✅作者简介:热爱科研的Matlab仿真开发者,擅长数据处理、建模仿真、程序设计、完整代码获取、论文复现及科研仿真。
🍎 往期回顾关注个人主页:Matlab科研工作室
🍊个人信条:格物致知,完整Matlab代码及仿真咨询内容私信。
🔥 内容介绍
倾斜旋翼六旋翼飞行器作为一种融合固定翼与多旋翼优势的新型无人飞行器(UAV),通过 6 个可独立倾转的旋翼单元,既具备多旋翼垂直起降、悬停的灵活性,又能通过旋翼倾转实现高速前飞,在物流运输、电力巡检、应急救援等场景中展现出广阔应用前景。然而,该飞行器属于典型的多体系统,存在旋翼倾转机构与机身的多体耦合、重力场下的非线性动力学特性、复杂工况下的控制失稳风险等关键问题 —— 其中,重力补偿的精准性直接决定动力学模型的精度,最优控制策略则是实现多模态飞行稳定切换的核心。
现有研究多聚焦于传统多旋翼的线性控制或固定翼的姿态调节,针对倾斜旋翼六旋翼多体耦合特性的动力学建模、面向全飞行模态的重力补偿机制,以及兼顾能耗与稳定性的最优控制设计仍存在空白。本文以多体系统动力学理论为基础,构建倾斜旋翼六旋翼的完整动力学模型,提出自适应重力补偿方法,设计基于模型预测控制(MPC)的最优控制策略,并通过仿真与半物理实验验证方案的有效性,为该类飞行器的工程化应用提供理论支撑。
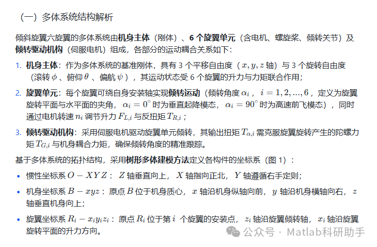
二、倾斜旋翼六旋翼飞行器的多体系统结构与动力学建模



三、多体系统动力学的重力补偿机制
重力作为影响飞行器动力学特性的恒定外力,其补偿精度直接决定模型误差 —— 尤其在悬停或低速飞行时,若重力未被精准补偿,会导致机身垂向漂移;而旋翼倾转时,重力在机身坐标系下的投影分量变化,进一步增加补偿难度。本文提出自适应重力补偿方法,分为 “模型前馈补偿” 与 “误差自适应修正” 两部分。


四、面向多模态飞行的最优控制策略设计
倾斜旋翼六旋翼需在垂直起降、悬停、过渡、前飞四种模态间切换,控制目标需兼顾姿态稳定、轨迹跟踪、能耗最优与模态切换平滑性。基于模型预测控制(MPC)的滚动时域优化特性,设计多目标最优控制策略。


