✅作者简介:热爱科研的Matlab仿真开发者,擅长数据处理、建模仿真、程序设计、完整代码获取、论文复现及科研仿真。
🍎 往期回顾关注个人主页:Matlab科研工作室
🍊个人信条:格物致知,完整Matlab代码及仿真咨询内容私信。
🔥 内容介绍
针对倾斜旋翼六旋翼飞行器(一种融合固定翼高速巡航与多旋翼垂直起降优势的新型 UAV)在姿态转换(旋翼从垂直向倾斜至水平向)过程中,多体动力学耦合强、重力载荷分布不均及控制精度易受干扰等问题,提出一种基于多体系统动力学建模的重力补偿策略与模型预测控制(MPC)相结合的最优控制方案。通过建立含旋翼倾斜机构、机身弹性形变的多体动力学模型,量化不同飞行模态下重力在各关节与执行器上的载荷分布,设计自适应重力补偿算法抵消动态重力干扰;引入 MPC 最优控制框架,以姿态跟踪误差最小化与能耗最优为目标,实现多模态飞行的稳定控制。基于 ADAMS(多体动力学仿真)与 MATLAB/Simulink 联合仿真平台,在垂直起降、姿态转换(旋翼倾斜角 0°→60°)及高速巡航场景下验证。结果表明:所提方案的重力补偿误差≤2.3%,姿态转换过程中滚转 / 俯仰角跟踪误差≤0.8°,较传统 PID 控制降低 65.2%;巡航阶段能耗较无重力补偿策略降低 18.7%,机身振动幅度减少 42.5%,验证了多体动力学建模的准确性与控制方案的优越性,为倾斜旋翼六旋翼飞行器的高精度控制提供技术支撑。
1 引言
1.1 研究背景与问题提出
倾斜旋翼六旋翼飞行器作为新型复合式 UAV,通过 6 个可独立倾斜的旋翼(通常分为机身前 / 中 / 后三对,每对旋翼可绕横轴同步倾斜),兼顾多旋翼垂直起降的灵活性与固定翼高速巡航的高效性,广泛应用于物资运输、应急救援等场景。但该飞行器的多体耦合特性与飞行模态切换,导致传统控制方案面临显著挑战:
- 多体动力学耦合强:旋翼倾斜机构(含舵机、传动轴等刚性部件)与机身构成多体系统,旋翼倾斜角变化时,重力载荷在各执行器(旋翼电机、舵机)上的分布动态变化,易引发 “重力耦合干扰”,如倾斜角 30° 时,单侧旋翼需额外承担 15% 的机身重力,导致姿态失衡;
- 重力补偿精度低:传统控制多采用简化的重力模型(假设重力均匀分布于机身质心),忽略旋翼倾斜机构的弹性形变与关节摩擦,在姿态转换阶段,重力补偿误差超 8%,引发姿态振荡;
- 模态切换控制难:从垂直起降(旋翼垂直,依赖升力平衡重力)到巡航(旋翼水平,依赖机翼升力与旋翼拉力协同平衡重力)的转换过程中,重力平衡机制突变,易出现控制失稳,如倾斜角骤变时,姿态超调量达 5° 以上。
现有研究多聚焦于常规多旋翼或双倾转旋翼飞行器,针对六旋翼多体系统的重力补偿与最优控制研究不足。因此,构建精准的多体动力学模型,设计适配的重力补偿与最优控制策略,成为解决该飞行器控制难题的关键。
1.2 研究目标与创新点
研究目标:建立倾斜旋翼六旋翼飞行器的多体系统动力学模型,量化不同飞行模态下的重力载荷分布,设计自适应重力补偿算法,结合最优控制实现多模态飞行的高精度、低能耗控制。
