质心和形心
质心和形心问题,关键是记住质心公式xˉ=∫xdm∫dm,yˉ=∫ydm∫dm,其中dm为质量元。质量元dm,具体分为下面几种情况:1)若为曲线型物体:dm=ρds,其中ρ为线密度,ds为弧微分;特殊情况:若为直线型物体,此时ds=dx。2)若为曲面型物体:dm=ρdS,其中ρ为面密度,dS为面积元;特殊情况:若为平面型物体,此时dS=dxdy。若是求形心,令质心公式中的ρ=1即可。3)若为几何体:dm=ρdV,其中ρ为体密度,dV为体积微元。 \begin{aligned} &\text{质心和形心问题,关键是记住质心公式} \bar{x} = \frac{\int xdm}{\int dm},\bar{y} = \frac{\int ydm}{\int dm},\text{其中} dm \text{为质量元。} \\ \\ &\text{质量元} dm \text{,具体分为下面几种情况:} \\ \\ &1)\text{若为曲线型物体:} dm = \rho ds \text{,其中} \rho \text{为线密度,} ds \text{为弧微分;} \\ &\text{特殊情况:若为直线型物体,此时} ds = dx \text{。} \\ \\ &2)\text{若为曲面型物体:} dm = \rho dS \text{,其中} \rho \text{为面密度,} dS \text{为面积元;} \\ &\text{特殊情况:若为平面型物体,此时} dS = dxdy \text{。} \\ \\ &\text{若是求形心,令质心公式中的} \rho=1 \text{即可。} \\ \\ &3)\text{若为几何体:} dm = \rho dV \text{,其中} \rho \text{为体密度,} dV \text{为体积微元。} \end{aligned} 质心和形心问题,关键是记住质心公式xˉ=∫dm∫xdm,yˉ=∫dm∫ydm,其中dm为质量元。质量元dm,具体分为下面几种情况:1)若为曲线型物体:dm=ρds,其中ρ为线密度,ds为弧微分;特殊情况:若为直线型物体,此时ds=dx。2)若为曲面型物体:dm=ρdS,其中ρ为面密度,dS为面积元;特殊情况:若为平面型物体,此时dS=dxdy。若是求形心,令质心公式中的ρ=1即可。3)若为几何体:dm=ρdV,其中ρ为体密度,dV为体积微元。
![![[Pasted image 20251209221648.png]]](https://i-blog.csdnimg.cn/direct/c0a02b2a03624132abb8fac1243e6b85.png)
解:x‾=∫01x dm∫01dm=∫01x(−x2+2x+1)dx∫01(−x2+2x+1)dx=∫01(−x3+2x2+x)dx∫01(−x2+2x+1)dx=−14+23+12−13+1+1=111253=1120 \begin{aligned} \text{解:} \quad \overline{x} &= \frac{\int_{0}^{1} x \, dm}{\int_{0}^{1} dm} = \frac{\int_{0}^{1} x(-x^2 + 2x + 1)dx}{\int_{0}^{1} (-x^2 + 2x + 1)dx} \\ &= \frac{\int_{0}^{1} (-x^3 + 2x^2 + x)dx}{\int_{0}^{1} (-x^2 + 2x + 1)dx} = \frac{-\frac{1}{4} + \frac{2}{3} + \frac{1}{2}}{-\frac{1}{3} + 1 + 1} \\ &= \frac{\frac{11}{12}}{\frac{5}{3}} = \frac{11}{20} \end{aligned} 解:x=∫01dm∫01xdm=∫01(−x2+2x+1)dx∫01x(−x2+2x+1)dx=∫01(−x2+2x+1)dx∫01(−x3+2x2+x)dx=−31+1+1−41+32+21=351211=2011
