本文详细介绍了误差反向传播(BP)算法。首先通过异或运算神经网络示例详细展示了BP算法的具体计算过程,包括前向传播预测和反向传播学习两个阶段,方便读者理解,然后给出了BP算法的形式化表述,最后,通过PyTorch实现线性回归模型的示例,展示了深度学习框架如何简化BP算法的应用。文中包含完整的数学推导和Python代码实现,验证了BP算法在参数优化中的有效性,为神经网络训练提供了重要理论基础和实践指导。文章还讨论了独热编码方法。
目录
3 误差反向传播学习算法过程形式化描述(理论性强可暂时跳过^~^)
3 误差反向传播学习算法过程形式化描述(理论性强可暂时跳过^~^)
将上节的示例推导过程推广到一般情况。
设BP神经网络共有M+1层,包括输入层和M个隐层(第M个隐层为输出层)。网络输入分量个数为U,输出分量个数为V。其节点编号方法上节示例相同。
设神经元采用的激活函数为。
设训练样本为,其中,输入模型训练的实例向量
,标签向量
。
1)前向传播预测
设第1隐层共有个节点,它们的输出记为
,它们的阈值系数记为
,从输入层到该隐层的连接系数记为
。可得:
设第2隐层共有个节点,它们的输出记为
,它们的阈值系数记为
,从第1隐层到该隐层的连接系数记为
。可得:
其他层按相同的方式标记和计算。依次可前向计算各层输出,直到输出层。输出为。
需要注意的是,所有连接系数和阈值系数在算法运行前都需要指定一个初始值,可采用赋予随机数的方式。
2)反向传播学习
设损失函数采用均方误差。输出层的校对误差记为:
第M-1层的校对误差记为
:
式中右侧的矩阵是第M层输出对第M-1层输出的偏导数排列的矩阵(即第M层输出对第M-1层输出的雅可比矩阵[2]),其中的是第M-1层的节点数。
依次可反向计算各层的校对误差,直到第 1 隐层。
接下来,根据校对误差更新连接系数和阈值系数。对第隐层的第
节点的第
个连接系数
:
其中的计算为:
其中为该节点输入的线性组合部分,
表示
的第
列。上式中,如果出现
,则它表示
,即原始输入。
对该节点的阈值系数:
以上给出了单个训练样本的 BP 算法计算过程。当采用批梯度下降法时,对一批训练样本计算出导数后,取平均数作为下降的梯度。
一般的深度学习框架都内置实现了BP算法,除了进行特别的研究外,一般不需要用户实现或修改BP算法。
4 PyTorch反向传播学习算法应用示例(线性回归)
本专栏第三篇文章里讨论了机器学习(包括深度学习)模型的分类。从应用任务来说,可分为分类、标注、回归等。目前,专栏文章的示例都采用了分类任务模型,本节采用一个简单的回归任务来讨论PyTorch是如何应用反向传播学习算法的。
回归任务的目标是通过对训练样本的学习,得到从样本特征集到连续值之间的映射。如天气预测任务中,预测天气是冷还是热是分类问题,而预测精确的温度值则是回归问题。
当用输入样本的特征的线性组合作为预测值时,就是线性回归(Linear Regression)。线性模型虽然简单,但它在机器学习的发展中起到了很重要的作用,很多复杂模型都是直接或间接将问题转化为线性问题来求解的。
记样本为,其中
为样本的实例,
,
为实例
的第 j 维特征,也直接称为该样本的第j维特征,
为样本的标签,在回归问题中,
是一个无限的连续值。
定义一个包含n个实数变量的集合和一个实数变量
,将样本的特征进行线性组合:
就得到了线性回归模型,用向量表示为:
其中,向量称为回归系数,负责调节各特征的权重,标量
称为偏置,负责调节总体的偏差。显然,在线性回归模型中,回归系数和偏置就是要学习的知识。
当只有 1 个特征时:
式 5-28 中,只有一个自变量,一个因变量,因此它可看作是二维平面上的直线。
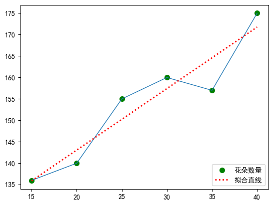
看一个二维平面上的线性回归模型的例子。当温度处于15至40度之间时,数得某块草地上小花朵的数量和温度值的数据如下表所示。现在要来找出这些数据中蕴含的规律,用来预测其他未测温度时的小花朵的数量。
| 温度 | 15 | 20 | 25 | 30 | 35 | 40 |
| 小花朵数量 | 136 | 140 | 155 | 160 | 157 | 175 |
以温度为横坐标,小花朵数量为纵坐标作出如下图所示的点和折线图。

容易看出可以用一条直线(图中的红虚线)来近似该折线。在二维平面上,用直线来逼近数据点,就是线性回归的思想,类似可以推广到高维空间中,如在三维空间中,用平面来逼近数据点。
那么,如何求出线性回归模型中的回归系数和偏置
