✅作者简介:热爱科研的Matlab仿真开发者,擅长数据处理、建模仿真、程序设计、完整代码获取、论文复现及科研仿真。
🍎 往期回顾关注个人主页:Matlab科研工作室
🍊个人信条:格物致知,完整Matlab代码获取及仿真咨询内容私信。
🔥 内容介绍
在全球“双碳”目标引领下,低碳经济已成为能源行业转型发展的核心方向。微网作为分布式能源(光伏、风电、储能等)消纳与高效利用的关键载体,其规模化发展与互联运行是提升能源利用效率、降低碳排放的重要路径。三微网能量互联系统通过打破三个独立微网的运行壁垒,实现各微网间电能、热能等综合能源的互补互济,不仅能提升系统运行的稳定性与可靠性,更能通过全局优化调度降低整体碳排放量,契合低碳经济发展需求,是多微网互联模式中极具代表性与应用价值的基础形态。
当前,三微网能量互联运行面临着诸多现实挑战:一是分布式能源出力具有强随机性与波动性(如光伏出力受光照强度影响、风电出力受风速变化影响),三个微网的能源供需波动叠加,导致全局供需平衡难度加大;二是三微网负荷特性差异显著(如工业微网负荷集中且波动大、居民微网负荷分散且具有时段性、商业微网负荷峰谷特征明显),能量优化分配难度较高;三是低碳目标与经济运行目标存在耦合与冲突,如何在降低碳排放的同时保障三个微网的协同经济收益,成为调度决策的核心难题;四是能量互联环节的传输损耗与设备约束,进一步增加了三微网优化调度的复杂性。因此,构建面向低碳经济运行目标的三微网能量互联优化调度体系,实现能源高效利用、碳排精准管控与经济收益最大化的协同,具有重要的理论与工程意义。
传统的多微网调度方案多侧重于经济运行目标,对碳排放约束的考量不足,难以适配低碳经济发展要求。现有优化算法(如线性规划、粒子群算法)在处理多目标、多约束的复杂多微网调度问题时,存在收敛速度慢、全局优化能力不足、难以平衡多目标冲突等缺陷。在此背景下,亟需构建兼顾低碳与经济的多目标优化调度模型,结合高效的优化算法与先进的调度策略,实现多微网能量互联系统的低碳经济运行,为能源行业低碳转型提供技术支撑。
核心理论基础:多微网能量互联与低碳调度原理
多微网能量互联系统架构与特性