【小结】1、判断是直线型物体求质心,本质公式是xˉ=∫xdm∫dm,yˉ=∫ydm∫dm;2、计算质量元 dm=ρ(x)ds=ρ(x)dx (直线ds=dx);3、计算定积分,算出xˉ=∫01xρ(x)dx∫01ρ(x)dx即可。 \begin{aligned} &\text{【小结】1、判断是直线型物体求质心,本质公式是} \bar{x} = \frac{\int xdm}{\int dm},\bar{y} = \frac{\int ydm}{\int dm}; \\ \\ &2、\text{计算质量元 } dm = \rho(x)ds = \rho(x)dx \ (\text{直线} ds = dx); \\ \\ &3、\text{计算定积分,算出} \bar{x} = \frac{\int_{0}^{1} x\rho(x)dx}{\int_{0}^{1} \rho(x)dx} \text{即可。} \end{aligned} 【小结】1、判断是直线型物体求质心,本质公式是xˉ=∫dm∫xdm,yˉ=∫dm∫ydm;2、计算质量元 dm=ρ(x)ds=ρ(x)dx (直线ds=dx);3、计算定积分,算出xˉ=∫01ρ(x)dx∫01xρ(x)dx即可。
![![[Pasted image 20251209222130.png]]](https://i-blog.csdnimg.cn/direct/fe1a980ce41e4ae5b6de6272a374934f.png)
解: (1)l=∫1e1+(y′)2dx=∫1e1+(x2−12x)2dx=∫1e1+x24−12+14x2dx=∫1e(x2)2+2⋅x2⋅12x+(12x)2dx=∫1e(x2+12x)2dx=∫1e(x2+12x)dx=e2−14+12⋅1=e24+14=e2+14 \begin{aligned} \text{解: (1)} \quad l &= \int_{1}^{e} \sqrt{1 + (y')^2} dx = \int_{1}^{e} \sqrt{1 + \left(\frac{x}{2} - \frac{1}{2x}\right)^2} dx \\ &= \int_{1}^{e} \sqrt{1 + \frac{x^2}{4} - \frac{1}{2} + \frac{1}{4x^2}} dx = \int_{1}^{e} \sqrt{\left(\frac{x}{2}\right)^2 + 2 \cdot \frac{x}{2} \cdot \frac{1}{2x} + \left(\frac{1}{2x}\right)^2} dx \\ &= \int_{1}^{e} \sqrt{\left(\frac{x}{2} + \frac{1}{2x}\right)^2} dx = \int_{1}^{e} \left(\frac{x}{2} + \frac{1}{2x}\right) dx \\ &= \frac{e^2 - 1}{4} + \frac{1}{2} \cdot 1 = \frac{e^2}{4} + \frac{1}{4} = \frac{e^2 + 1}{4} \end{aligned} 解: (1)l=∫1e1+(y′)2dx=∫1e1+(2x−2x1)2dx=∫1e1+4x2−21+4x21dx=∫1e(2x)2+2⋅2x⋅2x1+(2x1)2dx=∫1e(2x+2x1)2dx=∫1e(2x+2x1)dx=4e2−1+21⋅1=4e2+41=4e2+1
(2)x‾=∬x dxdy∬dxdy=∫1edx∫0x24−12lnxx dy∫1edx∫0x24−12lnxdy=∫1e(x34−12xlnx)dx∫1e(x24−12lnx)dx=e4−116−12(12x2lnx−x24)∣1ee3−112−12(xlnx−x)∣1e=116e4−116−12(e24+14)112e3−112−12=e4−1−2e2−2e3−71216=34⋅e4−2e2−3e3−7 \begin{aligned} (2) \quad \overline{x} &= \frac{\iint x \, dxdy}{\iint dxdy} = \frac{\int_{1}^{e} dx \int_{0}^{\frac{x^2}{4} - \frac{1}{2}\ln x} x \, dy}{\int_{1}^{e} dx \int_{0}^{\frac{x^2}{4} - \frac{1}{2}\ln x} dy} \\ &= \frac{\int_{1}^{e} \left( \frac{x^3}{4} - \frac{1}{2}x\ln x \right) dx}{\int_{1}^{e} \left( \frac{x^2}{4} - \frac{1}{2}\ln