用于动力下肢外骨骼的变几何上下楼梯控制器
引言
据估计,脊髓损伤(SCI)的全球年发病率为每年25万至50万例新发病例[1]。SCI可能导致的一种功能障碍是双腿移动能力的丧失。无法行走可能进一步引发多种继发性健康问题,如肌肉萎缩、皮肤溃疡发生率增加、骨矿物质密度降低、肌肉痉挛、淋巴和血液循环受损、消化功能障碍以及呼吸和心血管功能下降[2]。近年来,能够为下肢轻瘫患者提供双腿移动能力的动力下肢矫形器,即下肢外骨骼,已开始出现(例如,参见最近的综述[3])。这些设备在多个关节处配备电机,通常包括髋、膝或踝关节的组合,以在行走过程中为下肢提供辅助运动;在大多数情况下,用户需要使用稳定辅助装置(如助行滚架或前臂拐杖)来维持平衡。由于这些设备几乎均为机器人设备,因此需要一种控制方法,使SCI用户能够自主控制与双腿移动相关的基本动作(即坐、站、走)。
具体而言,控制器应具备以下功能:(1)允许用户命令各种动作,理想情况下无需额外的仪器设备;(2)提供安全且与用户上半身运动协调良好的动作;(3)提供可适应不同环境几何结构的动作。最近一篇论文全面回顾了针对下肢外骨骼的各种控制方法,特别是针对完全性SCI个体的控制方法[4]。
其中针对完全性SCI个体所描述的控制方法包括参考文献[5–8],中所述的方法,这些方法均采用某种形式的轨迹控制,由阻抗控制主导或计算转矩控制方法。下肢外骨骼控制器可能实现平滑的辅助运动,且不限于预定义轨迹[9,10]。然而,此类方法需要自主肌肉控制来与传感器或机器人交互,以便用户意图直接决定轨迹。因此,这类控制方法不适用于运动功能完全丧失的神经损伤人群。生物启发式运动原语在控制外骨骼方面的应用此前已在健康受试者行走、上下楼梯过程中输出可接受的扭矩方面得到验证[11]。然而,该控制方法尚未被证明适用于病理性步态或瘫痪个体。
下肢外骨骼针对脊髓损伤(SCI)个体的目标是使下肢瘫痪的个体能够独立完成坐、站、行走以及在这些活动之间进行转换。除了可能缓解前述一些继发性健康问题之外,这些设备所提供的双腿移动能力有望提升家庭和社区中的可达性,特别是能够进入不适合轮椅通行的空间。为了充分实现这一潜力,此类设备需要具备上下楼梯的能力,而楼梯正是影响轮椅可达性的主要障碍之一。
尽管上下楼梯功能非常重要,但目前很少有文献描述能够实现下肢瘫痪患者使用外骨骼进行上下楼梯的控制方法,或表征与此类功能相关的移动能力。作者指出,目前有两种 commercially available 的下肢外骨骼——ReWalk(Rewalk Robotics Ltd.,以色列雅克内阿姆)和 Rex(Rex Bionics Ltd.,新西兰奥克兰)——已展示了上下楼梯的功能,但关于这两种系统的控制方法或功能,尚未在医学、工程或科学文献中发表任何技术信息。根据最近两篇关于下肢外骨骼控制方法的综述[4,12],,只有一篇论文[13]描述并验证了一种能够实现外骨骼针对完全性下肢瘫痪个体的基于楼梯上下功能的方法。该论文是本文的前期工作,描述了一种用于动力驱动的髋关节和膝关节外骨骼的控制方法,旨在为截瘫个体提供上下楼梯的功能,并展示了一名受试者在单一楼梯几何结构上进行上下楼梯的数据。本文在此基础上进行了扩展,改进了无需重新配置控制器即可适应不同楼梯几何结构的能力,并在上楼梯支撑相期间更好地利用了髋关节和膝关节的协同作用。本文进一步提供了三名运动完全性损伤的SCI受试者在三种不同楼梯几何结构上进行上下楼梯的实验数据,并特别评估了他们穿越这些楼梯的能力。实验表征包括对外骨骼关节角度、扭矩和功率的测量,并将这些测量结果与健康受试者的相应指标进行比较。此项工作的初步版本曾在参考文献 [14],中提出,其中报告了一名受试者在单一楼梯几何结构下的初步结果。
楼梯控制器
本文提出的楼梯控制器假设下肢外骨骼在右髋和左髋关节以及右膝和左膝关节处具有可逆式矢状面驱动(即四个驱动自由度),并且在踝关节处通过标准踝足矫形器提供被动支撑。这四个驱动自由度(DoFs)及其相关的关节角度如图1所示,分别为hrh、hlh、hrk和hlk,分别对应右髋、左髋、右膝和左膝的关节角度。此外,外骨骼的构型还由大腿相对于垂直方向的角度定义,即crt和clt,分别对应右大腿角度和左大腿角度。该控制方法进一步假设平衡主要通过使用一对前臂拐杖,或一根前臂拐杖结合扶手来实现。上下楼梯主控制器均为有限状态机,可从站立状态选择性地进入。在以下评估中,由工程师选择适当的上层控制器;尚未实现基于用户的动作指令。
