探索肥胖对急性医院环境中医疗资源和编码的影响: 一项可行性研究
摘要
肥胖的医疗成本高昂,但目前很少有研究尝试估算为肥胖住院患者提供医院护理的实际成本。本研究旨在检验测量急性期住院患者与肥胖相关的医疗成本及编码数据准确性的可行性。该研究于 2018年6月在澳大利亚昆士兰州一家城市三级医院的单一骨科病房内,开展为期三周的前瞻性观察性研究。研究收集了人口统计学数据、人体测量数据、临床特征、住院费用以及编码数据。所有18名参与者的完整人口统计学、人体测量和临床数据均被成功收集。然而,在研究期间内无法获得医院成本报告和编码数据。参与者招募和数据收集过程资源消耗较大,超过一半的参与者需要行动辅助才能完成人体测量。与非肥胖参与者相比,肥胖参与者(肥胖:体重指数 ≥ 30)显示出更高的医护人员时间和成本,但较大的标准差表明存在较大的方差。所收集的数据表明,急性期住院患者中与肥胖相关的成本和资源使用情况仍需进一步探索。本研究提出了方案优化建议,以提高未来研究中关于为肥胖住院患者提供医院护理实际成本的数据准确性。
关键词 :肥胖;体重指数;医院;医院成本;医疗成本;住院患者
1. 引言
目前超过一半的人口处于超重或肥胖状态,当前的肥胖率自 1975[1]以来几乎增长了两倍。在澳大利亚,肥胖的流行情况也十分严重,约有三分之一的成年人口属于肥胖[2]。这是一个重要的公共卫生问题,因为肥胖是多种合并症(包括糖尿病[3,4],、非酒精性脂肪肝病[5,6],和心血管疾病[7])的已知危险因素。因此,医疗保健系统面临着日益增加的经济负担[8,9]。事实上,据估计澳大利亚约有 11%的医院入院[10]与肥胖相关。
迄今为止,关于急性医院环境中可归因于肥胖的成本的研究有限。现有证据表明,患者的医疗成本和住院时间(LOS)与体重指数(BMI)的增加呈正相关[10–15]。然而,在这些研究中,所采用的方法学以及所调查的医疗成本方面存在显著差异。例如,Bahia 等人 [11]和 Lehnert 等人[15]使用“自上而下”方法计算可归因于肥胖的总住院费用(即从中央层面各项目的总体支出出发,通过公式 [16,17]来估算单位成本),而 Lal 等人 [14]则采用了“自下而上”方法(即利用服务提供者层面的详细支出数据评估单位成本 [18,19])。从急性医院环境的角度来看,“自下而上”方法可能更准确地反映住院费用,因为它能够捕捉到由肥胖相关合并症引起的治疗成本和住院时长的变化[15,19]。在所研究的医疗成本方面,Korda 等人仅研究了住院成本[10],,而 Buchmueller 等人还研究了药品、急诊室就诊和门诊费用 [12]。由于所研究的直接成本组成部分不同,因此很难在各项研究之间进行比较,以确定急性护理环境中肥胖的成本 [8]。可以预期,肥胖还可能增加与设备相关的成本(例如需要吊机、减重病床和轮椅)以及人员配备成本(例如需要额外的时间或工作人员协助活动转移或其他日常生活活动)[20]。然而,迄今为止,据我们所知,尚无研究在估算医疗成本时考虑过可归因于肥胖的设备成本或人员配备时间。这种证据的不一致性和缺乏使得量化肥胖患者在医院护理中哪些具体方面成本更高变得具有挑战性。