x \right) dx} = \frac{\frac{e^4 - 1}{16} - \frac{1}{2}\left( \frac{1}{2}x^2\ln x - \frac{x^2}{4} \right)\bigg|_{1}^{e}}{\frac{e^3 - 1}{12} - \frac{1}{2}\left( x\ln x - x \right)\bigg|_{1}^{e}} \\ &= \frac{\frac{1}{16}e^4 - \frac{1}{16} - \frac{1}{2}\left( \frac{e^2}{4} + \frac{1}{4} \right)}{\frac{1}{12}e^3 - \frac{1}{12} - \frac{1}{2}} = \frac{e^4 - 1 - 2e^2 - 2}{e^3 - 7}\frac{12}{16} = \frac{3}{4} \cdot \frac{e^4 - 2e^2 - 3}{e^3 - 7} \end{aligned} (2)x=∬dxdy∬xdxdy=∫1edx∫04x2−21lnxdy∫1edx∫04x2−21lnxxdy=∫1e(4x2−21lnx)dx∫1e(4x3−21xlnx)dx=12e3−1−21(xlnx−x)1e16e4−1−21(21x2lnx−4x2)1e=121e3−121−21161e4−161−21(4e2+41)=e3−7e4−1−2e2−21612=43⋅e3−7e4−2e2−3
【小结】1、判断是平面型求形心横坐标,本质公式是xˉ=∫xdm∫dm;2、计算质量元dm=dxdy;3、计算二重积分算出xˉ=∬Dxdxdy∬Ddxdy即可。 \begin{aligned} &\text{【小结】1、判断是平面型求形心横坐标,本质公式是} \bar{x} = \frac{\int xdm}{\int dm}; \\ \\ &2、\text{计算质量元} dm = dxdy; \\ \\ &3、\text{计算二重积分算出} \bar{x} = \frac{\iint_{D} xdxdy}{\iint_{D} dxdy} \text{即可。} \end{aligned} 【小结】1、判断是平面型求形心横坐标,本质公式是xˉ=∫dm∫xdm;2、计算质量元dm=dxdy;3、计算二重积分算出xˉ=∬Ddxdy∬Dxdxdy即可。
![![[Pasted image 20251209223349.png]]](https://i-blog.csdnimg.cn/direct/919fccb744f6400992b5b5f1e9b9127d.png)
![![[Pasted image 20251211074017.png]]](https://i-blog.csdnimg.cn/direct/2ce7a97114be481691599ef8e6203a1c.png)
解:V=∫−112πx12(y)dy+∫122πx22(y)dy=∫−112π(1−y2)dy+∫122π(2y−y2)dy=π(y−y33)∣−112+π(y2−y33)∣122=π(1124−(−23))+π(43−524)=π⋅2724+π⋅2724=94π \begin{aligned} \text{解:} \quad V &= \int_{-1}^{\frac{1}{2}} \pi x_1^2(y) dy + \int_{\frac{1}{2}}^{2} \pi x_2^2(y) dy \\ &= \int_{-1}^{\frac{1}{2}} \pi (1 - y^2) dy + \int_{\frac{1}{2}}^{2} \pi (2y - y^2) dy \\ &= \pi \left( y - \frac{y^3}{3} \right)\bigg|_{-1}^{\frac{1}{2}} + \pi \left( y^2 - \frac{y^3}{3} \right)\bigg|_{\frac{1}{2}}^{2} \\ &= \pi \left( \frac{11}{24} - \left(-\frac{2}{3}\right) \right) + \pi \left( \frac{4}{3} - \frac{5}{24} \right) \\ &= \pi \cdot \frac{27}{24} + \pi \cdot \frac{27}{24} = \frac{9}{4}\pi \end{aligned} 解:V=∫−121πx12(y)dy+∫212πx22(y)dy=∫−121π(1−y2)dy+∫212π(2y−y2)dy=π(y−3y3)−121+π(y2−3y3)212=π(2411−(−32))+π(34−245)=π⋅2427+π⋅2427=49π