关节级控制器
该控制架构包含一组用于控制每个驱动关节行为的关节级控制器,以及一个高层有限状态机,该状态机根据用户提供的运动指令和其他基于构型的测量值向关节级控制器发送指令。每个关节级控制器包含一个全状态反馈伺服控制器,其采用以下局部控制律:
$$ s_i = k_i(h_{eqi} - h_i) + b_i\dot{h}_i $$ (1)
其中,$ s_i $、$ h_i $ 和 $ \dot{h} i $ 分别是第i个关节的关节力矩、关节角度和角速度,而关节行为由控制参数向量 $ h {eqi} $、$ k_i $ 和 $ b_i $ 决定,它们分别为指令关节平衡角、指令刚度和指令阻尼。当 $ k_i $ 和 $ b_i $ 取值相对较高时,此类控制结构可模拟位置控制器;当使用不变的关节平衡角(并假设关节具有足够的可逆驱动性)时,可模拟可控的被动阻抗 $ k_i $ 和/或 $ b_i $。因此,决定每个关节行为的控制器参数的列向量可定义为
$$ k_i = [h_{eqi}\ k_i\ b_i]^T $$ (2)
对于此处考虑的具有四个驱动自由度的外骨骼,整个外骨骼的行为将完全由收集的控制器参数向量构成的矩阵决定
$$ K = [k_{rh}\ k_{lh}\ k_{rk}\ k_{lk}] $$ (3)
其中每个列向量的下标分别对应右髋、左髋、右膝和左膝关节。基于该局部控制结构,上层控制器的作用是根据用户输入定义矩阵(3),以使外骨骼按预期执行上下楼梯功能。
上楼梯上层控制器
上下楼梯主控制器均为有限状态机,其中每个状态定义了一个控制器参数矩阵 $ K_j $,对应于第j个状态。上楼梯上层控制器包含五个状态,如图2所示。其基本操作描述如下:每级楼梯的上升从状态1开始,该状态为站立状态,在此状态下外骨骼在双侧提供站立支撑髋关节和膝关节。为了启动上楼梯动作,用户必须向前倾斜姿势,可能借助扶手和/或稳定辅助装置,使得大腿平均角度相对于垂直方向超过预设阈值,并持续一段预设时间段(例如一秒钟)。这样做将使状态机进入状态2,即抬步状态,在此状态下右腿、更具体地说是右髋和膝关节角度,将沿着预设轨迹运动,以将右脚抬升至下一个台阶面之上,同时左腿保持姿势支撑。在完成预设的(基于时间的)轨迹后,状态机进入状态3。在上升过程中,状态3是唯一不严格采用由公式(1)–(3)所描述的基于阻抗的控制结构的状态行为。具体而言,在该状态下,右膝和髋关节通过虚拟耦合连接,模拟一个单自由度平行四边形连杆机构,其中对所形成的虚拟连杆的单自由度施加模拟阻尼(即零刚度阻抗控制器)。虚拟平行四边形与阻尼的组合提供了对可变台阶高度的适应能力。具体来说,在此状态下,模拟平行四边形连杆机构使足底基本平行于台阶踏面,而重力则促使右脚通过模拟连杆的阻尼沉降到台阶踏面上。一旦沉降完成,表现为右大腿角速度足够小,状态机便进入状态4,此时左脚仍停留在原始台阶踏面上,右脚已与下一个台阶的踏面接触,所有关节提供姿势支撑。要进入状态5并完成移步动作,用户必须再次前倾姿势,使其重心转移到右腿,这一判断依据是左大腿角度在预设时间段内超过预设阈值。一旦状态机进入状态5,右膝和髋关节将沿一条轨迹同时伸展,推动当前构型向站立配置移动,同时左腿、特别是左髋和膝关节角度将沿另一轨迹运动,以越过台阶,随后将外骨骼恢复到状态1的直立位置(尽管此时已位于比前一周期高一个台阶的位置)。每个连续台阶均通过类似过程攀登(即每次连续上楼梯都需要用户首先超过倾斜阈值以执行抬步动作,随后再次超过倾斜阈值以完成移步动作)。
楼梯下降主控器