在澳大利亚,肥胖症的编码遵循澳大利亚细化诊断相关组(AR‐DRG)[21]。AR‐DRG 作为一种分类系统,通过特定的 DRG 代码将住院患者按所需治疗和护理资源相似的临床状况进行分组。在澳大利亚,准确的临床编码对于公立医院从联邦政府获得资金分配至关重要 [22]。最近对澳大利亚布里斯班三家三级医院进行的一项横断面审计发现,根据体重指数被归类为肥胖的住院患者中,仅有一半的肥胖编码是正确的 [23]。肥胖编码不足的问题也在其他国家被发现,主要是美国 [24–26]。鉴于澳大利亚肥胖患病率不断上升及其相关的医疗成本,有必要调查当前肥胖编码实践所获得的医院资金是否充足。
设计了一项研究方案,旨在探讨在伴有和不伴有肥胖的住院患者样本中,肥胖对急性医院环境下的医疗成本和编码准确性的影响。具体而言,该方案的目标是:(1)验证肥胖患者急性医院入院总成本更高的假设;(2)验证肥胖患者基于活动的资助收入美元的住院总成本更高的假设;(3)确定肥胖与非肥胖患者的医院资源分配“盈利”或“亏损”情况;(4)评估当前针对肥胖患者的肥胖编码实践的准确性。本文提供了该研究方案的详细大纲,包括所有数据(即人口统计学数据、人体测量数据、临床特征、医疗成本和编码数据)的数据收集时间和程序。
本研究的主要目的是从流程、所需资源以及成本结果的差异方面,检验该方案的可行性,旨在为开展更大规模的研究之前的方案优化和样本量计算提供依据。本文详细介绍了拟议的方案,并报告了在单个医院病房的小样本中实施该研究的可行性。
2. 材料与方法
这项前瞻性观察性队列研究于2018年6月在澳大利亚昆士兰州一家拥有1000张床位的大都市三级医院的单个骨科病房内进行了三周。由于最近一次医院审计显示该病房的肥胖患病率高于平均水平,因此被选为本次可行性研究的场所。
2.1. 参与者
参与者为18岁及以上的成年人,且在招募时的住院时间(LOS)少于四天。选择这一标准是为了最大限度提高参与者保留率,因为澳大利亚公立医院的平均住院时长为5.7天[27]。如果参与者怀孕、患有进食障碍、存在认知和/或智力障碍而无法提供知情同意或理解数据收集程序,或在观察日完成数据收集前已出院,则被排除在外。参与者于2018年6月的12个工作日(三周期间)内连续招募。本可行性研究未预先设定样本量目标。研究助理(W.S.Y.T.,营养与饮食学专业大四学生)向参与者提供书面信息(简洁的两页摘要,概述研究要求)以及口头解释。参与者被告知参与是自愿的,可随时退出研究,并明确了解无论是否参与本研究,其医院医疗服务均不会受到影响。研究助理返回与患者协商的时间以回答问题并获得书面知情同意。本研究已获得医院人类研究伦理委员会批准(HREC/18/QRBW/67)。
2.2. 数据收集
收集了患者人口统计学信息(年龄、性别、使用查尔森合并症指数(CCI)评估的合并症[28])、人体测量数据(体重、身高、腰围(WC))以及功能状态(日常生活活动独立性Katz指数(Katz ADL)[29]),如表1所示。对于无法独立活动的患者,由物理治疗师和/或护理人员协助其活动,以便进行人体测量数据的采集。