(II)W=∫−12(2−y)gρ⋅πx2dy=∫−112(2−y)gρπ(1−y2)dy+∫122(2−y)gρπ(2y−y2)dy=ρgπ(∫−112(y3−2y2−y+2)dy+∫122(y3−2y2−2y2+4y)dy)=ρgπ(∫−12(y3−2y2)dy+∫−112(2−y)dy+∫122(4y−2y2)dy)=ρgπ((y44−23y3)∣−12+(2y−y22)∣−112+(2y2−23y3)∣122)=ρgπ((−43−1112)+(78+52)+(83−512))=ρgπ(−94+278+94)=278ρgπ=3375πg(J) \begin{aligned} (\text{II}) \quad W &= \int_{-1}^{2} (2-y) g \rho \cdot \pi x^2 dy \\ &= \int_{-1}^{\frac{1}{2}} (2-y) g \rho \pi (1-y^2) dy + \int_{\frac{1}{2}}^{2} (2-y) g \rho \pi (2y-y^2) dy \\ &= \rho g \pi \left( \int_{-1}^{\frac{1}{2}} (y^3 - 2y^2 - y + 2) dy + \int_{\frac{1}{2}}^{2} (y^3 - 2y^2 - 2y^2 + 4y) dy \right) \\ &= \rho g \pi \left( \int_{-1}^{2} (y^3 - 2y^2) dy + \int_{-1}^{\frac{1}{2}} (2-y) dy + \int_{\frac{1}{2}}^{2} (4y - 2y^2) dy \right) \\ &= \rho g \pi \left( \left. \left( \frac{y^4}{4} - \frac{2}{3}y^3 \right) \right|_{-1}^{2} + \left. \left( 2y - \frac{y^2}{2} \right) \right|_{-1}^{\frac{1}{2}} + \left. \left( 2y^2 - \frac{2}{3}y^3 \right) \right|_{\frac{1}{2}}^{2} \right) \\ &= \rho g \pi \left( \left( -\frac{4}{3} - \frac{11}{12} \right) + \left( \frac{7}{8} + \frac{5}{2} \right) + \left( \frac{8}{3} - \frac{5}{12} \right) \right) \\ &= \rho g \pi \left( -\frac{9}{4} + \frac{27}{8} + \frac{9}{4} \right) = \frac{27}{8} \rho g \pi =3375\pi g(J) \end{aligned} (II)W=∫−12(2−y)gρ⋅πx2dy=∫−121(2−y)gρπ(1−y2)dy+∫212(2−y)gρπ(2y−y2)dy=ρgπ(∫−121(y3−2y2−y+2)dy+∫212(y3−2y2−2y2+4y)dy)=ρgπ(∫−12(y3−2y2)dy+∫−121(2−y)dy+∫212(4y−2y2)dy)=ρgπ((4y4−32y3)−12+(2y−2y2)−121+(2y2−32y3)212)=ρgπ((−34−1211)+(87+25)+(38−125))=ρgπ(−49+827+49)=827ρgπ=3375πg(J)
