同步电机(Permanent Magnet Synchronous Motor, PMSM)因其高功率密度、高效率等优异特性而广泛应用。传统的PMSM控制需要安装机械传感器来检测转子位置,这不仅增加了系统成本和复杂度,还降低了可靠性。无位置传感器控制技术由此应运而生,其中基于滑模控制器(Sliding Mode Controller, SMC)的转子位置估计算法以其强鲁棒性和简单实现而备受关注。
滑模控制作为一种特殊的非线性控制策略,对系统参数变化和外部扰动具有天然的不敏感性,这使其特别适合电机控制应用。本文将深入解析基于滑模控制器的转子位置估计算法原理,详细推导其数学模型,分析实现关键问题,并探讨实际应用中的技术要点。
2. 滑模控制基本原理
滑模控制的核心思想是通过设计一个特定的滑模面,使系统状态在有限时间内到达该滑模面,并沿着滑模面向平衡点滑动。在这个过程中,控制系统结构会随着状态轨迹的变化而切换,形成一种"滑模运动"。
考虑一般非线性系统:
![]()
其中 为状态向量,
为控制输入。
滑模控制设计包含两个步骤:
-
滑模面设计:定义滑模面
,其中
-
控制律设计:设计控制输入
,使得系统状态在有限时间内到达滑模面,并满足到达条件:
其中
为正常数。
滑模控制的显著特点是其对于匹配不确定性(即满足 s 形式的不确定性)具有完全鲁棒性,这一特性在电机参数变化和负载扰动等场景中尤为重要。
3. PMSM数学模型与滑模观测器设计
3.1 PMSM数学模型
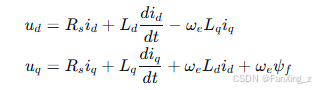
在同步旋转d-q坐标系下,PMSM的电压方程可表示为:

其中 、
为d、q轴电压,
、
为d、q轴电流,
为定子电阻,
、
为d、q轴电感,
为电角速度,
为永磁体磁链。
为设计滑模观测器,通常将模型转换到静止α-β坐标系:

其中反电动势 、
包含转子位置信息:

3.2 滑模观测器设计
基于PMSM在α-β坐标系下的数学模型,可以设计滑模观测器来估计反电动势,进而提取转子位置信息。
定义状态变量 ,控制输入
,则系统方程可写为:
![]()
其中:

设计滑模观测器为:
![]()
其中 为观测电流,
为观测反电动势。
定义电流误差 ,则误差动态方程为:

设计滑模面为:

为实现滑模运动,设计控制输入(观测反电动势)为:
![]()
其中 为滑模增益,sign为符号函数。
根据滑模控制理论,当满足到达条件 时,系统状态将在有限时间内到达滑模面。在滑模面上,等效控制原理表明:

即观测反电动势的等效值等于实际反电动势。
4. 转子位置与速度提取
4.1 基本提取方法
在获得反电动势估计值 、
后,可以通过反正切函数计算转子位置:

电角速度可以通过位置微分得到:

然而,这种方法存在两个主要问题:
-
符号函数引起的高频抖振
-
微分运算放大噪声
4.2 抖振抑制与滤波处理
为抑制滑模控制固有的抖振问题,可以采用以下方法:
边界层方法:用饱和函数或连续函数代替符号函数

其中 为边界层厚度,sat为饱和函数。
低通滤波:由于等效反电动势 是高频开关信号的均值,需要通过低通滤波器提取:

其中为滤波器时间常数。
经过低通滤波后,转子位置估计变为:

4.3 速度估算改进
直接微分位置信号会放大噪声,可以采用锁相环(PLL)或状态观测器来提高速度估计精度。
锁相环方法:

其中 、
为PI控制器参数,
为PLL输出位置。
5. 算法实现与参数整定
5.1 实现步骤
基于滑模观测器的转子位置估计算法实现流程如下:
-
测量三相电流,通过Clark变换得到
、
-
计算电流误差
,
-
根据滑模控制律计算反电动势估计
、
-
对反电动势估计值进行低通滤波
-
通过反正切函数和相位补偿计算转子位置
-
通过PLL或观测器估算转速
-
更新观测器状态,进入下一周期
5.2 参数整定原则
滑模观测器性能主要取决于以下参数:
滑模增益k:需要足够大以保证到达条件,但过大会加剧抖振。通常取 。
边界层厚度φ:需要在抖振和跟踪精度之间权衡。较厚的边界层减少抖振但降低鲁棒性。
滤波器时间常数τ:需要平衡滤波效果和相位延迟。时间常数过大会引入较大相位滞后,影响位置估计精度。
PLL参数: 和
影响速度估计的动态响应和稳定性。
6. 应用挑战与改进策略
6.1 低速区域估计问题
在低速区域,反电动势幅值较小,信噪比低,导致位置估计困难。解决方案包括:
高频注入法:在低速区域切换到高频注入法,利用电机凸极效应估计位置。
混合观测器:设计自适应滑模观测器,根据速度区域调整参数或结构。
6.2 参数敏感性分析
虽然滑模观测器对参数变化具有鲁棒性,但电机参数不匹配仍会影响估计精度:
电阻变化:主要影响低速性能,可以通过在线辨识补偿。
电感饱和:在高负载条件下,电感饱和会引起模型误差,需要设计自适应机制。
磁链变化:温度变化影响永磁体磁链,可以通过热模型或在线估计补偿。
6.3 改进滑模观测器
为进一步提高性能,可以设计高阶滑模观测器或与其他算法结合:
超扭算法:一种二阶滑模算法,可有效抑制抖振而不降低鲁棒性。
自适应滑模观测器:根据运行状态自适应调整滑模增益,平衡抖振和跟踪性能。
模糊滑模观测器:利用模糊逻辑动态调整滑模参数,改善动态性能。
7. 实验验证与性能评估
在实际应用中,基于滑模观测器的转子位置估计算法通常能达到以下性能指标:
-
位置估计精度:在中高速区域(>10%额定转速),电角度误差通常小于5°
-
速度估计精度:稳态误差小于0.5%额定转速
-
动态响应:具有良好的动态跟踪性能,能适应加速、减速和负载变化
-
鲁棒性:对参数变化和负载扰动具有较强的鲁棒性
实验验证应包括以下场景:
-
稳态性能测试
-
动态响应测试(加速、减速)
-
负载突变测试
-
参数敏感性测试
8. 结论
基于滑模控制器的转子位置估计算法是无位置传感器PMSM控制中的一种有效解决方案。该方法通过设计合适的滑模观测器来估计反电动势,进而提取转子位置和速度信息,具有强鲁棒性、简单实现和良好动态性能等优点。
然而,该算法在低速区域估计精度受限,且存在固有的抖振问题。通过结合边界层方法、自适应技术和混合算法,可以显著改善其性能。未来研究方向包括更高阶滑模算法、智能自适应策略以及与其他估计方法的深度融合,以进一步提高全速度范围内的估计精度和鲁棒性。
随着数字信号处理器性能的不断提升和控制理论的发展,基于滑模控制的转子位置估计算法将在工业驱动、电动汽车、航空航天等领域发挥更加重要的作用。

1万+

被折叠的 条评论
为什么被折叠?



