![![[Pasted image 20251209055256.png]]](https://i-blog.csdnimg.cn/direct/e9efc917826545d9ba6a86ac5bff03f8.png)
解:∬Dxydσ=∫0πdθ∫01+cosθ(rcosθ)(rsinθ)⋅rdr=∫0πcosθsinθ⋅(1+cosθ)44dθ=−∫0πcosθ⋅(1+cosθ)44d(cosθ)令u=cosθ,则当θ=0时u=1,θ=π时u=−1,=−∫1−1u⋅(1+u)44du=14∫−11u(1+u)4du展开(1+u)4=u4+4u3+6u2+4u+1,=14∫−11u(u4+4u3+6u2+4u+1)du=14∫−11(u5+4u4+6u3+4u2+u)du利用奇偶函数积分性质(奇函数在对称区间积分得0),剩余偶次项:4u4+4u2,=14⋅2∫01(4u4+4u2)du=12⋅4∫01(u4+u2)du=2(u55+u33∣01)=2(15+13)=1615 \begin{aligned} &\text{解:}\iint_{D} xy\mathrm{d}\sigma \\ &= \int_{0}^{\pi} d\theta \int_{0}^{1+\cos\theta} (r\cos\theta)(r\sin\theta) \cdot r dr \\ &= \int_{0}^{\pi} \cos\theta\sin\theta \cdot \frac{(1+\cos\theta)^4}{4} d\theta \\ &= -\int_{0}^{\pi} \cos\theta \cdot \frac{(1+\cos\theta)^4}{4} d(\cos\theta) \\ \\ &\text{令}u = \cos\theta,\text{则当}\theta=0\text{时}u=1,\theta=\pi\text{时}u=-1, \\ &= -\int_{1}^{-1} u \cdot \frac{(1+u)^4}{4} du = \frac{1}{4}\int_{-1}^{1} u(1+u)^4 du \\ \\ &\text{展开}(1+u)^4 = u^4 + 4u^3 + 6u^2 + 4u + 1, \\ &= \frac{1}{4}\int_{-1}^{1} u(u^4 + 4u^3 + 6u^2 + 4u + 1) du \\ &= \frac{1}{4}\int_{-1}^{1} (u^5 + 4u^4 + 6u^3 + 4u^2 + u) du \\ \\ &\text{利用奇偶函数积分性质(奇函数在对称区间积分得0),} \\ &\text{剩余偶次项:}4u^4 + 4u^2, \\ &= \frac{1}{4} \cdot 2\int_{0}^{1} (4u^4 + 4u^2) du = \frac{1}{2} \cdot 4\int_{0}^{1} (u^4 + u^2) du \\ &= 2\left( \left. \frac{u^5}{5} + \frac{u^3}{3} \right|_{0}^{1} \right) = 2\left( \frac{1}{5} + \frac{1}{3} \right) = \frac{16}{15} \end{aligned} 解:∬Dxydσ=∫0πdθ∫01+cosθ(rcosθ)(rsinθ)⋅rdr=∫0πcosθsinθ⋅4(1+cosθ)4dθ=−∫0πcosθ⋅4(1+cosθ)4d(cosθ)令u=cosθ,则当θ=0时u=1,θ=π时u=−1,=−∫1−1u⋅4(1+u)4du=41∫−11u(1+u)4du展开(1+u)4=u4+4u3+6u2+4u+1,=41∫−11u(u4+4u3+6u2+4u+1)du=41∫−11(u5+4u4+6u3+4u2+u)du利用奇偶函数积分性质(奇函数在对称区间积分得0),剩余偶次项:4u4+4u2,=41⋅2∫01(4u4+4u2)du=21⋅4∫01(u4+u2)du=2(5u5+3u301)=2(51+31)=1516