(II)因水密度恒定,质心即形心,故质心坐标为 (0,12)W=94πρ⋅g⋅(2−12)=278πρg=3375πg \begin{aligned} (\text{II}) \quad &\text{因水密度恒定,质心即形心,} \\ &\text{故质心坐标为} \ \left(0, \frac{1}{2}\right) \\ \\ W &= \frac{9}{4}\pi \rho \cdot g \cdot \left(2 - \frac{1}{2}\right) = \frac{27}{8}\pi \rho g = 3375\pi g \end{aligned} (II)W因水密度恒定,质心即形心,故质心坐标为 (0,21)=49πρ⋅g⋅(2−21)=827πρg=3375πg
【小结】1.抽水做功的求解思路有两个:一是利用微元法:抽水做功物理学公式为W=FS,其中F=mg=ρgV,S为提升高度,利用微元法,在x轴上截取一个长度为dx的小区间,由于dx很小,所以该区间段面积函数A(x)近似不变,该区间上容器近似一个柱体,体积为A(x)dx,对应的质量ρA(x)dx,将该部分水提升到容器瓶口高度应为b−x,所以需要克服重力做功ρg(b−x)⋅A(x)dx,对其积分即为容器的水全部抽出需要做的功。二是计算出液体的质心(就是形心)的位置,再用质心提升的高度乘以液体的总重力。2.当物体的形状比较规则时,形心的位置就在它的几何中心。 \begin{aligned} &\text{【小结】1.抽水做功的求解思路有两个:} \\ \\ &\text{一是利用微元法:抽水做功物理学公式为} W = FS,\text{其中} F = mg = \rho gV,S \text{为提升高} \\ &\text{度,利用微元法,在} x \text{轴上截取一个长度为} dx \text{的小区间,由于} dx \text{很小,所以该区间段} \\ &\text{面积函数} A(x) \text{近似不变,该区间上容器近似一个柱体,体积为} A(x)dx,\text{对应的质量} \\ &\rho A(x)dx,\text{将该部分水提升到容器瓶口高度应为} b - x,\text{所以需要克服重力做功} \\ &\rho g(b - x) \cdot A(x)dx,\text{对其积分即为容器的水全部抽出需要做的功。} \\ \\ &\text{二是计算出液体的质心(就是形心)的位置,再用质心提升的高度乘以液体的总重力。} \\ \\ &2.\text{当物体的形状比较规则时,形心的位置就在它的几何中心。} \end{aligned} 【小结】1.抽水做功的求解思路有两个:一是利用微元法:抽水做功物理学公式为W=FS,其中F=mg=ρgV,S为提升高度,利用微元法,在x轴上截取一个长度为dx的小区间,由于dx很小,所以该区间段面积函数A(x)近似不变,该区间上容器近似一个柱体,体积为A(x)dx,对应的质量ρA(x)dx,将该部分水提升到容器瓶口高度应为b−x,所以需要克服重力做功ρg(b−x)⋅A(x)dx,对其积分即为容器的水全部抽出需要做的功。二是计算出液体的质心(就是形心)的位置,再用质心提升的高度乘以液体的总重力。2.当物体的形状比较规则时,形心的位置就在它的几何中心。
![![[Pasted image 20251209223559.png]]](https://i-blog.csdnimg.cn/direct/96e10f0ac6ae4982ae9920976a021392.png)
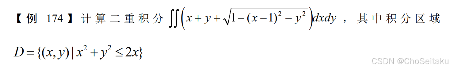
![![[Pasted image 20251211103141.png]]](https://i-blog.csdnimg.cn/direct/8b71a9aaca8b47d195b423df153f4195.png)
D=∫−π2π2dθ∫02cosθ(rcosθ+rsinθ+1−(rcosθ−1)2−(rsinθ)2)rdr=∫−π2π2(83cos4θ+83cos3θsinθ)dθ+∫−π2π2dθ∫02cosθ2rcosθ−r2⋅rdr \begin{aligned} D &= \int_{-\frac{\pi}{2}}^{\frac{\pi}{2}} d\theta \int_{0}^{2\cos\theta} \left( r\cos\theta + r\sin\theta + \sqrt{1 - (r\cos\theta - 1)^2-(r\sin\theta)^2}\right) r dr \\ &= \int_{-\frac{\pi}{2}}^{\frac{\pi}{2}} \left( \frac{8}{3}\cos^4\theta + \frac{8}{3}\cos^3\theta\sin\theta \right) d\theta + \int_{-\frac{\pi}{2}}^{\frac{\pi}{2}} d\theta \int_{0}^{2\cos\theta} \sqrt{2r\cos\theta - r^2} \cdot r dr \end{aligned} D=∫−2π2πdθ∫02cosθ(rcosθ+rsinθ+1−(rcosθ−1)2−(rsinθ)2)rdr=∫−2π2π(38cos4θ+38cos3θsinθ)dθ+∫−2π2πdθ∫02cosθ2rcosθ−r2⋅rdr
