
思维导图-第四章

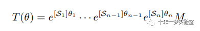
指数积公式的空间坐标表示形式:
First Formulation: Screw Axes in the Base Frame

space form of the product of exponentials formula, referring to the fact that the screw axes are expressed in the fixed space frame
To summarize, to calculate the forward kinematics of an open chain using the space form of the PoE formula (4.14), we need the following elements:
(a) the end-effector configuration M ∈ SE(3) when the robot is at its home position;
(b) the screw axes S1, . . . , Sn expressed in the fixed base frame, corresponding to the joint motions when the robot is at its home position; (c) the joint variables θ1, . . . , θn.
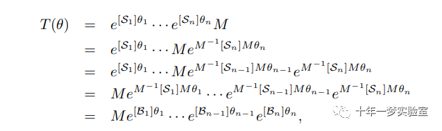
指数积公式的物体坐标表示形式:
Second Formulation: Screw Axes in the End-Effector Frame


一、本章小结
给定一个具有固定参考系 {s} 和一个参考系 {b} 的开链机器人,该参考系 {b} 连接到其最后一个连杆上的某个点——这个Frame被称为末端执行器坐标系——正向运动学是从关节值 θ到 {b} 在 {s} 中的位姿T(θ) 的映射。
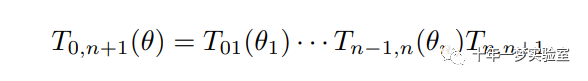
在 Denavit-Hartenberg 表示中,开链的正向运动学是根据附加到每个连杆的参考坐标系之间的相对位移来描述的。如果连杆坐标系按顺序标记为 {0},. . . , {n + 1},其中 {0} 是固定框架 {s},{i} 是在关节 i 处附加到连杆 i 的坐标系(i = 1,...,n),并且 {n + 1 } 是末端执行器坐标系{b}。则正向运动学表示为

其中 θi 表示关节 i 变量,Tn,n+1 表示 {n} 中末端执行器坐标系的(固定)配置。如果选择末端执行器坐标系{b} 与 {n} 重合,那么我们可以省略坐标系{n + 1}。
Denavit-Hartenberg 约定要求为每个连杆签名的参考坐标系遵守严格的约定(参见附录 C)。按照这个约定,连杆坐标系 {i − 1} 和 {i} 之间的连杆坐标系变换 T(i−1,i—) 可以仅使用四个参数进行参数化,即 Denavit-Hartenberg 参数。其中三个参数描述了运动结构,而第四个是关节值。四个数字是表示两个连杆坐标系之间的位移所需的最小值。
正向运动学也可以表示为以下指数积的形式(空间形式),

其中 Si = (ωi, vi) 表示与沿关节 i 的正运动相关的螺旋轴,以固定坐标系 {s} 坐标表示,θi 是关节 i 变量,M ∈ SE(3) 表示关节的位置和方向( 机器人处于零位时的末端执行器坐标系 {b})。没有必要定义单独的连杆坐标系;只需要定义 M 和螺旋轴 S1, 。. . , Sn。
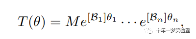
指数积公式也可以写成等价体形式,


通用机器人描述格式 (URDF) 是机器人操作系统ROS和其他软件使用的一种文件格式,用于表示一般树状机器人机构(包括串联机器人)的运动学、惯性属性、视觉属性和其他信息。URDF 文件包括关节描述,连接父连杆和子连杆并完全指定机器人的运动学,以及连杆描述,指定其惯性属性。
二、软件
与本章相关的软件函数在下面的 MATLAB 格式中列出。
T = FKinBody(M,Blist,thetalist)
Computes the end-effector frame given the zero position of the end-effector M, the list of joint screws Blist expressed in the end-effector frame, and the list of joint values thetalist.
T = FKinSpace(M,Slist,thetalist)
Computes the end-effector frame given the zero position of the end-effector M,the list of joint screws Slist expressed in the fixed-space frame, and the list of joint values thetalist.

The End
本文介绍了指数积公式在机器人正向运动学中的两种表示形式:空间坐标表示及物体坐标表示,并讨论了Denavit-Hartenberg表示方法及其参数化。此外,还介绍了与这些概念相关的MATLAB函数。
2852

被折叠的 条评论
为什么被折叠?