法2:令t=1+u,则u=t−1,当u=−1时t=0, u=1时t=2,14∫−11u(1+u)4du=14∫02(t−1)⋅t4dt=14∫02(t5−t4)dt=14(t66−t55∣02)=14(646−325)=8(26−15)=1615 \begin{aligned} &\text{法2:令}t = 1+u,\text{则}u = t-1,\text{当}u=-1\text{时}t=0,\ u=1\text{时}t=2, \\ &\frac{1}{4}\int_{-1}^{1} u(1+u)^4 du = \frac{1}{4}\int_{0}^{2} (t-1) \cdot t^4 dt \\ &= \frac{1}{4}\int_{0}^{2} (t^5 - t^4) dt \\ &= \frac{1}{4}\left( \left. \frac{t^6}{6} - \frac{t^5}{5} \right|_{0}^{2} \right) \\ &= \frac{1}{4}\left( \frac{64}{6} - \frac{32}{5} \right) \\ &= 8\left( \frac{2}{6} - \frac{1}{5} \right) \\ & = \frac{16}{15} \end{aligned} 法2:令t=1+u,则u=t−1,当u=−1时t=0, u=1时t=2,41∫−11u(1+u)4du=41∫02(t−1)⋅t4dt=41∫02(t5−t4)dt=41(6t6−5t502)=41(664−532)=8(62−51)=1516
拓:∫0πsinθcosθ⋅(1+sinθ)44dθ=∫0πsinθ⋅(1+sinθ)44d(sinθ)正确:将积分拆分为∫0π2+∫π2π① 计算∫0π2sinθ⋅(1+sinθ)44d(sinθ):令u=sinθ,则∫01u⋅(1+u)44du再令t=u+1,则u=t−1,积分变为:14∫12(t−1)t4dt=14∫12(t5−t4)dt=14(t66−t55)∣12=14(646−325−16+15)=14(636−315)=129120② 计算∫π2πsinθ⋅(1+sinθ)44d(sinθ):令u=sinθ,则∫10u⋅(1+u)44du=−∫01u⋅(1+u)44du=−129120故原式=129120−129120=0 \begin{aligned} &\text{拓:}\int_{0}^{\pi} \sin\theta\cos\theta \cdot \frac{(1+\sin\theta)^4}{4} d\theta \\ &= \int_{0}^{\pi} \sin\theta \cdot \frac{(1+\sin\theta)^4}{4} d(\sin\theta) \\ \\ &\text{正确:将积分拆分为}\int_{0}^{\frac{\pi}{2}} + \int_{\frac{\pi}{2}}^{\pi} \\ \\ &\text{① 计算}\int_{0}^{\frac{\pi}{2}} \sin\theta \cdot \frac{(1+\sin\theta)^4}{4} d(\sin\theta): \\ &\text{令}u = \sin\theta,\text{则}\int_{0}^{1} u \cdot \frac{(1+u)^4}{4} du \\ &\text{再令}t = u+1,\text{则}u = t-1,\text{积分变为:} \\ &\frac{1}{4}\int_{1}^{2} (t-1)t^4 dt = \frac{1}{4}\int_{1}^{2} (t^5 - t^4) dt \\ &= \frac{1}{4}\left( \frac{t^6}{6} - \frac{t^5}{5} \right)\bigg|_{1}^{2} = \frac{1}{4}\left( \frac{64}{6} - \frac{32}{5} - \frac{1}{6} + \frac{1}{5} \right) \\ &= \frac{1}{4}\left( \frac{63}{6} - \frac{31}{5} \right) = \frac{129}{120} \\ \\ &\text{② 计算}\int_{\frac{\pi}{2}}^{\pi} \sin\theta \cdot \frac{(1+\sin\theta)^4}{4} d(\sin\theta): \\ &\text{令}u = \sin\theta,\text{则}\int_{1}^{0} u \cdot \frac{(1+u)^4}{4} du = -\int_{0}^{1} u \cdot \frac{(1+u)^4}{4} du \\ &= -\frac{129}{120} \\ \\ &\text{故原式} = \frac{129}{120} - \frac{129}{120} = 0 \end{aligned} 拓:∫0πsinθcosθ⋅4(1+sinθ)4dθ=∫0πsinθ⋅4(1+sinθ)4d(sinθ)正确:将积分拆分为∫02π+∫2ππ① 计算∫02πsinθ⋅4(1+sinθ)4d(sinθ):令u=sinθ,则∫01u⋅4(1+u)4du再令t=u+1,则u=t−1,积分变为:41∫12(t−1)t4dt=41∫12(t5−t4)dt=41(6t6−5t5)12=41(664−532−61+51)=41(663−531)=120129② 计算∫2ππsinθ⋅4(1+sinθ)4d(sinθ):令u=sinθ,则∫10u⋅4(1+u)4du=−∫01u⋅4(1+u)4du=−120129故原式=120129−120129=0