=163⋅3×14×2⋅π2+0+∫−π2π2π2cos3θdθ=π+π⋅∫0π2cos3θdθ=π+23π=53π \begin{aligned} &= \frac{16}{3} \cdot \frac{3 \times 1}{4 \times 2} \cdot \frac{\pi}{2} + 0 + \int_{-\frac{\pi}{2}}^{\frac{\pi}{2}} \frac{\pi}{2}\cos^3\theta d\theta \\ &= \pi + \pi \cdot \int_{0}^{\frac{\pi}{2}}\cos^3\theta d\theta = \pi + \frac{2}{3}\pi = \frac{5}{3}\pi \end{aligned} =316⋅4×23×1⋅2π+0+∫−2π2π2πcos3θdθ=π+π⋅∫02πcos3θdθ=π+32π=35π
∫02cosθ2rcosθ−r2⋅rdr=∫02cosθcos2θ−(r−cosθ)2⋅rdr=cosθ=a∫02aa2−(r−a)2⋅rdr=r−a=asint∫−π2π2acost⋅(asint+a)d(asint+a)=∫−π2π2a2cos2t⋅asintdt+∫−π2π2a3cos2tdt=2a3∫0π2cos2tdt=a3π2=π2cos3θ \begin{aligned} \int_{0}^{2\cos\theta} \sqrt{2r\cos\theta - r^2} \cdot r dr &= \int_{0}^{2\cos\theta} \sqrt{\cos^2\theta - (r - \cos\theta)^2} \cdot r dr \\ &\xlongequal{\cos\theta = a} \int_{0}^{2a} \sqrt{a^2 - (r - a)^2} \cdot r dr \\ &\xlongequal{r - a = a\sin t} \int_{-\frac{\pi}{2}}^{\frac{\pi}{2}} a\cos t \cdot (a\sin t + a) d(a\sin t + a) \\ &= \int_{-\frac{\pi}{2}}^{\frac{\pi}{2}} a^2\cos^2 t \cdot a\sin t dt + \int_{-\frac{\pi}{2}}^{\frac{\pi}{2}} a^3\cos^2 t dt \\ &= 2a^3 \int_{0}^{\frac{\pi}{2}} \cos^2 t dt = \frac{a^3\pi}{2} = \frac{\pi}{2}\cos^3\theta \end{aligned} ∫02cosθ2rcosθ−r2⋅rdr=∫02cosθcos2θ−(r−cosθ)2⋅rdrcosθ=a∫02aa2−(r−a)2⋅rdrr−a=asint∫−2π2πacost⋅(asint+a)d(asint+a)=∫−2π2πa2cos2t⋅asintdt+∫−2π2πa3cos2tdt=2a3∫02πcos2tdt=2a3π=2πcos3θ