三微网能量互联系统由三个独立微网、能量互联通道、公共储能系统与监控调度中心组成,形成“分布式发电-负荷-储能-互联传输”的协同运行架构。其中,三个独立微网可根据功能定位差异化配置(如工业微网、居民微网、商业微网),各微网均包含分布式能源发电单元(光伏PV、风力发电WT、微型燃气轮机MT等)、本地负荷、本地储能单元(锂电池、飞轮储能等)与可控负荷(可平移负荷、可削减负荷);能量互联通道通过配电网线路、微电网交换机等设备实现三个微网间的电能传输,部分系统还包含热能、冷能等综合能源互联通道;监控调度中心负责采集三个微网的运行数据、制定全局优化调度策略并下发控制指令。
三微网能量互联系统具有三大核心特性:一是能源互补性,通过互联通道实现三个微网间分布式能源出力的互补与负荷的错峰调节,提升能源供需平衡能力,例如光伏资源丰富的居民微网可将多余电能输送至光伏出力不足的工业微网;二是运行灵活性,三个微网可根据自身能源供需状况与调度指令,灵活调整分布式能源出力、储能充放电状态与可控负荷运行模式,形成协同响应;三是多目标耦合性,系统运行涉及三个微网的各自经济收益、全局碳排放量、供电可靠性等多个目标,各目标间存在相互制约关系,如增加清洁能源消纳可降低碳排放,但可能增加储能调节成本与互联传输损耗成本。
低碳经济调度的核心原理与目标体系
低碳经济调度的核心原理是在保障多微网能量互联系统安全稳定运行的前提下,通过优化分布式能源出力分配、储能充放电调度、互联通道功率传输与可控负荷调节,实现低碳目标与经济目标的协同优化。其核心在于构建科学的目标体系与约束条件,通过高效的优化算法求解最优调度方案。
低碳经济调度的目标体系主要包含两大核心目标:一是低碳目标,以系统总碳排放量最小化为核心,重点降低化石能源(如微型燃气轮机、燃煤备用电源)的消耗,提升清洁能源(光伏、风电)的消纳率,碳排放量计算需考虑各发电单元的碳排放系数与出力时长;二是经济目标,以系统总运行成本最小化为核心,涵盖分布式能源发电成本、储能充放电成本、互联通道传输损耗成本、购售电成本与负荷中断损失等。此外,需兼顾供电可靠性目标,通过约束系统供电缺电率,确保各微网负荷的正常供电需求。三大目标相互关联、相互制约,构成多目标优化调度的核心框架。
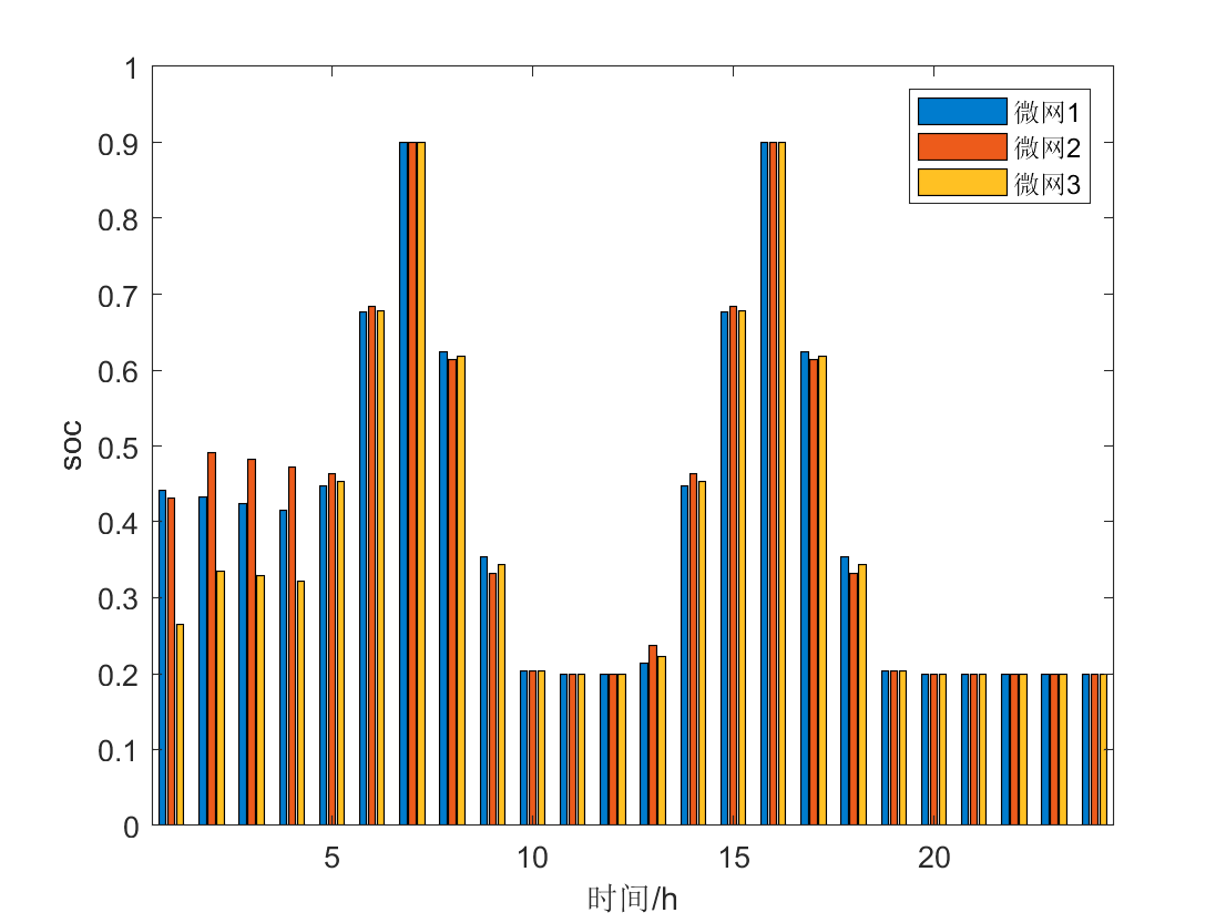
⛳️ 运行结果





📣 部分代码
🔗 参考文献
[1]彭猛.数模混合主动配电网的能量优化管理与电池经济性评价[D].北京交通大学,2017.
