原文章(作者为本人):https://zhuanlan.zhihu.com/p/27150269582
注:以下所有加粗小写字母均表示列向量,所有加粗大写字母均表示矩阵,其他为标量。
1、最小二乘估计
先复习一下最优估计算法中的最小二乘估计法。
假设h1h1h1、h2h2h2为输入量,yyy为输出量,存在线性关系y=x1h1+x2h2y=x_1 h_1+x_2 h_2y=x1h1+x2h2,写成矩阵形式:

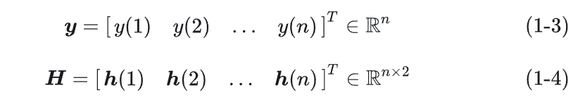
现在有n组输入输出的样本数据,表示为:

定义

写成更简洁的形式:

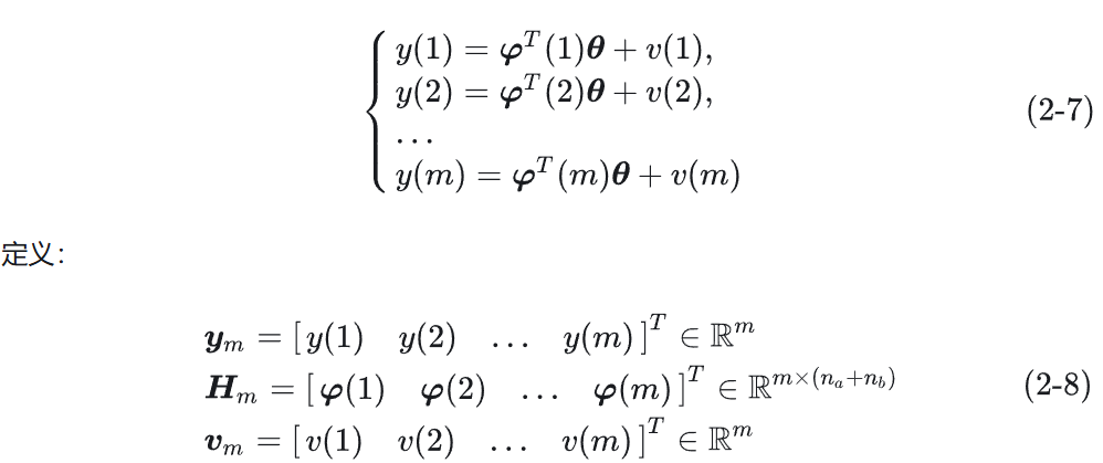
其中v=[v(1)v(2)...v(n)]T\bm v=\begin{bmatrix} v(1)&v(2)&...&v(n) \end{bmatrix}^Tv=[v(1)v(2)...v(n)]T为噪声。
最小二乘估计的目标是,找到最优的x=x^\bm x=\hat{\bm x}x=x^,使得代价函数

最小,其中y^=Hx\hat{\bm y}= \bm H \bm xy^=Hx为估计值。
EeE_eEe对x\bm xx求偏导并使其等于0:


2、最小二乘辨识





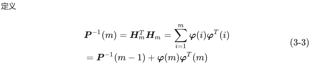
3、递推最小二乘辨识







1911

被折叠的 条评论
为什么被折叠?