解:由 x‾=∬x dxdy∬dxdy 可知∬x dxdy=x‾⋅∬dxdy=1⋅π⋅12=π同理 ∬y dxdy=y‾⋅∬dxdy=0⋅π⋅12=0令 z=1−(x−1)2−y2 , z2+(x−1)2+y2=1,球心为(1,0,0)、半径为1的上半球面,∬z dxdy 即半球体积, 23π⋅13=23π故原式=π+23π=53π \begin{aligned} \text{解:} \quad &\text{由} \ \overline{x} = \frac{\iint x \, dxdy}{\iint dxdy} \ \text{可知} \\ &\iint x \, dxdy = \overline{x} \cdot \iint dxdy = 1 \cdot \pi \cdot 1^2 = \pi \\ &\text{同理} \ \iint y \, dxdy = \overline{y} \cdot \iint dxdy = 0 \cdot \pi \cdot 1^2 = 0 \\ \\ &\text{令} \ z = \sqrt{1 - (x-1)^2 - y^2} \ , \ z^2 + (x-1)^2 + y^2 = 1 \text{,球心为}(1,0,0)\text{、半径为1的上半球面,} \\ &\iint z \, dxdy \ \text{即半球体积,} \ \frac{2}{3}\pi \cdot 1^3 = \frac{2}{3}\pi \\ \\ &\text{故原式} = \pi + \frac{2}{3}\pi = \frac{5}{3}\pi \end{aligned} 解:由 x=∬dxdy∬xdxdy 可知∬xdxdy=x⋅∬dxdy=1⋅π⋅12=π同理 ∬ydxdy=y⋅∬dxdy=0⋅π⋅12=0令 z=1−(x−1)2−y2 , z2+(x−1)2+y2=1,球心为(1,0,0)、半径为1的上半球面,∬zdxdy 即半球体积, 32π⋅13=32π故原式=π+32π=35π
液体的静压力
对于液体的静压力,计算公式为F=PS,P=ρgh(P为压强,S为面积,h是水下深度)。比如一个薄板水平放在水中受到的压强就是一个恒定的值,算液体对板的压力就可以直接用F=PS计算即可。但我们要考虑的是薄板竖直插入水中时受到的压力,此时不同深度处压强是不同的,不能直接应用压力的计算公式,需要借助“微元法”。具体思路如下:建立坐标轴,以水平面为坐标原点,向下为正方向;微元法:1)分割;2)近似:分割的比较细时近似看作压强是恒定不变的,分割出的小块近似看作长方形;故Pi=ρgxi,ΔS=f(xi)Δxi,故压力为ΔF(xi)=Pi⋅ΔSi=ρgxi⋅f(xi)Δxi,其中f(xi)为深度xi处物体的宽度;3)求和:∑i=1nρgxi⋅f(xi)Δxi;4)取极限:limλ→0∑i=1nρgxi⋅f(xi)Δxi=∫abρgx⋅f(x)dx。可以看出,关键是需要求出深度x处物体的宽度f(x)。 \begin{aligned} &\text{对于液体的静压力,计算公式为} F = PS,P = \rho g h(P\text{为压强,}S\text{为面积,}h\text{是水下} \\ &\text{深度)。比如一个薄板水平放在水中受到的压强就是一个恒定的值,算液体对板的压力就} \\ &\text{可以直接用} F = PS \text{计算即可。但我们要考虑的是薄板竖直插入水中时受到的压力,此} \\ &\text{时不同深度处压强是不同的,不能直接应用压力的计算公式,需要借助“微元法”。具体} \\ &\text{思路如下:} \\ \\ &\text{建立坐标轴,以水平面为坐标原点,向下为正方向;} \\ &\text{微元法:} \\ &1)\text{分割;} \\ &2)\text{近似:分割的比较细时近似看作压强是恒定不变的,分割出的小块近似看作长方形;} \\ &\text{故} P_i = \rho g x_i, \Delta S = f(x_i)\Delta x_i,\text{故压力为} \Delta F(x_i) = P_i \cdot \Delta S_i = \rho g x_i \cdot f(x_i)\Delta x_i,\text{其中} f(x_i) \\ &\text{为深度} x_i \text{处物体的宽度;} \\ &3)\text{求和:} \sum_{i=1}^{n} \rho g x_i \cdot f(x_i)\Delta x_i; \\ &4)\text{取极限:} \lim_{\lambda \to 0} \sum_{i=1}^{n} \rho g x_i \cdot f(x_i)\Delta x_i = \int_{a}^{b} \rho g x \cdot f(x)dx。 \\ \\ &\text{可以看出,关键是需要求出深度} x \text{处物体的宽度} f(x)。 \end{aligned} 对于液体的静压力,计算公式为F=PS,P=ρgh(P为压强,S为面积,h是水下深度)。