人员配置和设备的成本通过入院当天对患者护理和设备需求的直接观察进行估算,如表1所示。每天最多选择五名参与者进行观察。在符合条件的参与者超过五名的日子里,优先选择住院时长更长或预计即将出院的参与者,以最大化参与者保留率。观察程序基于Kuys等人[30],提出的行为映射程序,即每位参与者在上午7:30至下午5:30期间每10分钟间隔内被观察1分钟。这意味着每位参与者在10小时期间内共进行了55次独立观察。在每个10分钟观察间隔中,工作人员的存在被记录为10分钟的工作人员‐患者互动时间。人员配置时间被估算到最接近的10分钟。工作人员‐患者互动的持续时间是累积的,即当同一名工作人员出现在两个后续观察时段中时,工作人员‐患者互动的持续时间记录为20分钟。在每个10分钟间隔中记录设备使用情况,并从医院采购服务获取成本。拍摄了设备照片以确保正确分类和计价。所有数据均由单一研究助理(W.S.Y.T.)收集。
每位参与者的住院费用和基于活动的资助收入美元数据来自医院财务部门提供的成本报告。这些报告包括以下数据:(1)住院费用细目(床位日成本、辅助医疗、影像检查、病理学、患者支持服务、药房、外科医生、手术室、门诊诊所),(2)主要诊断,以及(3)分配的基于活动的资助收入美元。需要注意的是,尽管人力成本包含在这些报告中,但这些数据是基于估算(即并非基于实际提供的诊疗服务),且未根据功能障碍或肥胖情况进行调整。肥胖编码数据由健康信息管理部门提供。根据常规做法,健康信息管理部门的行政人员会为符合澳大利亚编码标准(ACS)0002关于附加诊断标准的患者分配肥胖代码;也就是说,病历中有证据表明肥胖影响了患者的管理,具体表现为需要进行以下任何一项:启动、更改或调整治疗方案
治疗;诊断操作;或增加临床护理和/或监测[31]。体重指数达到或超过30时,若无护理方式改变的证据,则不足以将患者编码为肥胖。
数据收集程序的可行性根据表2中所述的“流程”和“资源”进行评估。“流程”指的是基本方案程序(如参与者招募和数据收集)的可行性,而“资源”指的是研究所需的时间、人力资源和设备的可行性[32]。
2.3. 统计方法
采用描述性统计来报告可行性、医护人员时间、设备成本和患者数据(特征、人体测量学和功能状态)。使用直方图评估分布正态性,对于被评估为非正态的数据,报告中位数和四分位距。人员配置成本通过以下公式估算:在场工作人员数量×每小时人员分配成本(澳元) ×与患者互动的持续时间(小时)。每小时人员分配成本基于当前昆士兰卫生的工资标准(访问于2018年6月29日)[39]。每位参与者的体重指数(BMI)通过体重(千克)除以身高(米)的平方计算得出。采用世界卫生组织的BMI分类标准:体重不足(<18.5 kg/m2),正常体重(18.5–24.9 kg/m2),超重(25–29.9 kg/m2),肥胖I级(30–34.9 kg/m2),肥胖II级(35–39.9 kg/m2),肥胖III级(≥40 kg/m2)[40]。腰围(WC)分类标准为:男性≥>94 cm、女性≥>80 cm为超重,男性≥>102 cm、女性≥>88 cm为肥胖[36]。
基于体重指数(BMI),使用独立样本t检验和卡方独立性检验比较了肥胖与非肥胖参与者之间的工作人和设备成本。分析采用IBM SPSS Statistics for Windows,版本25.0(IBM公司,美国纽约阿蒙克)进行。由于样本量较小且研究目的侧重于可行性(而非假设检验[41]),未进行统计显著性检验;相反,这些数据用于探讨平均值和方差,以指导未来研究的设计。
3. 结果
