一、相位累加器(Phase Accumulator)
- 一个 N位寄存器,每个时钟周期累加一个数值,称为 频率控制字(FTW, Frequency Control Word)。
- 累加值越大,频率越高。
- 相位累加器的输出是一个 当前相位值(Phase),它决定了波形的位置。
-
累加器输出不是频率,而是波形的“相位角”。
频率控制字(FCW)是一个用于控制相位累加器增长速度的数字量。
通俗说:FCW 决定了输出信号的频率是多少。
它控制的是 每个时钟周期 相位累加器加多少,也就是 每一步“相位步长”。

图中的M就是FCW,可以想见通过这种方式产生的实际上是阶梯状的正弦波。
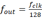
输出频率公式

-
f_clk为系统时钟; -
FCW为频率控制字; -
N为累加器位宽; -
f_out为输出频率。
举例说明
假设:
- 相位累加器宽度:32 位
- FCW:例如
0x1000_0000 - 采样时钟:100 MHz

二、波形查找表(LUT ,Look-Up Table)
-
通常是 正弦波表,你可以用ROM或RAM存一整周期的离散波形数据(例如0~360°对应256个采样点)。
-
相位值的高位(例如N位中的前M位)作为查找表的地址。
-
输出的是 当前相位对应的波形值(例如sin值)。
三、工作原理


-
N 是相位累加器宽度(如 32bit)
-
M 是波形查找表地址位数(如 10~12bit)
- 截断后的高位送入 LUT,意味着低位的信息丢失!想象你每次只跳几个固定的地址(如高 10bit 每次变一点点),这样很多低位被“截断”了。
| 影响 | 描述 |
| 波形周期对不齐 | 输出周期非整数个样本 |
| 谐波失真 | 除主频以外出现杂散频率成分(spurs) |
| 信号质量下降 | SFDR(杂散动态范围)下降 |
| 频率分辨率受限 | 受限于相位累加器位数与 LUT 宽度 |
那为什么只取高若干位做查找表地址,而不是全部?
NCO核心目的:用相位表示频率 → 查出一个波形点
相位累加器越长,频率分辨率越高(输出频率的步进越小):

比如 N = 32,频率分辨率是
,非常细。
但是我们查正弦波表的时候,没必要有那么多点 —— 通常只查一个 1024 点(10bit)或 256 点(8bit) 的表。
如果用全部位查表
| 问题 | 说明 |
| 表太大 | 用全部位查表资源爆炸(不可行) |
| 地址太敏感 | 相位小变化会导致地址剧烈跳变 |
| 并没有更高分辨率 | 表项再多也没用,因为输出 DAC 位数、LUT精度是固定的 |
所以只取高若干位
减少查找表大小(节省资源)
- 32bit 相位 → 表要有 2^32=4Gb项,根本不可行
- 只用高 10 位查表 → 表大小为 2^10=1Kb项,可接受
高位代表“粗粒度的相位”,不会因低位抖动而频繁变化
- 低位变动频繁(例如累加器每次只变动1),查表地址会跳来跳去;
- 只取高位可以保证查表地址有足够平滑的相位步进。
查表地址的平滑跳动对应输出频率
- 查表间隔越大(即 FCW 越大),相位累加器跳得越快,输出频率越高;
- 所以只取高位,仍能正确表达频率调节,只是有一定位量误差(杂散源头之一)。
三、思维误区
1、认为查找表(LUT)中存的是一个 被采样过的正弦波,采样率可能是某个
纠正:这是一个直觉陷阱。
NCO LUT 不是采样器,是一个近似器
直观错误:NCO 用一个 固定的正弦模板(LUT),然后以不同“速度”查表 ⇒ 频率变了,但“模板”没变,就好像用相同的波形片段,不同速率去“重放” ⇒ 感觉像是对波形下采样后输出
首先必须澄清:
查找表中存的不是“某个频率信号的采样点”,而是一个完整单位正弦波的周期离散化表示。
举例说明:
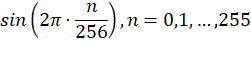
假设 LUT 有 256 个点(8-bit 相位累加器高 8 位作为地址),存的就是:

这是一整个单位正弦波的一个周期被等间隔量化了 256 个点,不带具体频率。它是一个“形状模板”,而不是某个采样频率下的数据记录。
NCO 的本质不是“回放原始波形”,而是“控制查找步进”生成新频率
可以理解为:在查表时跳过一定数量的点,从而控制生成的正弦信号的“频率”。
FCW = 1 ⇒ 每次查一个点 ⇒ 输出一个完整周期要花 256 个时钟 ⇒
FCW = 2 ⇒ 每次查两个点 ⇒ 128 个时钟生成一周期 ⇒
如果 FCW 很大,比如 FCW = 200,那么你每次跳 200 个相位点,就很快就绕一圈 ⇒ 输出频率也就高。
同时,NCO 也不是“数字下采样”,它本质是数字相位合成与查表输出,而不是对已有信号进行下采样。
DDS也要遵守奈奎斯特采样定理
如果设置过高的 FCW,就会超出奈奎斯特频率 ⇒ 导致混叠(aliasing)
这是 DDS 中非常重要的一条原则:
DDS 产生的输出频率不能超过 fclk/2,否则会混叠成错误的频率分量。
所以虽然查表可以任意跳步,但最终信号仍然是以系统时钟输出的采样序列,频率再高也不能超过采样率一半(这是采样定理的基本限制)。
| 特性 | NCO | 数字下采样 |
| 输入信号 | 无输入,是合成信号 | 有输入信号 |
| 输出频率变化方式 | 改变 FCW 控制频率 | 改变抽取因子 M |
| 是否需要低通滤波器 | 不需要(除非外部采样) | 需要(避免混叠) |
| 是否违反采样定理 | 会混叠,不能超过 f_clk/2 | 会混叠,必须滤波 |
| 是否对已有信号进行处理 | 否 | 是 |
NCO 是一种基于查表的波形“生成器”,不是对信号的“下采样器”。
它的输出是一个等间隔离散时间序列,由系统时钟驱动,频率由 FCW 控制 —— 本质上是 时域重构,不是采样域压缩。
2、如果查表地址每次都递增一个,那就意味着波形数据被依次取出,输出频率应该最高。
这样的直观错误正是因为混淆成了数字下采样造成的。
实际上,
· FCW 大 ⇒ 每次累加的相位变多 ⇒ 相位绕一圈更快 ⇒ 频率更高;
· FCW 小 ⇒ 每次累加的相位变慢 ⇒ 波动慢 ⇒ 频率更低;
9440

被折叠的 条评论
为什么被折叠?