比如一个薄板水平放在水中受到的压强就是一个恒定的值,算液体对板的压力就可以直接用F=PS计算即可。但我们要考虑的是薄板竖直插入水中时受到的压力,此时不同深度处压强是不同的,不能直接应用压力的计算公式,需要借助“微元法”。具体思路如下:建立坐标轴,以水平面为坐标原点,向下为正方向;微元法:1)分割;2)近似:分割的比较细时近似看作压强是恒定不变的,分割出的小块近似看作长方形;故Pi=ρgxi,ΔS=f(xi)Δxi,故压力为ΔF(xi)=Pi⋅ΔSi=ρgxi⋅f(xi)Δxi,其中f(xi)为深度xi处物体的宽度;3)求和:i=1∑nρgxi⋅f(xi)Δxi;4)取极限:λ→0limi=1∑nρgxi⋅f(xi)Δxi=∫abρgx⋅f(x)dx。可以看出,关键是需要求出深度x处物体的宽度f(x)。
![![[Pasted image 20251210110231.png]]](https://i-blog.csdnimg.cn/direct/b2769f397c7e4ca7b443515d4e1767a6.png)
![![[Pasted image 20251211105251.png]]](https://i-blog.csdnimg.cn/direct/09213921b8354c95a4529553989d80cd.png)
解:F=∫0aρgy⋅2(a−y)dy=2ρg(ay22−y33)∣0a=ρga33 \begin{aligned} \text{解:} \quad F &= \int_{0}^{a} \rho g y \cdot 2(a - y) dy \\ &= 2\rho g \left( \frac{a y^2}{2} - \frac{y^3}{3} \right)\bigg|_{0}^{a} \\ &= \frac{\rho g a^3}{3} \end{aligned} 解:F=∫0aρgy⋅2(a−y)dy=2ρg(2ay2−3y3)0a=3ρga3
![![[Pasted image 20251210110251.png]]](https://i-blog.csdnimg.cn/direct/7b978b242a524752a3c514cf97ebc768.png)
解:设上下部分压力为 F1,F2F1=∫0hρgy⋅2dy=ρgh2如图建立坐标系,抛物线过(0,0),(1,1),对称轴是y轴,方程为x2=yF2=∫01ρg(h+1−y)⋅2ydy=2ρg(h+1)⋅23−2ρg⋅25=43ρgh+815ρg由 F1:F2=5:4 , h243h+815=54 ⟹ h=2 \begin{aligned} \text{解:} \quad &\text{设上下部分压力为} \ F_1, F_2 \\ F_1 &= \int_{0}^{h} \rho g y \cdot 2 dy = \rho g h^2 \\ \\ &\text{如图建立坐标系,抛物线过}(0,0),(1,1), \\ &\text{对称轴是}y\text{轴,方程为}x^2 = y \\ \\ F_2 &= \int_{0}^{1} \rho g (h+1-y) \cdot 2\sqrt{y} dy \\ &= 2\rho g (h+1) \cdot \frac{2}{3} - 2\rho g \cdot \frac{2}{5} \\ &= \frac{4}{3}\rho g h + \frac{8}{15}\rho g \\ \\ &\text{由} \ F_1:F_2 = 5:4 \ , \ \frac{h^2}{\frac{4}{3}h + \frac{8}{15}} = \frac{5}{4} \implies h = 2 \end{aligned} 解:F1F2设上下部分压力为 F1,F2=∫0hρgy⋅2dy=ρgh2如图建立坐标系,抛物线过(0,0),(1,1),对称轴是y轴,方程为x2=y=∫01ρg(h+1−y)⋅2ydy=2ρg(h+1)⋅32−2ρg⋅52=34ρgh+158ρg由 F1:F2=5:4 , 34h+158h2=45⟹h=2
![![[Pasted image 20251211110212.png]]](https://i-blog.csdnimg.cn/direct/1156c3c70b684b3faa7c4784f154ded3.png)
9275

被折叠的 条评论
为什么被折叠?