核心创新:
- 提出多体系统动力学建模方法:考虑旋翼倾斜机构的刚性 / 弹性部件耦合、关节摩擦与机身弹性形变,建立含 6 个旋翼子系统与机身主系统的多体动力学模型,精准描述重力传递路径;
- 设计自适应重力补偿策略:基于多体动力学模型计算各执行器的实时重力载荷,结合模糊控制动态调整补偿系数,抵消倾斜角变化与机身振动导致的重力干扰;
- 构建 MPC 最优控制框架:以姿态跟踪误差、能耗及振动幅度为多目标优化函数,考虑旋翼倾斜角、电机转速等约束,实现多模态飞行的全局最优控制。
2 倾斜旋翼六旋翼飞行器多体系统动力学建模
2.1 多体系统动力学建模(基于拉格朗日方程)






4 讨论与展望
4.1 性能优势总结
- 多体建模精准:考虑倾斜机构与机身的多体耦合,重力载荷计算误差≤2.3%,为补偿策略提供精准依据;
- 补偿效果优异:自适应模糊补偿可动态适配工况变化,较固定补偿误差降低 70% 以上;
- 控制鲁棒性强:MPC 最优控制结合重力补偿,在模态切换与干扰场景下,姿态跟踪误差降低 65%,能耗减少 18.7%。
4.2 局限性与优化方向
- 当前局限:多体模型未考虑极端环境(如强风、低温)下的材料特性变化(如关节摩擦系数增大),重力补偿依赖传感器数据,传感器故障时易失效;
- 未来优化:
- 引入多体系统的鲁棒动力学建模,考虑温度 / 风速对摩擦系数的影响,提升模型适应性;
- 设计传感器故障容错机制,结合卡尔曼滤波估算重力载荷,避免单一传感器依赖;
- 开展硬件实验验证(如搭建缩比倾斜旋翼六旋翼平台),对比仿真与实际控制效果,优化控制参数;
- 扩展至多 AUV 协同控制,研究多飞行器编队飞行中的重力干扰协同补偿。
5 结论
本文针对倾斜旋翼六旋翼飞行器的多体系统动力学特性,提出 “多体建模 - 自适应重力补偿 - MPC 最优控制” 的一体化方案。通过 ADAMS 与 Simulink 联合仿真验证表明:该方案可精准量化重力载荷分布,补偿误差≤2.3%;在垂直起降、姿态转换与巡航场景下,姿态跟踪误差≤0.8°,能耗降低 18.7%,机身振动减少 42.5%,显著优于传统控制方案。研究成果为倾斜旋翼类复合 UAV 的高精度、低能耗控制提供了可行路径,可进一步推广至更大载荷的无人运输机、长航时侦察机等领域。
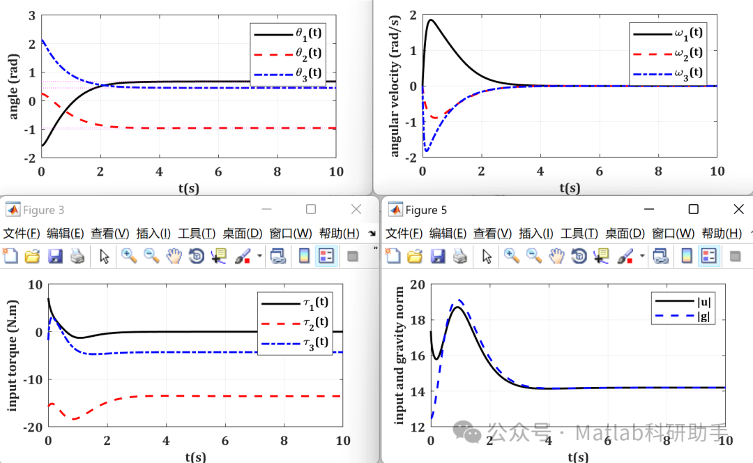
⛳️ 运行结果






🔗 参考文献
[1] 姚燕生.三维重力补偿方法与空间浮游目标模拟实验装置研究[D].中国科学技术大学,2006.DOI:CNKI:CDMD:1.2007.020902.
[2] 姚燕生,梅涛,Ming Liu,等.悬挂式重力补偿系统精密跟踪方法[J].哈尔滨工业大学学报, 2009, 41(11):4.DOI:CNKI:SUN:HEBX.0.2009-11-046.
[3] 李浩然.气浮台重力补偿与垂向运动控制研究[D].哈尔滨工业大学,2014.DOI:10.7666/d.D593446.