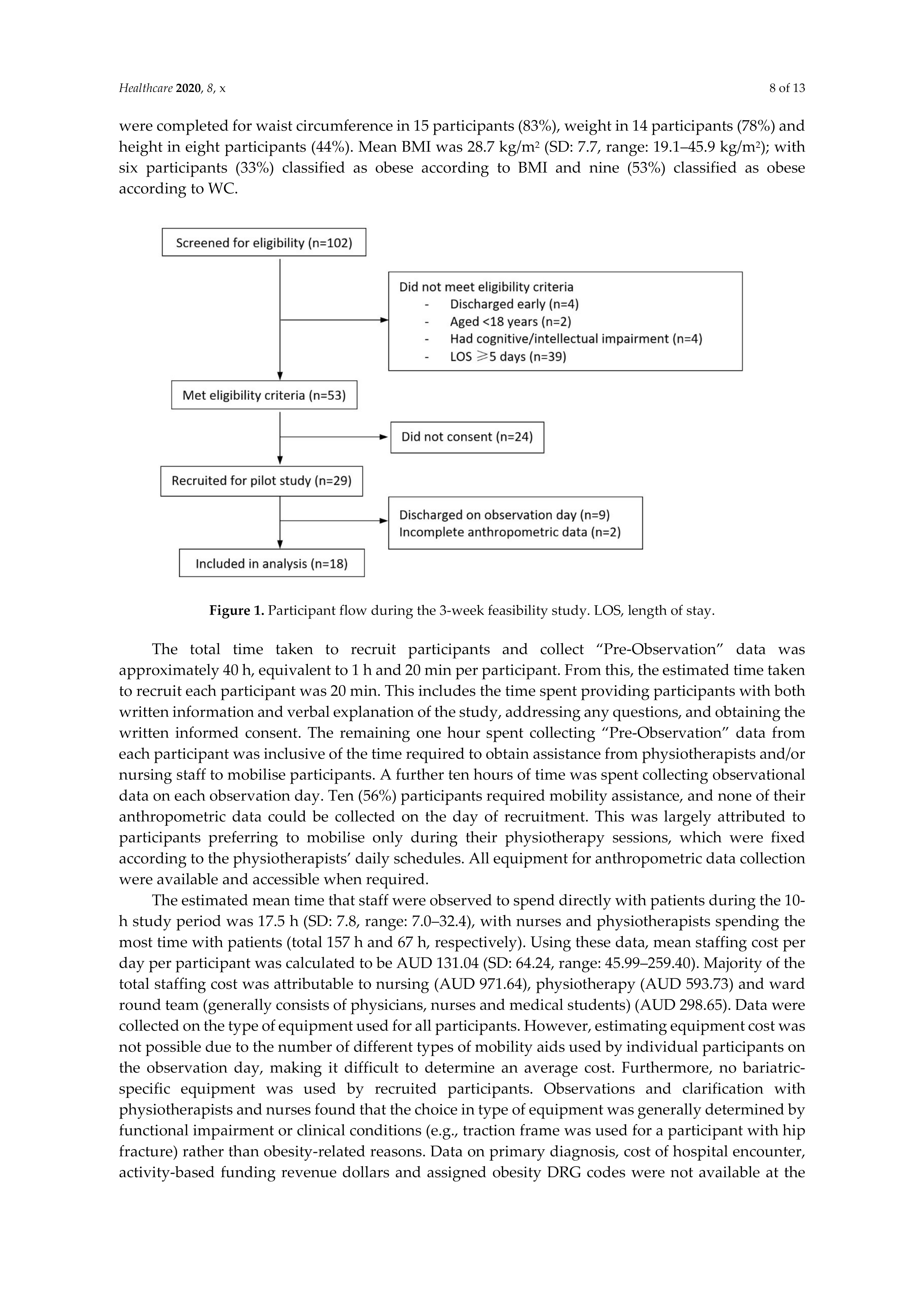
在三周(12个工作日)内,共筛查了102名住院患者,招募了29人(招募率为28%,同意率为 55%,每日平均3人(标准差:1.6))。20名参与者在观察日期间保持住院状态,但仅获得了18套完整的参与者人口统计和临床数据集(保留率为62%)。可行性研究期间的参与者流程见图1。招募时参与者住院时长超过4天是导致不符合资格的最常见原因。在完成招募和数据收集前提前出院是导致保留率降低的最常见原因。表3总结了每个数据项的缺失数据量。金标准测量中,腰围在15名参与者 (83%)中完成,体重在14名参与者(78%)中完成,身高在八名参与者 (44%)。平均体重指数为28.7 kg/m2(标准差:7.7,范围:19.1–45.9 kg/m2);根据体重指数,有六名参与者(33%)被归类为肥胖,根据腰围,有九名参与者(53%)被归类为肥胖。
招募参与者并收集“观察前”数据所花费的总时间约为40小时,相当于每位参与者1小时20分钟。其中,估计每位参与者的招募时间为20分钟,包括向参与者提供有关研究的书面信息和口头解释、解答任何问题以及获取书面知情同意所需的时间。其余约一小时用于从每位参与者处收集“观察前”数据,其中包括为协助参与者活动而寻求物理治疗师和/或护理人员帮助所需的时间。此外,在每个观察日花费了额外十小时进行观察数据收集。十名(56%)参与者需要行动辅助,且他们在招募当天均未能采集人体测量数据。这主要是由于参与者更倾向于仅在物理治疗疗程期间进行活动,而这些疗程是根据物理治疗师的每日时间表固定安排的。所有用于人体测量数据收集的设备在需要时均可用且可获取。
在10小时的研究期间,观察到工作人员直接与患者接触的估计平均时间为17.5小时(标准差: 7.8,范围:7.0–32.4),其中护士和物理治疗师花费的时间最多(分别为157小时和67小时)。根据这些数据,计算出每位参与者每日的人员配置成本为澳元131.04(标准差:64.24,范围:45.99– 259.40)。人员配置成本的大部分来自护理(澳元971.64)、物理治疗(澳元593.73)以及查房团队(通常由医师、护士和医学生组成)(澳元298.65)。收集了所有参与者所用设备类型的数据。然而,由于在观察日各参与者使用的助行器具种类繁多,难以确定平均成本,因此无法估算设备成本。此外,招募的参与者未使用任何肥胖专用设备。通过观察并与物理治疗师和护士确认,发现设备类型的选择通常由功能障碍或临床状况决定(例如,髋部骨折的参与者使用牵引架),而非与肥胖相关的原因。
在数据分析时(研究期结束后四个月),主要诊断、住院就诊费用、基于活动的资助收入美元以及指定的肥胖疾病诊断相关分组代码的数据均不可获得。表2总结了有关流程和所需资源的可行性数据。
比较肥胖与非肥胖患者的住院时间、成本及特征的数据见表4。根据这些初步数据,肥胖参与者相比非肥胖参与者功能状态降低,住院成本增加。相反,非肥胖参与者的查尔森合并症指数似乎高于肥胖参与者。
4. 讨论
