✅作者简介:热爱科研的Matlab仿真开发者,擅长数据处理、建模仿真、程序设计、完整代码获取、论文复现及科研仿真。
🍎 往期回顾关注个人主页:Matlab科研工作室
🍊个人信条:格物致知,完整Matlab代码获取及仿真咨询内容私信。
🔥 内容介绍
在导弹武器系统中,轨迹优化是决定打击精度、突防效能与任务成功率的关键核心技术,其核心目标是在满足动力输出、姿态角范围、威胁规避等多重约束的前提下,生成最优飞行轨迹。传统导弹轨迹优化方法普遍采用固定最终时间的优化假设,该模式难以应对实战中目标机动、突发威胁等动态不确定场景的需求;另一方面,微分动态规划(DDP)虽凭借出色的非线性系统优化能力被广泛应用,但在直接处理灵活最终时间约束时,易出现迭代收敛缓慢、优化解精度不足等问题,限制了其在动态轨迹优化场景中的应用效果。针对上述核心痛点,本研究聚焦导弹轨迹优化的实战需求,提出基于灵活最终时间约束微分动态规划(FFT-CDDP)的导弹轨迹优化方案,通过对传统DDP算法的约束重构与流程改进,实现导弹在动态复杂场景下的高精度、高适应性轨迹优化,提升武器系统的实战效能。
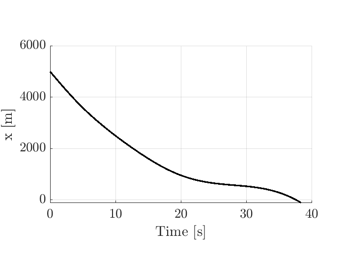
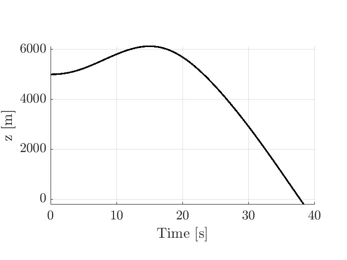
⛳️ 运行结果






📣 部分代码
% This function constructs a cylinder connecting two center points
%
% Usage :
% [Cylinder EndPlate1 EndPlate2] = cylinder3(X1+20,X2,r,n,'r',closed,lines)
%
% Cylinder-------Handle of the cylinder
% EndPlate1------Handle of the Starting End plate
% EndPlate2------Handle of the Ending End plate
% X1 and X2 are the 3x1 vectors of the two points
% r is the radius of the cylinder
% n is the no. of elements on the cylinder circumference (more--> refined)
% cyl_color is the color definition like 'r','b',[0.52 0.52 0.52]
% closed=1 for closed cylinder or 0 for hollow open cylinder
% lines=1 for displaying the line segments on the cylinder 0 for only
% surface
%
% Typical Inputs
% X1=[10 10 10];
% X2=[35 20 40];
% r=1;
% n=20;
% cyl_color='b';
% closed=1;
%
%see more information please go to www.matlabsky.cn
% NOTE: There is a MATLAB function "cylinder" to revolve a curve about an
% axis. This "Cylinder" provides more customization like direction and etc
% Calculating the length of the cylinder
length_cyl=norm(X2-X1);
% Creating a circle in the YZ plane
t=linspace(0,2*pi,n)';
x2=r*cos(t);
x3=r*sin(t);
% Creating the points in the X-Direction
x1=[0 length_cyl];
% Creating (Extruding) the cylinder points in the X-Directions
xx1=repmat(x1,length(x2),1);
xx2=repmat(x2,1,2);
xx3=repmat(x3,1,2);
% Drawing two filled cirlces to close the cylinder
if closed==1
hold on
EndPlate1=fill3(xx1(:,1),xx2(:,1),xx3(:,1),'r');
EndPlate2=fill3(xx1(:,2),xx2(:,2),xx3(:,2),'r');
end
% Plotting the cylinder along the X-Direction with required length starting
% from Origin
Cylinder=mesh(xx1,xx2,xx3);
% Defining Unit vector along the X-direction
unit_Vx=[1 0 0];