∫0πsinθcosθ⋅(1+sinθ)44dθ=∫0π1−cos2θ⋅cosθ⋅(1+1−cos2θ)44dθ令u=cosθ,则dθ=−11−u2du,当θ=0时u=1,θ=π时u=−1,=∫1−1u1−u2⋅(1+1−u2)44⋅−11−u2du=∫1−1u⋅(1+1−u2)44⋅(−1)du被积函数是关于u的奇函数(对称区间[−1,1]),故积分结果为:=0 \begin{aligned} &\int_{0}^{\pi} \sin\theta\cos\theta \cdot \frac{(1+\sin\theta)^4}{4} d\theta = \int_{0}^{\pi} \sqrt{1-\cos^2\theta} \cdot \cos\theta \cdot \frac{(1+\sqrt{1-\cos^2\theta})^4}{4} d\theta \\ \\ &\text{令}u = \cos\theta,\text{则}d\theta = \frac{-1}{\sqrt{1-u^2}}du,\text{当}\theta=0\text{时}u=1,\theta=\pi\text{时}u=-1, \\ &= \int_{1}^{-1} u\sqrt{1-u^2} \cdot \frac{(1+\sqrt{1-u^2})^4}{4} \cdot \frac{-1}{\sqrt{1-u^2}}du \\ &= \int_{1}^{-1} u \cdot \frac{(1+\sqrt{1-u^2})^4}{4} \cdot (-1)du \\ \\ &\text{被积函数是关于}u\text{的奇函数(对称区间}[-1,1]\text{),故积分结果为:} \\ &= 0 \end{aligned} ∫0πsinθcosθ⋅4(1+sinθ)4dθ=∫0π1−cos2θ⋅cosθ⋅4(1+1−cos2θ)4dθ令u=cosθ,则dθ=1−u2−1du,当θ=0时u=1,θ=π时u=−1,=∫1−1u1−u2⋅4(1+1−u2)4⋅1−u2−1du=∫1−1u⋅4(1+1−u2)4⋅(−1)du被积函数是关于u的奇函数(对称区间[−1,1]),故积分结果为:=0
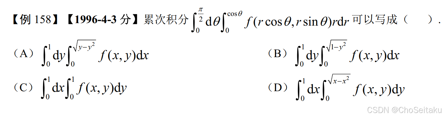
【小结】若题目中以极坐标直接给出积分区域,且被积函数以直角坐标给出,一般计算比较简单,直接在极坐标下计算积分即可。
\begin{aligned} &【小结】若题目中以极坐标直接给出积分区域,且被积函数以直角坐标给出,\\&一般计算
比较简单,直接在极坐标下计算积分即可。\end{aligned}
【小结】若题目中以极坐标直接给出积分区域,且被积函数以直角坐标给出,一般计算比较简单,直接在极坐标下计算积分即可。
![![[Pasted image 20251209055419.png]]](https://i-blog.csdnimg.cn/direct/cbd0fe1ce9a64423a23bdcd3d8f59966.png)
![![[Pasted image 20251209093454.png]]](https://i-blog.csdnimg.cn/direct/035e3140ebde49b0aca0259d922a6fc4.png)