呢?在此例中,也就是如何求出该直线的斜率和截距。要求出回归系数和偏置,首先要解决评价的问题,也就是哪条线才是最逼近所有数据点的最佳直线。只有确定了标准才能有目的地寻找回归系数和偏置。
对于二维平面上的直线,有两个不重合的点即可确定,仅有一个点无法确定。现在的问题是,点不是少了,而是多了,那怎么解决此问题?一个思路是,让这条直线尽可能地贴近所有点。那怎么来衡量这个“贴近”呢?
在二维平面上,让一条线去尽可能地贴近所有点,直接的想法是使所有点到该直线的距离和最小,使之最小的直线被认为是最“好”的。

距离计算起来比较麻烦,一般采用更容易计算的残差
:
式中,是拟采用的直线,如上图所示。容易理解,残差
与距离
之间存在等比例关系。因此,可以用所有点与该直线的残差和
代替距离和
作为衡量“贴近”程度的标准。
式5-29中,为标签值,
为预测值,因此,该定义与本专栏第三篇文章给出的残差的概念是一致的。因为残差需要求绝对值,后续计算时比较麻烦,尤其是在一些需要求导的场合,因此常采用残差的平方作为衡量“贴近”程度的指标。
根据上面的分析,我们可以采用误差平方和SSE或者MSE作为线性回归模型的损失函数,然后采用优化方法调整模型参数使之达到最小,从而得到合适的模型。下面以线性回归模型的求解来示例PyTorch中反向传播学习算法的应用过程,见代码5-2所示。
线性模型采用了torch.nn.Linear()来实现(第21行),它是PyTorch中用于实现线性变换的模块,它接收一个输入张量,通过线性变换输出一个张量。将它设置与输入1维、输出1维,与示例的输入和输出的维度相对应。
在训练过程的前向传播中,通过将样本直接输入模型得到输出(第46行),并计算损失函数(第47行),在反向传播时,先清空之前的梯度,再计算梯度,并更新参数(第50行到第52行)。通过深度学习框架的封装,使得反向传播学习算法的实现变得非常简单,不再需要像代码5-1中那样自己实现,大大降低了深度学习应用的难度,使之得到广泛应用。
代码 5-2 PyTorch中的反向传播学习算法应用示例(线性回归模型)
import torch import torch.nn as nn import torch.optim as optim import numpy as np # 设置随机种子保证可重复性 torch.manual_seed(1201) temperatures = [15, 20, 25, 30, 35, 40] # 温度值 flowers = [136, 140, 155, 160, 157, 175] # 花朵的数量 new_tempera = [18, 22, 33] # 待预测花朵数量的温度值 # 1. 准备数据 X = torch.tensor(temperatures, dtype=torch.float32).view(-1, 1) y = torch.tensor(flowers, dtype=torch.float32).view(-1, 1) X_test = torch.tensor(new_tempera, dtype=torch.float32).view(-1, 1) # 2. 定义线性回归模型 class SimpleLinearModel(nn.Module): def __init__(self): super(SimpleLinearModel, self).__init__() self.linear = nn.Linear(1, 1) # 单层线性层,输入1维,输出1维 def forward(self, x): return self.linear(x) # 3. 初始化模型、损失函数和优化器 model = SimpleLinearModel() criterion = nn.MSELoss() # 均方误差损失 optimizer = optim.SGD(model.parameters(), lr=0.001) # 随机梯度下降优化器 # 打印初始参数 print(f"\n初始参数:") print(f"权重: {model.linear.weight.data.item():.4f}") print(f"偏置: {model.linear.bias.data.item():.4f}") #>>> 初始参数: #>>> 权重: 0.8025 #>>> 偏置: 0.5614 # 4. 