% Calulating the angle between the x direction and the required direction
% of cylinder through dot product
angle_X1X2=acos( dot( unit_Vx,(X2-X1) )/( norm(unit_Vx)*norm(X2-X1)) )*180/pi;
% Finding the axis of rotation (single rotation) to roate the cylinder in
% X-direction to the required arbitrary direction through cross product
axis_rot=cross([1 0 0],(X2-X1) );
% Rotating the plotted cylinder and the end plate circles to the required
% angles
if angle_X1X2~=0 % Rotation is not needed if required direction is along X
rotate(Cylinder,axis_rot,angle_X1X2,[0 0 0])
if closed==1
rotate(EndPlate1,axis_rot,angle_X1X2,[0 0 0])
rotate(EndPlate2,axis_rot,angle_X1X2,[0 0 0])
end
end
% Till now cylinder has only been aligned with the required direction, but
% position starts from the origin. so it will now be shifted to the right
% position
if closed==1
set(EndPlate1,'XData',get(EndPlate1,'XData')+X1(1))
set(EndPlate1,'YData',get(EndPlate1,'YData')+X1(2))
set(EndPlate1,'ZData',get(EndPlate1,'ZData')+X1(3))
set(EndPlate2,'XData',get(EndPlate2,'XData')+X1(1))
set(EndPlate2,'YData',get(EndPlate2,'YData')+X1(2))
set(EndPlate2,'ZData',get(EndPlate2,'ZData')+X1(3))
end
set(Cylinder,'XData',get(Cylinder,'XData')+X1(1))
set(Cylinder,'YData',get(Cylinder,'YData')+X1(2))
set(Cylinder,'ZData',get(Cylinder,'ZData')+X1(3))
% Setting the color to the cylinder and the end plates
set(Cylinder,'FaceColor',cyl_color)
if closed==1
set([EndPlate1 EndPlate2],'FaceColor',cyl_color)
else
EndPlate1=[];
EndPlate2=[];
end
set(Cylinder,'FaceAlpha',0.6)
set(EndPlate1,'FaceAlpha',0.6)
set(EndPlate2,'FaceAlpha',0.6)
% If lines are not needed making it disapear
if lines==0
set(Cylinder,'EdgeAlpha',0)
end
🔗 参考文献
[1]王伟,宁东方,张锦.基于能量状态法的飞机节油轨迹优化及其遗传算法实现[J].测控技术, 2006, 25(1):4.DOI:10.3969/j.issn.1000-8829.2006.01.018.
🎈 部分理论引用网络文献,若有侵权联系博主删除
👇 关注我领取海量matlab电子书和数学建模资料
🏆团队擅长辅导定制多种科研领域MATLAB仿真,助力科研梦:
🌟 各类智能优化算法改进及应用
生产调度、经济调度、装配线调度、充电优化、车间调度、发车优化、水库调度、三维装箱、物流选址、货位优化、公交排班优化、充电桩布局优化、车间布局优化、集装箱船配载优化、水泵组合优化、解医疗资源分配优化、设施布局优化、可视域基站和无人机选址优化、背包问题、 风电场布局、时隙分配优化、 最佳分布式发电单元分配、多阶段管道维修、 工厂-中心-需求点三级选址问题、 应急生活物质配送中心选址、 基站选址、 道路灯柱布置、 枢纽节点部署、 输电线路台风监测装置、 集装箱调度、 机组优化、 投资优化组合、云服务器组合优化、 天线线性阵列分布优化、CVRP问题、VRPPD问题、多中心VRP问题、多层网络的VRP问题、多中心多车型的VRP问题、 动态VRP问题、双层车辆路径规划(2E-VRP)、充电车辆路径规划(EVRP)、油电混合车辆路径规划、混合流水车间问题、 订单拆分调度问题、 公交车的调度排班优化问题、航班摆渡车辆调度问题、选址路径规划问题、港口调度、港口岸桥调度、停机位分配、机场航班调度、泄漏源定位、冷链、时间窗、多车场等、选址优化、港口岸桥调度优化、交通阻抗、重分配、停机位分配、机场航班调度、通信上传下载分配优化