本研究旨在确定从急性医院住院患者中招募参与者并收集数据的可行性,以调查与肥胖相关的医疗成本和编码。平均每日参与者招募率为三名,低于每日五名参与者的既定目标。为确保有意义的数据分析所需的足够样本量,可能需要延长数据收集期,和或在多个病房同时开展数据收集工作。未来研究可能需要进一步进行消费者咨询,以确定提高同意率的其他策略;目前的相关证据仅限于临床试验[42],不适用于本研究这类实用性观察性研究。尽管由于提前出院导致参与者保留率相对较低,但仍建议维持当前关于住院时长的纳入标准,即不将“招募时住院时间少于四天”的标准降低。原因是参与者不符合纳入标准的主要情况是其住院时长超过该标准,即住院时长达到五天或更长。
所需的大部分“观察前”数据(表1)均已获取。缺失数据主要是由于资源问题,特别是较短的数据收集期,以及在及时获得物理治疗师和/或护理人员协助以/协助参与者活动方面存在困难,导致数据延迟或缺失。例如,由于活动能力受限,参与者需要协助才能保持直立姿势进行腰围测量。肥胖专家的共识声明指出,如果已计算体重指数,则腰围测量是多余的 [43]。然而,多项研究已确定腰围是与肥胖相关的医疗成本和发病率的独立指标,增加体重指数并未改善或改变研究发现[40,44,45]。因此,目前尚不清楚在研究与肥胖相关的成本和健康影响时,应同时使用还是单独使用体重指数和腰围测量。对于未来研究,建议继续收集这两项测量数据;但仅限于所招募参与者不太可能出现显著活动能力受限从而影响腰围测量准确性的病房。在数据分析时(即可行性研究完成四个月后),无法获取成本报告和编码数据(表1)。尽管预计在出院后约六到八周可获得这些数据,但实际严重延迟。为避免未来研究中出现此类情况,可能需要在研究时间表中额外预留更多时间(例如最长六个月),以确保所有数据均可获取。虽然设备费用信息来自医院采购服务,但由于单个参与者在一天内使用了多种类型的设备,该数据未被纳入分析。未来的数据收集可更集中于减重专用设备与非减重专用设备的使用情况,因为两者之间存在已知的显著成本差异。鉴于减重专用设备使用率较低,且设备选择主要基于功能障碍或临床状况,本研究表明,设备可能并未显著增加肥胖住院患者的医疗成本;但这需在未来研究中进一步验证。此外,还应重视调查肥胖与非肥胖人群在行走困难及移动辅助设备使用方面的任何差异。
研究助理和分配的设备资源是充足的。然而,在及时获得物理治疗师和/或护理人员协助参与者活动方面存在困难。由于超过一半的招募参与者需要行动辅助,建议在未来研究中将选定病房的物理治疗师和/或护理人员纳入项目团队。为研究助理额外分配时间或提供独立完成此项任务的培训,也可能是在未来提高该数据收集效果的策略。采用Kuys等人提出的活动映射方法[30]并非没有局限性。在隐私帘后或关闭的门后(例如更换衣物或使用便盆如厕)需要协助的情况未被记录。这些潜在的重要缺失数据可能导致总工作人员时间和相应成本被显著低估。此外,一些住院患者因检查或预约而离开病房长达半天。累积起来,这些因素导致了有限的观察数据,并可能解释了低估算的平均人力成本。这些问题并未在Kuys等人[30],的研究中进行讨论,而本观察方案正是基于该研究。考虑到以下不可预测的差异:(1)住院患者和医疗专业人员的个体特征;(2)住院患者的临床需求;(3)特定私密场合所需的隐私保护,仅靠观察可能无法提供足够全面的数据来估算人员配置成本,尽管该过程本身资源密集。因此,建议开展进一步调查,探索当前已使用或已被证实有效的方法,以确定医院的人力资源配置需求。