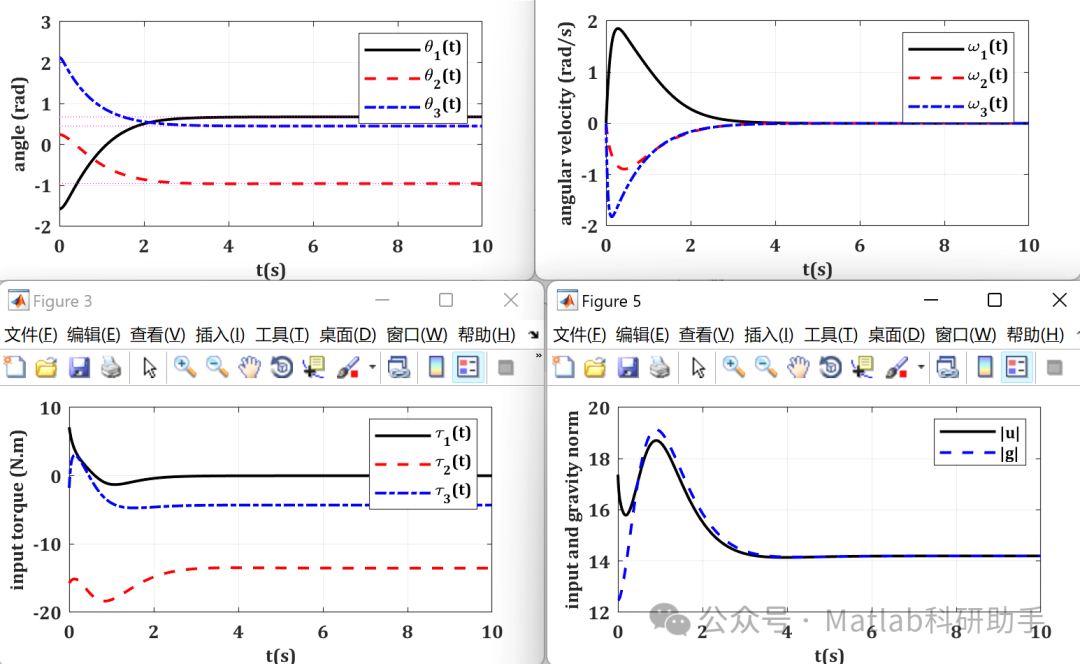
⛳️ 运行结果






🔗 参考文献
[1] 姚燕生.三维重力补偿方法与空间浮游目标模拟实验装置研究[D].中国科学技术大学,2006.DOI:CNKI:CDMD:1.2007.020902.
[2] 姚燕生,梅涛,Ming Liu,等.悬挂式重力补偿系统精密跟踪方法[J].哈尔滨工业大学学报, 2009, 41(11):4.DOI:CNKI:SUN:HEBX.0.2009-11-046.
[3] 陆启孟.考虑偏差和落角约束的制导律研究[D].哈尔滨工程大学,2022.
📣 部分代码
🎈 部分理论引用网络文献,若有侵权联系博主删除
👇 关注我领取海量matlab电子书和数学建模资料
🏆团队擅长辅导定制多种科研领域MATLAB仿真,助力科研梦:
🌈 各类智能优化算法改进及应用
生产调度、经济调度、装配线调度、充电优化、车间调度、发车优化、水库调度、三维装箱、物流选址、货位优化、公交排班优化、充电桩布局优化、车间布局优化、集装箱船配载优化、水泵组合优化、解医疗资源分配优化、设施布局优化、可视域基站和无人机选址优化、背包问题、 风电场布局、时隙分配优化、 最佳分布式发电单元分配、多阶段管道维修、 工厂-中心-需求点三级选址问题、 应急生活物质配送中心选址、 基站选址、 道路灯柱布置、 枢纽节点部署、 输电线路台风监测装置、 集装箱调度、 机组优化、 投资优化组合、云服务器组合优化、 天线线性阵列分布优化、CVRP问题、VRPPD问题、多中心VRP问题、多层网络的VRP问题、多中心多车型的VRP问题、 动态VRP问题、双层车辆路径规划(2E-VRP)、充电车辆路径规划(EVRP)、油电混合车辆路径规划、混合流水车间问题、 订单拆分调度问题、 公交车的调度排班优化问题、航班摆渡车辆调度问题、选址路径规划问题、港口调度、港口岸桥调度、停机位分配、机场航班调度、泄漏源定位
🌈 机器学习和深度学习时序、回归、分类、聚类和降维
2.1 bp时序、回归预测和分类
2.2 ENS声神经网络时序、回归预测和分类
2.3 SVM/CNN-SVM/LSSVM/RVM支持向量机系列时序、回归预测和分类
2.4 CNN|TCN|GCN卷积神经网络系列时序、回归预测和分类
2.5 ELM/KELM/RELM/DELM极限学习机系列时序、回归预测和分类
2.6 GRU/Bi-GRU/CNN-GRU/CNN-BiGRU门控神经网络时序、回归预测和分类
2.7 ELMAN递归神经网络时序、回归\预测和分类
2.8 LSTM/BiLSTM/CNN-LSTM/CNN-BiLSTM/长短记忆神经网络系列时序、回归预测和分类
2.9 RBF径向基神经网络时序、回归预测和分类
2.10 DBN深度置信网络时序、回归预测和分类
2.11 FNN模糊神经网络时序、回归预测
2.12 RF随机森林时序、回归预测和分类
2.13 BLS宽度学习时序、回归预测和分类
2.14 PNN脉冲神经网络分类
2.15 模糊小波神经网络预测和分类
2.16 时序、回归预测和分类
2.17 时序、回归预测预测和分类
2.18 XGBOOST集成学习时序、回归预测预测和分类
2.19 Transform各类组合时序、回归预测预测和分类
方向涵盖风电预测、光伏预测、电池寿命预测、辐射源识别、交通流预测、负荷预测、股价预测、PM2.5浓度预测、电池健康状态预测、用电量预测、水体光学参数反演、NLOS信号识别、地铁停车精准预测、变压器故障诊断
🌈图像处理方面
图像识别、图像分割、图像检测、图像隐藏、图像配准、图像拼接、图像融合、图像增强、图像压缩感知
🌈 路径规划方面
旅行商问题(TSP)、车辆路径问题(VRP、MVRP、CVRP、VRPTW等)、无人机三维路径规划、无人机协同、无人机编队、机器人路径规划、栅格地图路径规划、多式联运运输问题、 充电车辆路径规划(EVRP)、 双层车辆路径规划(2E-VRP)、 油电混合车辆路径规划、 船舶航迹规划、 全路径规划规划、 仓储巡逻
🌈 无人机应用方面
无人机路径规划、无人机控制、无人机编队、无人机协同、无人机任务分配、无人机安全通信轨迹在线优化、车辆协同无人机路径规划
🌈 通信方面
传感器部署优化、通信协议优化、路由优化、目标定位优化、Dv-Hop定位优化、Leach协议优化、WSN覆盖优化、组播优化、RSSI定位优化、水声通信、通信上传下载分配
🌈 信号处理方面
信号识别、信号加密、信号去噪、信号增强、雷达信号处理、信号水印嵌入提取、肌电信号、脑电信号、信号配时优化、心电信号、DOA估计、编码译码、变分模态分解、管道泄漏、滤波器、数字信号处理+传输+分析+去噪、数字信号调制、误码率、信号估计、DTMF、信号检测
🌈电力系统方面
微电网优化、无功优化、配电网重构、储能配置、有序充电、MPPT优化、家庭用电
🌈 元胞自动机方面
交通流 人群疏散 病毒扩散 晶体生长 金属腐蚀
🌈 雷达方面
卡尔曼滤波跟踪、航迹关联、航迹融合、SOC估计、阵列优化、NLOS识别
🌈 车间调度
零等待流水车间调度问题NWFSP 、 置换流水车间调度问题PFSP、 混合流水车间调度问题HFSP 、零空闲流水车间调度问题NIFSP、分布式置换流水车间调度问题 DPFSP、阻塞流水车间调度问题BFSP
👇
255

被折叠的 条评论
为什么被折叠?