🎈 部分理论引用网络文献,若有侵权联系博主删除
👇 关注我领取海量matlab电子书和数学建模资料
🏆团队擅长辅导定制多种科研领域MATLAB仿真,助力科研梦:
🌟 各类智能优化算法改进及应用
生产调度、经济调度、装配线调度、充电优化、车间调度、发车优化、水库调度、三维装箱、物流选址、货位优化、公交排班优化、充电桩布局优化、车间布局优化、集装箱船配载优化、水泵组合优化、解医疗资源分配优化、设施布局优化、可视域基站和无人机选址优化、背包问题、 风电场布局、时隙分配优化、 最佳分布式发电单元分配、多阶段管道维修、 工厂-中心-需求点三级选址问题、 应急生活物质配送中心选址、 基站选址、 道路灯柱布置、 枢纽节点部署、 输电线路台风监测装置、 集装箱调度、 机组优化、 投资优化组合、云服务器组合优化、 天线线性阵列分布优化、CVRP问题、VRPPD问题、多中心VRP问题、多层网络的VRP问题、多中心多车型的VRP问题、 动态VRP问题、双层车辆路径规划(2E-VRP)、充电车辆路径规划(EVRP)、油电混合车辆路径规划、混合流水车间问题、 订单拆分调度问题、 公交车的调度排班优化问题、航班摆渡车辆调度问题、选址路径规划问题、港口调度、港口岸桥调度、停机位分配、机场航班调度、泄漏源定位、冷链、时间窗、多车场等、选址优化、港口岸桥调度优化、交通阻抗、重分配、停机位分配、机场航班调度、通信上传下载分配优化
🌟 机器学习和深度学习时序、回归、分类、聚类和降维
2.1 bp时序、回归预测和分类
2.2 ENS声神经网络时序、回归预测和分类
2.3 SVM/CNN-SVM/LSSVM/RVM支持向量机系列时序、回归预测和分类
2.4 CNN|TCN|GCN卷积神经网络系列时序、回归预测和分类
2.5 ELM/KELM/RELM/DELM极限学习机系列时序、回归预测和分类
2.6 GRU/Bi-GRU/CNN-GRU/CNN-BiGRU门控神经网络时序、回归预测和分类
2.7 ELMAN递归神经网络时序、回归\预测和分类
2.8 LSTM/BiLSTM/CNN-LSTM/CNN-BiLSTM/长短记忆神经网络系列时序、回归预测和分类
2.9 RBF径向基神经网络时序、回归预测和分类
2.10 DBN深度置信网络时序、回归预测和分类
2.11 FNN模糊神经网络时序、回归预测
2.12 RF随机森林时序、回归预测和分类
2.13 BLS宽度学习时序、回归预测和分类
2.14 PNN脉冲神经网络分类
2.15 模糊小波神经网络预测和分类
2.16 时序、回归预测和分类
2.17 时序、回归预测预测和分类
2.18 XGBOOST集成学习时序、回归预测预测和分类
2.19 Transform各类组合时序、回归预测预测和分类
方向涵盖风电预测、光伏预测、电池寿命预测、辐射源识别、交通流预测、负荷预测、股价预测、PM2.5浓度预测、电池健康状态预测、用电量预测、水体光学参数反演、NLOS信号识别、地铁停车精准预测、变压器故障诊断
🌟图像处理方面
图像识别、图像分割、图像检测、图像隐藏、图像配准、图像拼接、图像融合、图像增强、图像压缩感知
🌟 路径规划方面