解:记D1={(x,y)∣−1≤y≤0, −y≤x≤y},D2={(x,y)∣0≤y≤1, −y≤x≤y}.在D1上,yxe12(x2+y2)关于x为奇函数,故∬D1yxe12(x2+y2)dxdy=0.在D2上,yxe12(x2+y2)关于y为奇函数,故∬D2yxe12(x2+y2)dxdy=0∬D2ydxdy=0.∬Dydxdy=∬D1ydxdy=2∬D1ydxdy=2∫−10dy∫0−yydx=2∫−10−y2dy=2⋅(−y33)∣−10=−23 \begin{aligned} &\text{解:记} \\ &D_1 = \left\{ (x,y) \mid -1 \leq y \leq 0,\ -y \leq x \leq y \right\}, \\ &D_2 = \left\{ (x,y) \mid 0 \leq y \leq 1,\ -y \leq x \leq y \right\}. \\ \\ &\text{在}D_1\text{上,}yxe^{\frac{1}{2}(x^2+y^2)}\text{关于}x\text{为奇函数,} \\ &\text{故}\iint_{D_1} yxe^{\frac{1}{2}(x^2+y^2)} dxdy = 0. \\ \\ &\text{在}D_2\text{上,}yxe^{\frac{1}{2}(x^2+y^2)}\text{关于}y\text{为奇函数,} \\ &\text{故}\iint_{D_2} yxe^{\frac{1}{2}(x^2+y^2)} dxdy = 0 \\& \iint_{D_{2}} y dxdy = 0. \\ \\ &\iint_{D} y dxdy = \iint_{D_1} y dxdy = 2\iint_{D_1} y dxdy = 2\int_{-1}^{0} dy \int_{0}^{-y} ydx \\ &= 2\int_{-1}^{0} -y^2 dy = 2 \cdot \left. \left( -\frac{y^3}{3} \right) \right|_{-1}^{0} = -\frac{2}{3} \end{aligned} 解:记D1={(x,y)∣−1≤y≤0, −y≤x≤y},D2={(x,y)∣0≤y≤1, −y≤x≤y}.在D1上,yxe21(x2+y2)关于x为奇函数,故∬D1yxe21(x2+y2)dxdy=0.在D2上,yxe21(x2+y2)关于y为奇函数,故∬D2yxe21(x2+y2)dxdy=0∬D2ydxdy=0.∬Dydxdy=∬D1ydxdy=2∬D1ydxdy=2∫−10dy∫0−yydx=2∫−10−y2dy=2⋅(−3y3)−10=−32
对称点的函数值互为相反数,积分必为0. \begin{aligned} &\text{对称点的函数值互为相反数,积分必为}0. \end{aligned} 对称点的函数值互为相反数,积分必为0.
![![[Pasted image 20251209102425.png]]](https://i-blog.csdnimg.cn/direct/fbf86e201aa5489ca1b8f492db637e19.png)
∬xy3dσ=0 \begin{aligned} &\iint xy^3 d\sigma = 0 \end{aligned} ∬xy3dσ=0
![![[Pasted image 20251209102535.png]]](https://i-blog.csdnimg.cn/direct/659530701c3643af83e517a0a1806627.png)
∬x3y2dσ=0 \begin{aligned} &\iint x^3 y^2 d\sigma = 0 \end{aligned} ∬x3y2dσ=0
![![[Pasted image 20251209102631.png]]](https://i-blog.csdnimg.cn/direct/d25bb3c544ce463895147afa3f2bd0e0.png)
∬(x+y)dσ=0 \begin{aligned} &\iint (x+y)d\sigma = 0 \end{aligned} ∬(x+y)dσ=0
![![[Pasted image 20251209103622.png]]](https://i-blog.csdnimg.cn/direct/18a4466008334ec9acb4bb89e90556b3.png)
∬(x3+y)dσ=0 \begin{aligned} &\iint (x^3 + y)d\sigma = 0 \end{aligned} ∬(x3+y)dσ=0
