注:本文所有地图相关算法,都基于斜45度地图
坐标系篇

1.坐标系转换算法
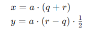
斜45度地图通常采用 菱形网格坐标系(如轴向坐标(q, r))与笛卡尔坐标系(x, y)的转换:

- 菱形网格转笛卡尔坐标

其中a为菱形瓦片的基础边长(宽高比2:1)。
2. 网格化地图系统(Tile-Based Grid)
坐标系设计:将地图划分为菱形网格(Tile),每个Tile赋予唯一坐标。
物体位置通过公式 Index = WIDTH × tileY + tileX 计算索引值,简化服务端同步。
二、Bresenham算法的应用
Bresenham算法在斜45度地图中常用于 直线路径检测 和 视野阻挡判断:

- 路径可行性检测:判断两点间是否存在阻挡物时,利用
Bresenham遍历路径上的菱形网格 - 视线计算:计算行军线经过的网格, 方便通知视野内的观察者
三、AOI(Area of Interest)管理
SLG游戏中的沙盘地图,针对玩家视野的处理,AOI可是一个利器
1. 网格法(九宫格算法):
将地图划分为固定大小的矩形或菱形网格,每个网格管理其内部实体。玩家视野范围通常覆盖自身所在网格及相邻的8个网格(即九宫格)。
- 优点:实现简单,内存占用低;
- 缺点:视野边界处理粗糙,扩展性差
2. 四叉树(Quadtree)
递归地将空间分割为四个象限,每个节点存储实体列表。当节点内实体密度超过阈值时,自动拆分为四个子节点。
- 优点:动态适应密度变化;
- 缺点:实现复杂度高,频繁拆分会增加计算开销
3. 十字链表法
通过双向链表在X/Y轴分别维护实体位置,遍历时仅在坐标轴上查找邻近实体。
- 优点:内存占用极低;
- 缺点:不适合高密度场景

最低0.47元/天 解锁文章

1796

被折叠的 条评论
为什么被折叠?