旅行商问题(TSP)、车辆路径问题(VRP、MVRP、CVRP、VRPTW等)、无人机三维路径规划、无人机协同、无人机编队、机器人路径规划、栅格地图路径规划、多式联运运输问题、 充电车辆路径规划(EVRP)、 双层车辆路径规划(2E-VRP)、 油电混合车辆路径规划、 船舶航迹规划、 全路径规划规划、 仓储巡逻、公交车时间调度、水库调度优化、多式联运优化
🌟 无人机应用方面
无人机路径规划、无人机控制、无人机编队、无人机协同、无人机任务分配、无人机安全通信轨迹在线优化、车辆协同无人机路径规划、
🌟 通信方面
传感器部署优化、通信协议优化、路由优化、目标定位优化、Dv-Hop定位优化、Leach协议优化、WSN覆盖优化、组播优化、RSSI定位优化、水声通信、通信上传下载分配
🌟 信号处理方面
信号识别、信号加密、信号去噪、信号增强、雷达信号处理、信号水印嵌入提取、肌电信号、脑电信号、信号配时优化、心电信号、DOA估计、编码译码、变分模态分解、管道泄漏、滤波器、数字信号处理+传输+分析+去噪、数字信号调制、误码率、信号估计、DTMF、信号检测
🌟电力系统方面
微电网优化、无功优化、配电网重构、储能配置、有序充电、MPPT优化、家庭用电、电/冷/热负荷预测、电力设备故障诊断、电池管理系统(BMS)SOC/SOH估算(粒子滤波/卡尔曼滤波)、 多目标优化在电力系统调度中的应用、光伏MPPT控制算法改进(扰动观察法/电导增量法)、电动汽车充放电优化、微电网日前日内优化、储能优化、家庭用电优化、供应链优化\智能电网分布式能源经济优化调度,虚拟电厂,能源消纳,风光出力,控制策略,多目标优化,博弈能源调度,鲁棒优化
电力系统核心问题经济调度:机组组合、最优潮流、安全约束优化。新能源消纳:风光储协同规划、弃风弃光率量化、爬坡速率约束建模多能耦合系统:电-气-热联合调度、P2G与储能容量配置新型电力系统关键技术灵活性资源:虚拟电厂、需求响应、V2G车网互动、分布式储能优化稳定与控制:惯量支撑策略、低频振荡抑制、黑启动预案设计低碳转型:碳捕集电厂建模、绿氢制备经济性分析、LCOE度电成本核算风光出力预测:LSTM/Transformer时序预测、预测误差场景生成(GAN/蒙特卡洛)不确定性优化:鲁棒优化、随机规划、机会约束建模能源流分析、PSASP复杂电网建模,经济调度,算法优化改进,模型优化,潮流分析,鲁棒优化,创新点,文献复现微电网配电网规划,运行调度,综合能源,混合储能容量配置,平抑风电波动,多目标优化,静态交通流量分配,阶梯碳交易,分段线性化,光伏混合储能VSG并网运行,构网型变流器, 虚拟同步机等包括混合储能HESS:蓄电池+超级电容器,电压补偿,削峰填谷,一次调频,功率指令跟随,光伏储能参与一次调频,功率平抑,直流母线电压控制;MPPT最大功率跟踪控制,构网型储能,光伏,微电网调度优化,新能源,虚拟同同步机,VSG并网,小信号模型
🌟 元胞自动机方面
交通流 人群疏散 病毒扩散 晶体生长 金属腐蚀
🌟 雷达方面
卡尔曼滤波跟踪、航迹关联、航迹融合、SOC估计、阵列优化、NLOS识别
🌟 车间调度
零等待流水车间调度问题NWFSP 、 置换流水车间调度问题PFSP、 混合流水车间调度问题HFSP 、零空闲流水车间调度问题NIFSP、分布式置换流水车间调度问题 DPFSP、阻塞流水车间调度问题BFSP
👇
896

被折叠的 条评论
为什么被折叠?



