分别通过卡尔曼滤波,扩展卡尔曼滤波以及移动地平线估计方法对数据进行预测估计matlab仿真

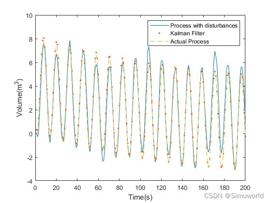
本文介绍了如何在MATLAB中应用卡尔曼滤波、扩展卡尔曼滤波和移动地平线估计方法进行数据预测,并展示了2022a的仿真结果。详细阐述了这些滤波算法的基本原理、预测和更新步骤,适合控制系统和信号处理领域的研究。
评论
添加红包

请填写红包祝福语或标题

红包个数最小为10个

红包金额最低5元

当前余额3.43前往充值 >
需支付:10.00
成就一亿技术人!
领取后你会自动成为博主和红包主的粉丝 规则
hope_wisdom
发出的红包

打赏作者

Simuworld

你的鼓励将是我创作的最大动力

¥1 ¥2 ¥4 ¥6 ¥10 ¥20
扫码支付:¥1
获取中
扫码支付

您的余额不足,请更换扫码支付或充值

打赏作者

实付
使用余额支付
点击重新获取
扫码支付
钱包余额 0

抵扣说明:

1.余额是钱包充值的虚拟货币,按照1:1的比例进行支付金额的抵扣。
2.余额无法直接购买下载,可以购买VIP、付费专栏及课程。

余额充值