📣 部分代码
🎈 部分理论引用网络文献,若有侵权联系博主删除
👇 关注我领取海量matlab电子书和数学建模资料
🏆团队擅长辅导定制多种科研领域MATLAB仿真,助力科研梦:
🌈 各类智能优化算法改进及应用
生产调度、经济调度、装配线调度、充电优化、车间调度、发车优化、水库调度、三维装箱、物流选址、货位优化、公交排班优化、充电桩布局优化、车间布局优化、集装箱船配载优化、水泵组合优化、解医疗资源分配优化、设施布局优化、可视域基站和无人机选址优化、背包问题、 风电场布局、时隙分配优化、 最佳分布式发电单元分配、多阶段管道维修、 工厂-中心-需求点三级选址问题、 应急生活物质配送中心选址、 基站选址、 道路灯柱布置、 枢纽节点部署、 输电线路台风监测装置、 集装箱调度、 机组优化、 投资优化组合、云服务器组合优化、 天线线性阵列分布优化、CVRP问题、VRPPD问题、多中心VRP问题、多层网络的VRP问题、多中心多车型的VRP问题、 动态VRP问题、双层车辆路径规划(2E-VRP)、充电车辆路径规划(EVRP)、油电混合车辆路径规划、混合流水车间问题、 订单拆分调度问题、 公交车的调度排班优化问题、航班摆渡车辆调度问题、选址路径规划问题、港口调度、港口岸桥调度、停机位分配、机场航班调度、泄漏源定位
🌈 机器学习和深度学习时序、回归、分类、聚类和降维
2.1 bp时序、回归预测和分类
2.2 ENS声神经网络时序、回归预测和分类
2.3 SVM/CNN-SVM/LSSVM/RVM支持向量机系列时序、回归预测和分类
2.4 CNN|TCN|GCN卷积神经网络系列时序、回归预测和分类
2.5 ELM/KELM/RELM/DELM极限学习机系列时序、回归预测和分类
2.6 GRU/Bi-GRU/CNN-GRU/CNN-BiGRU门控神经网络时序、回归预测和分类
2.7 ELMAN递归神经网络时序、回归\预测和分类
2.8 LSTM/BiLSTM/CNN-LSTM/CNN-BiLSTM/长短记忆神经网络系列时序、回归预测和分类
2.9 RBF径向基神经网络时序、回归预测和分类
2.10 DBN深度置信网络时序、回归预测和分类
2.11 FNN模糊神经网络时序、回归预测
2.12 RF随机森林时序、回归预测和分类
2.13 BLS宽度学习时序、回归预测和分类
2.14 PNN脉冲神经网络分类
2.15 模糊小波神经网络预测和分类
2.16 时序、回归预测和分类
2.17 时序、回归预测预测和分类
2.18 XGBOOST集成学习时序、回归预测预测和分类
2.19 Transform各类组合时序、回归预测预测和分类
方向涵盖风电预测、光伏预测、电池寿命预测、辐射源识别、交通流预测、负荷预测、股价预测、PM2.5浓度预测、电池健康状态预测、用电量预测、水体光学参数反演、NLOS信号识别、地铁停车精准预测、变压器故障诊断
🌈图像处理方面
图像识别、图像分割、图像检测、图像隐藏、图像配准、图像拼接、图像融合、图像增强、图像压缩感知
🌈 路径规划方面
旅行商问题(TSP)、车辆路径问题(VRP、MVRP、CVRP、VRPTW等)、无人机三维路径规划、无人机协同、无人机编队、机器人路径规划、栅格地图路径规划、多式联运运输问题、 充电车辆路径规划(EVRP)、 双层车辆路径规划(2E-VRP)、 油电混合车辆路径规划、 船舶航迹规划、 全路径规划规划、 仓储巡逻
🌈 无人机应用方面
无人机路径规划、无人机控制、无人机编队、无人机协同、无人机任务分配、无人机安全通信轨迹在线优化、车辆协同无人机路径规划
🌈 通信方面
传感器部署优化、通信协议优化、路由优化、目标定位优化、Dv-Hop定位优化、Leach协议优化、WSN覆盖优化、组播优化、RSSI定位优化、水声通信、通信上传下载分配
🌈 信号处理方面
信号识别、信号加密、信号去噪、信号增强、雷达信号处理、信号水印嵌入提取、肌电信号、脑电信号、信号配时优化、心电信号、DOA估计、编码译码、变分模态分解、管道泄漏、滤波器、数字信号处理+传输+分析+去噪、数字信号调制、误码率、信号估计、DTMF、信号检测
🌈电力系统方面
微电网优化、无功优化、配电网重构、储能配置、有序充电、MPPT优化、家庭用电
🌈 元胞自动机方面
交通流 人群疏散 病毒扩散 晶体生长 金属腐蚀
🌈 雷达方面
卡尔曼滤波跟踪、航迹关联、航迹融合、SOC估计、阵列优化、NLOS识别
🌈 车间调度
零等待流水车间调度问题NWFSP 、 置换流水车间调度问题PFSP、 混合流水车间调度问题HFSP 、零空闲流水车间调度问题NIFSP、分布式置换流水车间调度问题 DPFSP、阻塞流水车间调度问题BFSP
👇
712

被折叠的 条评论
为什么被折叠?