【小结】(1) 对于本身关于两个坐标轴都不对称的区域,也可以考虑先将积分区域分割成为具有对称性的若干个子区域,然后再逐一运用对称性;(2) 当积分区域关于某一个坐标轴对称时,可以考虑通过函数的奇偶性化简积分,如果我们遇到的函数整体不具备奇偶性,则可以逐项讨论每一项的奇偶性,多数情况下,我们更加关注的是奇函数的部分,因为这部分的积分为零;(3) 积分区域关于y轴对称的时候,讨论被积函数关于x的奇偶性;积分区域D关于轴x对称的时候,讨论被积函数关于y的奇偶性。 \begin{aligned} &\text{【小结】}(1)\ \text{对于本身关于两个坐标轴都不对称的区域,也可以考虑先将积分区域分割} \\ &\text{成为具有对称性的若干个子区域,然后再逐一运用对称性;} \\ \\ &(2)\ \text{当积分区域关于某一个坐标轴对称时,可以考虑通过函数的奇偶性化简积分,如果} \\ &\text{我们遇到的函数整体不具备奇偶性,则可以逐项讨论每一项的奇偶性,多数情况下,我们} \\ &\text{更加关注的是奇函数的部分,因为这部分的积分为零;} \\ \\ &(3)\ \text{积分区域关于}y\text{轴对称的时候,讨论被积函数关于}x\text{的奇偶性;积分区域}D\text{关于} \\ &\text{轴}x\text{对称的时候,讨论被积函数关于}y\text{的奇偶性。} \end{aligned} 【小结】(1) 对于本身关于两个坐标轴都不对称的区域,也可以考虑先将积分区域分割成为具有对称性的若干个子区域,然后再逐一运用对称性;(2) 当积分区域关于某一个坐标轴对称时,可以考虑通过函数的奇偶性化简积分,如果我们遇到的函数整体不具备奇偶性,则可以逐项讨论每一项的奇偶性,多数情况下,我们更加关注的是奇函数的部分,因为这部分的积分为零;(3) 积分区域关于y轴对称的时候,讨论被积函数关于x的奇偶性;积分区域D关于轴x对称的时候,讨论被积函数关于y的奇偶性。
![![[Pasted image 20251209055724.png]]](https://i-blog.csdnimg.cn/direct/09aa3a33fa7940738b99cfe3813fccbb.png)
解:I=∫01dx∫01xyfxy′′(x,y)dy=∫01xdx∫01y⋅∂fx′(x,y)∂ydy=∫01x(y⋅fx′(x,y)∣y=0y=1−∫01fx′(x,y)⋅∂y∂ydy)dx=∫01(xfx′(x,1)−x∫01fx′(x,y)dy)dx=∫01xfx′(x,1)dx−∫01(∫01xfx′(x,y)dy)dx⇒交换积分次序=xf(x,1)∣01−∫01f(x,1)dx−∫01(∫01xfx′(x,y)dx)dy=f(1,1)−∫01f(x,1)dx−∫01(xf(x,y)∣x=0x=1−∫01f(x,y)dx)dy=f(1,1)−∫01f(x,1)dx−∫01f(1,y)dy+∫01∫01f(x,y)dxdy(结合边界条件,最终化简得)=∫01∫01f(x,y)dxdy=α \begin{aligned} &\text{解:}I = \int_{0}^{1}dx \int_{0}^{1} xy f_{xy}''(x,y) dy \\ \\ &= \int_{0}^{1} x dx \int_{0}^{1} y \cdot \frac{\partial f_x'(x,y)}{\partial y} dy \\ &= \int_{0}^{1} x \left( y \cdot f_x'(x,y) \bigg|_{y=0}^{y=1} - \int_{0}^{1} f_x'(x,y) \cdot \frac{\partial y}{\partial y} dy \right) dx \\ \\ &= \int_{0}^{1} \left( x f_x'(x,1) - x \int_{0}^{1} f_x'(x,y) dy \right) dx \\ \\ &= \int_{0}^{1} x f_x'(x,1) dx - \int_{0}^{1} \left( \int_{0}^{1} x f_x'(x,y) dy \right) dx \\ &\xRightarrow{\text{交换积分次序}} \\ &= \left. x f(x,1) \right|_{0}^{1} - \int_{0}^{1} f(x,1) dx - \int_{0}^{1} \left( \int_{0}^{1} x f_x'(x,y) dx \right) dy \\ \\ &= f(1,1) - \int_{0}^{1} f(x,1) dx - \int_{0}^{1} \left( \left. x f(x,y) \right|_{x=0}^{x=1} - \int_{0}^{1} f(x,y) dx \right) dy \\ \\ &= f(1,1) - \int_{0}^{1} f(x,1) dx - \int_{0}^{1} f(1,y) dy + \int_{0}^{1} \int_{0}^{1} f(x,y) dxdy \\ \\ &\text{(结合边界条件,最终化简得)} \\ &= \int_{0}^{1} \int_{0}^{1} f(x,y) dxdy = \alpha \end{aligned} 解:I=∫01dx∫01xyfxy′′(x,y)dy=∫01xdx∫01y⋅∂y∂fx′(x,y)dy=∫01x(y⋅fx′(x,y)y=0y=1−∫01fx′(x,y)⋅∂y∂ydy)dx=∫01(xfx′(x,1)−x∫01fx′(x,y)dy)dx=∫01xfx′(x,1)dx−∫01(∫01xfx′(x,y)dy)dx交换积分次序=xf(x,1)∣01−∫01f(x,1)dx−∫01(∫01xfx′(x,y)dx)dy=f(1,1)−∫01f(x,1)dx−∫01(xf(x,y)∣x=0x=1−∫01f(x,y)dx)dy=f(1,1)−∫01f(x,1)dx−∫01f(1,y)dy+∫01∫01f(x,y)dxdy(结合边界条件,最终化简得)=∫01∫01f(x,y)dxdy=α
【小结】本题的关键是由被积函数为xy与二阶混合偏导数fxy′′(x,y)的乘积,想到使用分部积分来将fxy′′(x,y)化成f(x,y)。 \begin{aligned} &\text{【小结】本题的关键是由被积函数为}xy\text{与二阶混合偏导数}f_{xy}''(x,y)\text{的乘积,想到使用} \\ &\text{分部积分来将}f_{xy}''(x,y)\text{化成}f(x,y)\text{。} \end{aligned} 【小结】本题的关键是由被积函数为xy与二阶混合偏导数fxy′′(x,y)的乘积,想到使用分部积分来将fxy′′(x,y)化成f(x,y)。
![![[Pasted image 20251209055845.png]]](https://i-blog.csdnimg.cn/direct/400ab0ccf3cd415eba2afd4fd47cc533.png)
解:∫02πdx∫0y(x)(x+2y)dy=∫02π(xy+y2)∣y=0y=y(x)dx=∫02π(xy+y2)dx=∫02π(x⋅y(x)+y2(x))dx=∫02π(x(t)⋅y(t)+y2(t))d(x(t)) \begin{aligned} &\text{解:}\int_{0}^{2\pi} dx \int_{0}^{y(x)} (x+2y) dy = \int_{0}^{2\pi} \left. \left( xy + y^2 \right) \right|_{y=0}^{y=y(x)} dx \\ &= \int_{0}^{2\pi} \left( xy + y^2 \right) dx = \int_{0}^{2\pi} \left( x \cdot y(x) + y^2(x) \right) dx \\ &= \int_{0}^{2\pi} \left( x(t) \cdot y(t) + y^2(t) \right) d\left( x(t) \right) \end{aligned} 解:∫02πdx∫0y(x)(x+2y)dy=∫02π(xy+y2)y=0y=y(x)dx=∫02π(xy+y2)dx=∫02π(x⋅y(x)+y2(x))dx=∫02π(x(t)⋅y(t)+y2(t))d(x(t))
=∫02π[(t−sint)(1−cost)+(1−cost)2](1−cost)dt=∫02π[(t−sint)(1−cost)2+(1−cost)3]dt=∫02πt(1−cost)2dt−∫02πsint(1−cost)2dt+∫02π(1−3cost+3cos2t−cos3t)dt=∫02πt(1−cost)2dt−13(1−cost)3∣02π+∫02π(1−3cost+3cos2t−cos3t)dt=π∫02π(1−cost)2dt+∫02π(1+3cos2t)dt=π∫02π(1−2cost+cos2t)dt+∫02π(1+3cos2t)dt=π⋅(2π+4⋅π2)+(2π+3⋅π2)=π⋅3π+5π=3π2+5π \begin{aligned} &= \int_{0}^{2\pi} \left[ (t-\sin t)(1-\cos t) + (1-\cos t)^2 \right] (1-\cos t) dt \\ &= \int_{0}^{2\pi} \left[ (t-\sin t)(1-\cos t)^2 + (1-\cos t)^3 \right] dt \\ &= \int_{0}^{2\pi} t(1-\cos t)^2 dt - \int_{0}^{2\pi} \sin t(1-\cos t)^2 dt + \int_{0}^{2\pi} (1-3\cos t+3\cos^2t-\cos^3t) dt \\ &= \int_{0}^{2\pi} t(1-\cos t)^2 dt - \frac{1}{3}(1-\cos t)^3\bigg|_{0}^{2\pi} + \int_{0}^{2\pi} (1-3\cos t+3\cos^2t-\cos^3t) dt \\ &= \pi \int_{0}^{2\pi} (1-\cos t)^2 dt + \int_{0}^{2\pi} (1+3\cos^2t) dt \\ &= \pi \int_{0}^{2\pi} (1-2\cos t+\cos^2t) dt + \int_{0}^{2\pi} (1+3\cos^2t) dt \\ &= \pi \cdot \left( 2\pi + 4 \cdot \frac{\pi}{2} \right) + \left( 2\pi + 3 \cdot \frac{\pi}{2} \right) \\ &= \pi \cdot 3\pi + 5\pi = 3\pi^2 + 5\pi \end{aligned} =∫02π[(t−sint)(1−cost)+(1−cost)2](1−cost)dt=∫02π[(t−sint)(1−cost)2+(1−cost)3]dt=∫02πt(1−cost)2dt−∫02πsint(1−cost)2dt+∫02π(1−3cost+3cos2t−cos3t)dt=∫02πt(1−cost)2dt−31(1−cost)302π+∫02π(1−3cost+3cos2t−cos3t)dt=π∫02π(1−cost)2dt+∫02π(1+3cos2t)dt=π∫02π(1−2cost+cos2t)dt+∫02π(1+3cos2t)dt=π⋅(2π+4⋅2π)+(2π+3⋅2π)=π⋅3π+5π=3π2+5π
【小结】若题目中以参数方程给出积分区域,可以将y看作x的函数,进而将二重积分化为定积分,然后用所给参数方程换元计算出积分。 \begin{aligned} &\text{【小结】若题目中以参数方程给出积分区域,可以将}y\text{看作}x\text{的函数,进而将二重积分} \\ &\text{化为定积分,然后用所给参数方程换元计算出积分。} \end{aligned} 【小结】若题目中以参数方程给出积分区域,可以将y看作x的函数,进而将二重积分化为定积分,然后用所给参数方程换元计算出积分。
交换积分次序与坐标系的转换
![![[Pasted image 20251209060000.png]]](https://i-blog.csdnimg.cn/direct/ae2e7b2cf0104947829289bcc4b3c663.png)
![![[Pasted image 20251209180553.png]]](https://i-blog.csdnimg.cn/direct/b0702d49606d4d8c8466d761df5b5e7c.png)
∫012dx∫x2xf(x,y)dy \int_{0}^{\frac{1}{2}} dx \int_{x^2}^{x} f(x,y) dy ∫021dx∫x2xf(x,y)dy
![![[Pasted image 20251209060015.png]]](https://i-blog.csdnimg.cn/direct/e1c332e6a2f44bb69a23a6ec71a888e0.png)
0≤r≤cosθ,r=cosθ,r2=rcosθ,x2+y2=x(x−12)2+y2=14 \begin{aligned} &0 \leq r \leq \cos\theta,\quad r = \cos\theta,\quad r^2 = r\cos\theta,\quad x^2 + y^2 = x \\ \\ &\left( x - \frac{1}{2} \right)^2 + y^2 = \frac{1}{4} \end{aligned} 0≤r≤cosθ,r=cosθ,r2=rcosθ,x2+y2=x(x−21)2+y2=41
![![[Pasted image 20251209184215.png]]](https://i-blog.csdnimg.cn/direct/9c5d0b0334c34049b8f9089b923e1128.png)
【小结】将极坐标转化为直角坐标,这类问题的求解思路和交换积分次序的问题类似,也是先通过积分上下限画出积分区域,同时将被积表达式转化为直角坐标形式,再选择合适的积分次序确定出积分的上下限。
