配电网分布式电源和储能选址定容 以配电网总成本最低为目标函数,其中包括年运行成本,设备维护折损成本、环境成本;以系统潮流运行为约束条件,采用粒子群算法求解,实现光伏、风电、储能设备的规划。 这是一个使用粒子群算法进行优化的程序。下面我将对程序进行详细的分析和解释。 首先,程序开始时加载了一些数据文件,包括光伏、风电和负荷的数据。然后,定义了一些参数,如蓄电池参数、迭代次数、种群大小、速度更新参数等。 接下来,程序进行了种群的初始化。使用随机数生成种群的初始位置,并初始化速度。然后,对种群中的每个个体进行潮流计算,并计算适应度。适应度的计算包括对电压、网损等进行评估,并考虑了一些约束条件,如储能容量、光伏容量等的限制。 接下来,程序进行了迭代优化过程。在每次迭代中,根据当前的速度和位置,更新粒子的速度和位置。然后,对更新后的粒子进行潮流计算,并计算适应度。如果个体的适应度优于个体历史最佳适应度,则更新个体历史最佳适应度和位置。如果个体的适应度优于全局最佳适应度,则更新全局最佳适应度和位置。 程序通过迭代优化过程不断更新粒子的速度和位置,直到达到指定的迭代次数。最后,程序输出优化结果,包括储能安装位置和容量、光伏安装位置和容量、风机安装位置和容量等。 该程序的主要功能是通过粒子群算法对电力系统进行优化,以减少网损、改善电压稳定性等。它可以应用于电力系统规划和运行中的问题,如储能容量和位置的确定、光伏和风电的安装位置和容量的确定等。 在程序的实现过程中,涉及到了一些知识点,包括粒子群算法的原理和实现、电力系统的潮流计算、约束条件的处理等。通过对粒子群算法的迭代优化,可以找到最优的储能位置和容量、光伏和风电的安装位置和容量,从而优化电力系统的运行效果。
系统概述
本系统是一个基于粒子群优化算法的配电网分布式能源(光伏、风电、储能)选址定容综合优化平台。系统以配电网总成本最低为目标函数,综合考虑了年运行成本、设备维护折损成本和环境成本等多个经济指标,通过智能优化算法确定分布式能源在配电网中的最佳安装位置和容量配置。
核心功能模块
1. 需求响应模块 (DR.m)
需求响应模块实现了基于电价信号的负荷调整功能,通过价格弹性矩阵模型对原始负荷曲线进行优化调整:
- 电价分段机制:将电价分为高峰(fj)、平段(pj)、低谷(gj)三个等级
- 弹性系数计算:基于不同电价时段的交叉价格弹性,构建24×24的弹性矩阵
- 负荷调整:根据弹性系数矩阵对原始负荷进行响应计算,实现削峰填谷
该模块能够有效降低系统高峰负荷,提高负荷率,为后续的分布式能源优化配置创造有利条件。
2. 配电网模型定义 (case33bw.m)
系统采用标准的33节点配电网测试系统(Baran & Wu系统)作为基础网络结构:
- 系统参数:基准容量100MVA,基准电压12.66kV
- 网络拓扑:包含33个节点,32条支路,涵盖各种典型的配电网结构特征
- 负荷数据:详细定义了各节点的有功和无功负荷需求
- 电气参数:提供了完整的线路阻抗、变压器参数等网络特性数据
该标准测试系统为算法验证提供了可靠的基准环境。
3. 综合成本评估模块 (fit_mb.m)
该模块是系统的核心经济性评估单元,负责计算配置方案的总成本:

成本构成分析:
- 投资成本:包含风电、光伏、储能设备的初始投资,按等年值法进行折算
- 维护成本:考虑设备运行维护、电池更换等持续性费用
- 运行成本:主要包括向主网购电费用
- 环境成本:基于碳排放强度计算的环保成本
技术约束处理:
- 电压质量约束检查
- 储能SOC(荷电状态)运行范围监控
- 设备容量限制验证
4. 主优化算法模块 (main.m)
采用改进的粒子群优化算法实现多目标、多约束的优化求解:

算法特色:
- 自适应惯性权重:根据种群多样性动态调整搜索能力
- 混合编码策略:连续变量与离散变量协同优化
- 约束处理机制:通过罚函数法处理各种运行约束
优化变量设计:
- 储能系统的充放电策略(24时段)
- 储能安装位置和容量
- 光伏安装位置和容量
- 风机安装位置和容量
算法流程与技术特点
优化流程
- 初始化:生成初始种群,包含各种可能的配置方案
- 潮流计算:对每个方案进行24时段的配电网潮流分析
- 适应度评估:通过fit_mb模块计算各方案的总成本
- 种群进化:基于PSO算法更新粒子位置和速度
- 收敛判断:达到最大迭代次数或满足收敛条件时停止
技术创新点
- 多时间尺度优化:同时考虑设备选址(空间维度)和运行策略(时间维度)
- 网损集成计算:将网络损耗直接纳入经济性评估
- 电压质量约束:确保优化方案满足供电质量要求
- 实际数据驱动:基于真实的风光负荷数据进行优化计算
输出与验证
系统提供完整的优化结果分析:
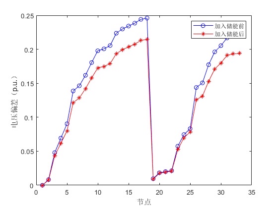
- 电压分布改善情况对比
- 网络损耗变化分析
- 最优配置方案详细信息
- 各设备的最佳位置和容量推荐
应用价值
本系统为配电网规划人员提供了科学的决策支持工具,能够:
- 显著降低配电网综合运行成本
- 提高可再生能源消纳能力
- 改善电网电压质量
- 为配电网升级改造提供量化依据
通过该系统的优化配置,可以有效推进配电网的绿色转型和智能化发展,实现经济效益与环境效益的双重提升。

1445

被折叠的 条评论
为什么被折叠?