训练过程 - 核心的反向传播学习 epochs = 50000 print("\n开始训练...") for epoch in range(epochs): # 前向传播 outputs = model(X) loss = criterion(outputs, y) # 反向传播 optimizer.zero_grad() # 清空之前的梯度 loss.backward() # 计算梯度(反向传播的核心) optimizer.step() # 更新参数 # 每100轮打印一次训练信息 if (epoch + 1) % 100 == 0: current_weight = model.linear.weight.data.item() current_bias = model.linear.bias.data.item() print(f'Epoch [{epoch+1}/{epochs}], Loss: {loss.item():.6f}, ' f'Weight: {current_weight:.4f}, Bias: {current_bias:.4f}') #>>> 开始训练... #>>> Epoch [100/50000], Loss: 1115.462769, Weight: 5.1394, Bias: 2.6874 #>>> Epoch [200/50000], Loss: 1077.560547, Weight: 5.0749, Bias: 4.6329 #>>> Epoch [300/50000], Loss: 1040.966797, Weight: 5.0115, Bias: 6.5445 #>>> Epoch [400/50000], Loss: 1005.637146, Weight: 4.9492, Bias: 8.4229 #>>> Epoch [500/50000], Loss: 971.527100, Weight: 4.8879, Bias: 10.2685 #>>> Epoch [600/50000], Loss: 938.595154, Weight: 4.8278, Bias: 12.0819 #>>> ... #>>> Epoch [49900/50000], Loss: 17.803225, Weight: 1.4350, Bias: 114.3688 #>>> Epoch [50000/50000], Loss: 17.803225, Weight: 1.4350, Bias: 114.3688 # 5. 测试模型 print("\n测试结果:") model.eval() with torch.no_grad(): predictions = model(X_test) for i in range(len(X_test)): print(f"输入温度值: {X_test[i].item():.1f}, 预测花朵数量: {predictions[i].item():.4f}, ") #>>> 测试结果: #>>> 输入温度值: 18.0, 预测花朵数量: 140.1989, #>>> 输入温度值: 22.0, 预测花朵数量: 145.9389, #>>> 输入温度值: 33.0, 预测花朵数量: 161.7240, # 6. 画出代表线性模型的直线,与训练样本进行对比 import matplotlib.pyplot as plt plt.rcParams['font.sans-serif']=['SimHei'] plt.rcParams['axes.unicode_minus']=False plt.scatter(temperatures, flowers, color="green", label="花朵数量", linewidth=2) plt.plot(temperatures,flowers,linewidth=1) plt.plot(temperatures, model(X).detach().numpy(), color="red", label="拟合直线", linewidth=2, linestyle=':') plt.legend(loc='lower right') plt.show()
参考文献
[1] Rumelhart D E, Hinton G E, Williams R J. Learning representations by back-propagating errors[J]. Nature, 1986, 323(6088): 533-536.
[2] 同济大学数学系.多元函数微分法及其应用[M].高等数学:下册,第六版,北京:高等教育出版社,2007:86

9万+

被折叠的 条评论
为什么被折叠?



