一、前言
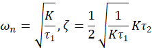
二阶低通的标准形式是
![]()
其中
是自然频率,
是阻尼比。
这里就出现了“麻烦”:
- 当 ζ≈0.707(所谓 Butterworth 响应),幅频特性在 ω=ωn 处正好下降 3 dB,我们可以直接说 ωc=ωn。
- 当 ζ比 0.707 大(阻尼强),曲线更“平缓”,3 dB 点会在 ω<ωn 。
- 当 ζ比 0.707 小(阻尼弱),曲线有共振峰,3 dB 点甚至会“绕”到峰值之后去。
也就是说,二阶系统的截止频率不再等于自然频率,而是由阻尼决定的。
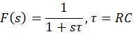
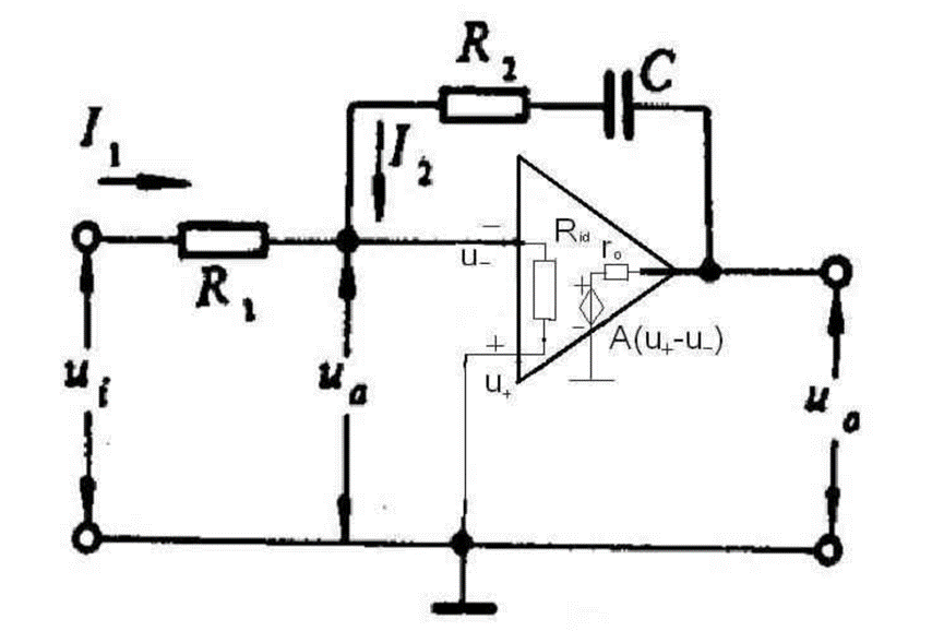
二、以rc低通滤波器为环路滤波器
环路滤波器

系统

由闭环特征方程
![]()
得到标准二阶特征多项式
![]()
所以

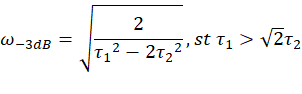
环路滤波器-3dB截止频率
![]()
求解系统-3dB截止频率
![]()
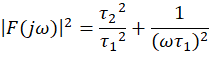
补充误差传递函数
![]()
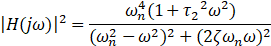
幅度平方函数为
![]()
令
, 在 −3 dB 点,幅度平方等于 1/2。代入并化简得到关于 r 的方程:
![]()
令
,得到二次方程
![]()
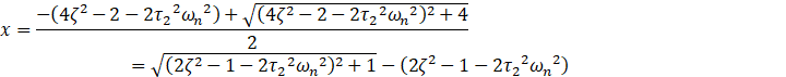
其正根为
![]()
所以-3dB频率为
![]()
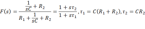
三、以无源比例积分滤波器为环路滤波器
环路滤波器

系统

由闭环特征方程
![]()
得到标准二阶特征多项式
![]()
所以

环路滤波器-3dB截止频率
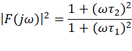
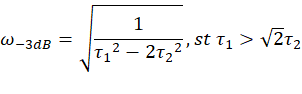
幅度平方函数为

所以-3dB频率为

即

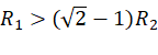
结论
若
,则该滤波器的幅频会在某处下降至 −3 dB(相对于直流 0 dB),解为上面的
。
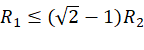
若
,则方程没有实解:意味着幅度谱不会下降到 −3 dB(相对于 DC);换句话说,滤波器的幅频在整个频率轴上都保持
。物理直觉:这个滤波器在低频是 1(0 dB),经极点产生衰减后,又被高频零点部分抵消回升——是否真正“凹”到 −3 dB,取决于极点与零点间的间隔(也就是 R1 与 R2 的比值)。
求解系统-3dB截止频率
![]()
补充误差传递函数

则幅度平方函数为
![]()
令
, 在 −3 dB 点,幅度平方等于 1/2。代入并化简得到关于 r 的方程:
![]()
令
,得到二次方程
![]()
其正根为

所以-3dB频率为
![]()
四、以有源比例积分滤波器为环路滤波器
环路滤波器

推导

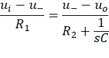
![]()
![]()
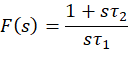
易得

若定义相位误差与上两例相反,则得到相同形式的系统闭环函数表达式,也就是说
的符号不影响得到的物理结论。
令
,这里直接得到


由闭环特征方程
![]()
得到标准二阶特征多项式
![]()
所以

环路滤波器-3dB截止频率
幅度平方函数为

所以-3dB频率为

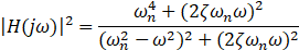
求解系统-3dB截止频率
![]()
补充误差传递函数
![]()
幅度平方函数为
![]()
令
, 在 −3 dB 点,幅度平方等于 1/2。代入并化简得到关于 r 的方程:
![]()
令
,得到二次方程
![]()
其正根为
![]()
所以-3dB频率为
![]()

5万+

被折叠的 条评论
为什么被折叠?