\begin{aligned}&【小结】将极坐标转化为直角坐标,这类问题的求解思路和交换积分次序的问题类似,
\\&也是先通过积分上下限画出积分区域,同时将被积表达式转化为直角坐标形式,\\&再选择
合适的积分次序确定出积分的上下限。\end{aligned}
【小结】将极坐标转化为直角坐标,这类问题的求解思路和交换积分次序的问题类似,也是先通过积分上下限画出积分区域,同时将被积表达式转化为直角坐标形式,再选择合适的积分次序确定出积分的上下限。
{rcosθ=xrsinθ=y{r2=x2+y2θ=arctanyx \begin{cases} r\cos\theta = x \\ r\sin\theta = y \end{cases} \quad\quad \begin{cases} r^2 = x^2 + y^2 \\ \theta = \arctan\frac{y}{x} \end{cases} {rcosθ=xrsinθ=y{r2=x2+y2θ=arctanxy
![![[Pasted image 20251209060153.png]]](https://i-blog.csdnimg.cn/direct/1acd4376cd26420381e3343f0b4244d7.png)
注:r=secθ→r=1cosθ ⟹ rcosθ=1 ⟹ x=1解:I=∬Drsinθ1−r2cos2θ−sin2θ⋅rdrdθ=∬Drsinθ1−r2cos2θ+r2sin2θ⋅rdrdθ=∬Dy1−x2+y2dxdy=∫01dx∫0xy1−x2+y2dy=∫0113⋅(1−x2+y2)32∣y=0y=xdx=∫0113[1−(1−x2)32]dx=13−13∫0π2cos3tdsint=13−13⋅3!!4!!⋅π2=13−π16 \begin{aligned} &\text{注:}r=\sec\theta \rightarrow r=\frac{1}{\cos\theta} \implies r\cos\theta=1 \implies x=1 \\ \\ &\text{解:}I = \iint_{D} r\sin\theta \sqrt{1 - r^2\cos^2\theta - \sin^2\theta} \cdot r dr d\theta \\ &= \iint_{D} r\sin\theta \sqrt{1 - r^2\cos^2\theta + r^2\sin^2\theta} \cdot r dr d\theta \\ &= \iint_{D} y\sqrt{1 - x^2 + y^2} dxdy = \int_{0}^{1} dx \int_{0}^{x} y\sqrt{1 - x^2 + y^2} dy \\ \\ &= \int_{0}^{1} \left. \frac{1}{3} \cdot (1 - x^2 + y^2)^{\frac{3}{2}} \right|_{y=0}^{y=x} dx \\ &= \int_{0}^{1} \frac{1}{3} \left[ 1 - (1 - x^2)^{\frac{3}{2}} \right] dx = \frac{1}{3} - \frac{1}{3}\int_{0}^{\frac{\pi}{2}} \cos^3t d\sin t \\ \\ &= \frac{1}{3} - \frac{1}{3} \cdot \frac{3!!}{4!!} \cdot \frac{\pi}{2} = \frac{1}{3} - \frac{\pi}{16} \end{aligned} 注:r=secθ→r=cosθ1⟹rcosθ=1⟹x=1解:I=∬Drsinθ1−r2cos2θ−sin2θ⋅rdrdθ=∬Drsinθ1−r2cos2θ+r2sin2θ⋅rdrdθ=∬Dy1−x2+y2dxdy=∫01dx∫0xy1−x2+y2dy=∫0131⋅(1−x2+y2)23y=0y=xdx=∫0131[1−(1−x2)23]dx=31−31∫02πcos3tdsint=31−31⋅4!!3!!⋅2π=31−16π
【小结】若题目中以极坐标直接给出积分区域,且被积函数也以极坐标给出,一般计算比较复杂,需要转化为直角坐标系计算。
\begin{aligned}&【小结】若题目中以极坐标直接给出积分区域,且被积函数也以极坐标给出,\\&一般计算比较复杂,需要转化为直角坐标系计算。
\end{aligned}
【小结】若题目中以极坐标直接给出积分区域,且被积函数也以极坐标给出,一般计算比较复杂,需要转化为直角坐标系计算。

被折叠的 条评论
为什么被折叠?



