一、Option Instruction
1、Show Coefficient Bank
Coefficient Bank
- FIR 滤波器的运算本质就是输入样本和系数(Coefficient)做乘加运算。
- 这些系数会存放在一个系数存储区(Coefficient Bank)中。
- 系数可以是固定的(Static)——设计时写死在 IP 中,也可以是可重载的(Reloadable)——运行时由外部逻辑写入。
- 如果勾选,它会在配置页面展开一个系数表格,让你可以直接看到每个系数的数值。
- 如果你选择了可重载系数(Coefficient Reload)功能,这个表格也会显示多个 Bank(比如 Bank0、Bank1、Bank2…),方便设计时配置不同滤波器版本。
典型用途
做多速率滤波器(multirate FIR)或多通道滤波器时,可以在不同的 Bank 中放不同的系数组,实现快速切换滤波器特性(例如不同带宽、不同通带频率)。
2、Symmetry Mode
主要是用来设置 FIR 系数是否具有对称性,从而让 IP 核在硬件实现上进行优化
- None(无对称性)系数表完全按输入使用,不做对称优化。
- Automatic(自动检测)工具会检测你提供的系数文件,如果满足对称关系,会自动应用对称优化。
3、Flow Control
- IP核在输入/输出数据流动时的一种机制,让上游/下游模块能互相协调数据读写节奏,避免数据丢失或溢出。
- 如果启用流控,IP核会根据自身处理能力和内部FIFO状态,给出“准备好”或“暂停”的信号,告诉数据发送端或接收端什么时候可以传输数据(这就是所谓的 back pressure,即“反压”)
Back Pressure Support(背压支持)
- Back Pressure 直译为“反压力”,是数据流中一种反馈机制。
- 当模块内部缓冲区快满,或者处理不过来时,它会向数据源(上游模块)发出“暂停”信号,要求暂停发送数据,防止数据溢出。
- 启用 Back Pressure Support,就是开启这种动态节奏控制,让系统各模块之间能够自动调节数据流,保证数据传输的可靠性和稳定性。
举例说明
假设你有两个模块,模块A发送数据到模块B。
- 如果模块B处理速度慢,它会通过back pressure告诉模块A“先别发了,我还没准备好”。
- 如果没开启back pressure,模块A会一直发数据,可能导致模块B溢出,丢数据。
二、整体框架

三、Structure

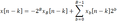
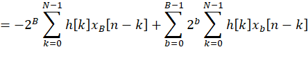
DA(Distributed Arithmetic,分布式算法)是 FIR 滤波器在硬件实现中常用的一种方法,特别适合 FPGA/ASIC 场景。
标准的 FIR 滤波器公式

这里需要 N 次乘法 + N-1 次加法。在硬件上乘法器代价很大,尤其是 FPGA 上,如果用大量 DSP 资源来实现,会消耗很多逻辑和功耗。
1、DA 的核心思想
- 系数 h[k] 固定(常数);
- 输入 x[n-k] 是二进制补码,可以按 逐比特拆分;
- 预先把所有可能的输入比特组合对应的部分和 存储在查找表 LUT 里;
- 每次取输入的一位,查 LUT 得到部分和,再加权累加。
以 x[n-k] 量化为B位补码二进制数,小数点位于最低位后面为例,即

(1)输入展开


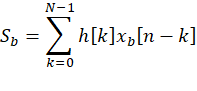
(2)查表
两个加数子式的内层形式均为

对于每一组

其实就是一个 N 位的比特向量。
- 对应的可能情况有

- 可以提前算好这些加权和(只和系数 h[k] 有关,不随输入变化)。
- 把这些结果存在一个查找表(LUT)里。
2、DA 的优势
- 不需要乘法器,只用移位、查表和加法。
- 非常适合 FPGA,因为 LUT 正好和 FPGA 的查表逻辑对应。
- 对于高阶 FIR,可以通过分块(分段 DA,Segmented DA)来减少 LUT 规模。
3、DA 的局限
- LUT 的大小随滤波器阶数呈指数增长(2^N),高阶 FIR 会爆炸。 所以常常用分块 DA,把 N 个系数分成小组,每组做一个小 LUT,然后部分和再累加。
- 系数必须固定(或很少更新),否则 LUT 需要频繁重建。
4、DA 的不同架构
DA 本质是“用 LUT + 移位 + 累加”来做 FIR,但 LUT、累加的使用方式不同,就衍生出几种架构:
(1)全并行 DA
结构特点:
- 每个输入样本的所有比特 同时送进 LUT。
- LUT 大小取决于滤波器阶数(比如 16 阶需要 2^{16} 这么大,不现实)。
- 解决方法是拆成多个小 LUT,然后并行加法器树累加。
优点:速度最快(一拍一个结果)
缺点:LUT 和加法器资源消耗大(FPGA 上用很多 BRAM + 逻辑资源)。
(2) 全串行 DA
结构特点:
- 输入样本逐比特(LSB → MSB)依次送入。
- 每个时钟只处理一位,依靠移位寄存器和累加器逐步形成输出。
- LUT 可以很小(比如只存几位组合)。
优点:硬件资源最省(LUT 小、加法器少)。
缺点:速度最慢(一个输出需要多个时钟周期)。
(3) 部分并行 DA
折中方案:
- 把输入按比特分组,比如 4 位并行处理。
- LUT 大小和速度都在串行与并行之间。
- 常用于 FPGA,利用 DSP Slice + LUT 实现。
四、关于pipeline level机制
以系统时钟8000Hz,滤波器配置Distributed Arithmetic : Fully Parallel Filter,pipeline level=0,coefficients=39为例。

如上图所示,输入一个克罗内克δ信号,可以观察到输出延迟9个时钟。
(pipeline level=1,输出延迟18个时钟;pipeline level=2,输出延迟26个时钟;pipeline level=3,输出延迟34个时钟)

如上图所示,输入一个400Hz正弦信号,cursor3先向前9个时钟周期至cursor2,抵消滤波器实现结构带来的延时,再向前19个时钟周期至cursor1,可看出时序上输出可以与输入对齐。
但是pipeline level的机制没有弄清,查阅user guide,可能与如下说明有关

五、补充
关于MATLAB生成滤波器的系数量化后作为coefficient
假定量化位宽m位
浮点系数的 DC 增益(MATLAB提供的归一化)

量化缩放因子

量化系数和

表示滤波器对恒定 DC(或低频)输入的增益放大倍数
量化系数绝对值和

用于最坏情况的累加器容量(位宽)估算
1万+

被折叠的 条评论
为什么被折叠?