🌟 机器学习和深度学习时序、回归、分类、聚类和降维
2.1 bp时序、回归预测和分类
2.2 ENS声神经网络时序、回归预测和分类
2.3 SVM/CNN-SVM/LSSVM/RVM支持向量机系列时序、回归预测和分类
2.4 CNN|TCN|GCN卷积神经网络系列时序、回归预测和分类
2.5 ELM/KELM/RELM/DELM极限学习机系列时序、回归预测和分类
2.6 GRU/Bi-GRU/CNN-GRU/CNN-BiGRU门控神经网络时序、回归预测和分类
2.7 ELMAN递归神经网络时序、回归\预测和分类
2.8 LSTM/BiLSTM/CNN-LSTM/CNN-BiLSTM/长短记忆神经网络系列时序、回归预测和分类
2.9 RBF径向基神经网络时序、回归预测和分类
2.10 DBN深度置信网络时序、回归预测和分类
2.11 FNN模糊神经网络时序、回归预测
2.12 RF随机森林时序、回归预测和分类
2.13 BLS宽度学习时序、回归预测和分类
2.14 PNN脉冲神经网络分类
2.15 模糊小波神经网络预测和分类
2.16 时序、回归预测和分类
2.17 时序、回归预测预测和分类
2.18 XGBOOST集成学习时序、回归预测预测和分类
2.19 Transform各类组合时序、回归预测预测和分类
方向涵盖风电预测、光伏预测、电池寿命预测、辐射源识别、交通流预测、负荷预测、股价预测、PM2.5浓度预测、电池健康状态预测、用电量预测、水体光学参数反演、NLOS信号识别、地铁停车精准预测、变压器故障诊断
🌟图像处理方面
图像识别、图像分割、图像检测、图像隐藏、图像配准、图像拼接、图像融合、图像增强、图像压缩感知
🌟 路径规划方面
旅行商问题(TSP)、车辆路径问题(VRP、MVRP、CVRP、VRPTW等)、无人机三维路径规划、无人机协同、无人机编队、机器人路径规划、栅格地图路径规划、多式联运运输问题、 充电车辆路径规划(EVRP)、 双层车辆路径规划(2E-VRP)、 油电混合车辆路径规划、 船舶航迹规划、 全路径规划规划、 仓储巡逻、公交车时间调度、水库调度优化、多式联运优化
🌟 无人机应用方面
无人机路径规划、无人机控制、无人机编队、无人机协同、无人机任务分配、无人机安全通信轨迹在线优化、车辆协同无人机路径规划、
🌟 通信方面
传感器部署优化、通信协议优化、路由优化、目标定位优化、Dv-Hop定位优化、Leach协议优化、WSN覆盖优化、组播优化、RSSI定位优化、水声通信、通信上传下载分配
🌟 信号处理方面
信号识别、信号加密、信号去噪、信号增强、雷达信号处理、信号水印嵌入提取、肌电信号、脑电信号、信号配时优化、心电信号、DOA估计、编码译码、变分模态分解、管道泄漏、滤波器、数字信号处理+传输+分析+去噪、数字信号调制、误码率、信号估计、DTMF、信号检测
🌟电力系统方面
微电网优化、无功优化、配电网重构、储能配置、有序充电、MPPT优化、家庭用电、电/冷/热负荷预测、电力设备故障诊断、电池管理系统(BMS)SOC/SOH估算(粒子滤波/卡尔曼滤波)、 多目标优化在电力系统调度中的应用、光伏MPPT控制算法改进(扰动观察法/电导增量法)、电动汽车充放电优化、微电网日前日内优化、储能优化、家庭用电优化、供应链优化\智能电网分布式能源经济优化调度,虚拟电厂,能源消纳,风光出力,控制策略,多目标优化,博弈能源调度,鲁棒优化
电力系统核心问题经济调度:机组组合、最优潮流、安全约束优化。新能源消纳:风光储协同规划、弃风弃光率量化、爬坡速率约束建模多能耦合系统:电-气-热联合调度、P2G与储能容量配置新型电力系统关键技术灵活性资源:虚拟电厂、需求响应、V2G车网互动、分布式储能优化稳定与控制:惯量支撑策略、低频振荡抑制、黑启动预案设计低碳转型:碳捕集电厂建模、绿氢制备经济性分析、LCOE度电成本核算风光出力预测:LSTM/Transformer时序预测、预测误差场景生成(GAN/蒙特卡洛)不确定性优化:鲁棒优化、随机规划、机会约束建模能源流分析、PSASP复杂电网建模,经济调度,算法优化改进,模型优化,潮流分析,鲁棒优化,创新点,文献复现微电网配电网规划,运行调度,综合能源,混合储能容量配置,平抑风电波动,多目标优化,静态交通流量分配,阶梯碳交易,分段线性化,光伏混合储能VSG并网运行,构网型变流器, 虚拟同步机等包括混合储能HESS:蓄电池+超级电容器,电压补偿,削峰填谷,一次调频,功率指令跟随,光伏储能参与一次调频,功率平抑,直流母线电压控制;MPPT最大功率跟踪控制,构网型储能,光伏,微电网调度优化,新能源,虚拟同同步机,VSG并网,小信号模型
🌟 元胞自动机方面
交通流 人群疏散 病毒扩散 晶体生长 金属腐蚀
🌟 雷达方面
卡尔曼滤波跟踪、航迹关联、航迹融合、SOC估计、阵列优化、NLOS识别
🌟 车间调度
零等待流水车间调度问题NWFSP 、 置换流水车间调度问题PFSP、 混合流水车间调度问题HFSP 、零空闲流水车间调度问题NIFSP、分布式置换流水车间调度问题 DPFSP、阻塞流水车间调度问题BFSP
👇
871

被折叠的 条评论
为什么被折叠?