在本研究观察到的医疗专业人员中,护理人员和物理治疗师的需求对患者护理的影响最为显著。因此,对护理人员和物理治疗师开展定性调查也可能具有价值,以探究由于肥胖是否在所需时间和人员数量上存在显著差异。另一个考虑是使用实时定位系统(RTLS)追踪员工实时位置以及在病人床边花费的时间。这可能会提高估算医护人员与患者互动的准确性,特别是在无法收集观察数据的私密场合。然而,这也需要额外考虑诸多因素,包括适用于研究场所的RTLS技术选择、实施成本、干扰问题、患者和员工的可接受性以及技术限制[46–48]。
考虑到小样本量(n= 18),双变量分析的结果应谨慎解读。肥胖参与者的人员配置时间及成本似乎更高,但组间显著变异性(由较大的标准差表明)说明此初步数据的研究结果不可靠。为了获得准确的成本估算,需要采用改进的方法并结合更大的样本量重新进行研究。根据本可行性研究收集的成本数据,估计需52名参与者(每组26人)的样本量,通过双样本t检验(假设α为0.05)以80%检验效能检测肥胖与非肥胖住院患者之间成本结果的显著差异。
尽管在数据收集的准确性和完整性方面存在局限性,但本研究首次探讨并描述了在病房层面计算肥胖成本所面临的挑战。此外,本研究强调了研究人员在量化急性期住院患者肥胖成本时需要考虑的若干问题。总体而言,确定了对研究方案的重要修改,为未来研究提供了明确的方向。
5. 结论
在急性医院环境中,衡量和量化肥胖对医护人员时间的成本及影响具有挑战性。与非肥胖患者相比,肥胖住院患者的护理似乎因需要更多的医护人员时间而产生更高的成本。然而,目前的方法可能低估了这些发现。尽管存在这些局限性,但继续开展类似的调查仍然至关重要,因为现有证据强调了肥胖对医疗系统造成的重大经济负担。通过确定因肥胖而增加的住院成本的具体方面,医院可实施有针对性的节约成本的策略,以有效应对这一经济负担。
确保适当的报酬。肥胖编码实践在本研究中尚未得到成功调查,应在未来研究中优先考虑,因为它为与肥胖相关的基础医院资金分配提供依据。关于与肥胖相关的住院成本的更多证据可能凸显重新审视肥胖临床编码标准和实践的必要性。这些对肥胖经济负担的深入认识可使卫生经济学家和政策制定者受益,使其能够倡导政策改进和资源重新分配,以充分满足肥胖住院患者的护理需求。该可行性研究通过提出对研究方案的关键修改,为未来研究中更准确、成功地调查与肥胖相关的医院成本奠定了基础,特别是需考虑采用创新方法,以更全面地获取实际人员配置需求。
作者贡献: 概念化,W.S.Y.T.、A.M.Y.、A.L.D.B.、M.B. 和 T.C.;方法论,W.S.Y.T.、A.M.Y.、A.L.D.B.、 M.B. 和 T.C.;验证,W.S.Y.T.、A.M.Y. 和 A.L.D.B.;正式分析,W.S.Y.T.、A.M.Y. 和 A.L.D.B.;调查, W.S.Y.T.;数据管理,W.S.Y.T.;撰写—初稿准备,W.S.Y.T.;撰写—审阅和编辑,W.S.Y.T.、A.M.Y. 和 A.L.D.B.;可视化,W.S.Y.T. 和 A.M.Y.;监督,A.M.Y. 和 A.L.D.B.;项目管理,W.S.Y.T. 所有作者均已阅读并同意该手稿的发表版本。
资金:本研究未获得外部资金支持。
利益冲突: 作者声明不存在利益冲突。
209

被折叠的 条评论
为什么被折叠?