楼梯下降控制器包含四个状态,如图3所示。其基本操作描述如下:每级台阶的下降起始于状态1,即站立状态,此时外骨骼在髋关节和膝关节处提供站立支撑。为了启动下楼梯动作,用户必须向前移动身体姿势,可能借助扶手和/或稳定辅助装置,使得大腿相对于垂直方向的平均角度超过一个预设阈值,并持续一段预设时间段(例如一秒)。当满足该条件时,状态机将进入状态2,即跨出状态,此时右腿、更具体地说右髋和膝关节角度将沿一条预设轨迹运动,以将右脚伸出至下一个台阶面之上,而左腿保持姿势支撑。在预设的(基于时间的)轨迹完成后,状态机进入状态3,此时左腿(支撑腿)的髋关节和膝关节执行一条预设的屈曲轨迹,产生支撑膝屈服(即降低),从而使身体质心和右脚平稳地落至下一个较低的台阶面。该屈曲轨迹足以适应最大台阶高度,因此可兼容可变台阶高度,因为在脚着地后继续膝关节屈曲仅用于将载荷转移至前脚,并卸载并抬起后脚。当定时屈曲轨迹完成且用户的姿势转移到右支撑腿上时(表现为右大腿相对于垂直方向的角度超过第二个预设阈值),控制器将切换到状态4,在此状态下,弯曲的左腿将按照预设轨迹运动,将外骨骼恢复至状态1的直立位置(但位置比前一周期低一级台阶)。
每一级后续台阶均通过类似过程下降。
实验实施与评估
外骨骼原型
前述的上升和下降控制器已在一款下肢外骨骼原型上实现,如图4所示。该原型利用商用的下肢外骨骼(Indego外骨骼,Parker-Hannifin公司,俄亥俄州克利夫兰)作为硬件平台,并用作者编写的软件替换该软件的商业版本——在本例中,即先前描述的上下楼梯控制器。Indego外骨骼硬件平台包含四个电机,用于驱动矢状面内双侧髋关节和膝关节的主动运动,此外,在两个踝关节处集成了踝足矫形器,以提供踝部稳定性并将外骨骼的重量传递至地面。机载电子传感器包括安装在每个关节处的编码器,可提供相应的关节角度和角速度,以及每个大腿连杆上的六轴惯性测量单元,用于获取左右大腿相对于垂直方向的角度。外骨骼的总质量(包括电池)约为12千克(26磅)。有关硬件平台的更详细描述见参考文献 [15]。
ControllerParameters
在进行下述评估试验之前,一名患有T12美国脊髓损伤协会(ASIA)损伤量表(AIS)A级脊髓损伤的受试者使用下肢外骨骼对上下楼梯控制器进行了测试,从而实现了对控制器轨迹、增益和阈值的迭代调优,并对上升和下降功能进行了初步验证。表1列出了控制增益(即每个状态下的刚度和阻尼)。这些增益是在表现出满意的跟踪特性后经验性地选定的,并在下述评估阶段的所有受试者和试验中使用。请注意,在状态3上楼梯时膝关节未列出任何阻抗参数,因为在该状态下髋关节和膝关节被控制以模拟一个单自由度系统。因此,髋关节处列出的阻尼是与(虚拟)单自由度髋/膝系统相关的阻尼。
| 表1 上升阻抗参数 | ||||||||
|---|---|---|---|---|---|---|---|---|
| 关节 | 状态1 | 状态2 | 状态3 | 状态4‐5 | ||||
| k(牛米/度) | b(牛米秒/度) | k | b | k | b | k | b | |
| 右上髋升 | 7.5 | 0.7 | 7.5 | 0.4 | 0 | 0.2 | 7.5 | 0.7 |
| 右膝 | 7.5 | 0.7 | 7.5 | 0.7 | * | * | 7.5 | 0.7 |
| 左髋 | 7.5 | 0.7 | 7.5 | 0.4 | 7.5 | 1 | 7.5 | 0.7 |
| 左膝 | 7.5 | 0.7 | 7.5 | 0.7 | 3.4 | 0.7 | 7.5 | 0.7 |
| 右下髋降 | 3.4 | 0.7 | 7.5 | 0.7 | 7.5 | 1 | 7.5 | 1 |
| 右膝 | 3.4 | 0.7 | 7.5 | 0.7 | 3.4 | 1 | 3.4 | 0.7 |
| 左髋 | 3.4 | 0.7 | 7.5 | 0.7 | 7.5 | 1 | 7.5 | 0.7 |
| 左膝 | 3.4 | 0.7 | 7.5 | 0.7 | 7.5 | 1 | 7.5 | 0.7 |
*不适用,因为髋关节和膝关节被控制以模拟单自由度。
| 表2 受试者特征 | |||
|---|---|---|---|
| 受试者 | 1 | 2 | 3 |
| AIS | A | A | A |
| 神经损伤水平 | T12/L1 | T8 | T10 |
| 受伤年数 | 2 | 2 | 14 |
| 性别 | M | M | M |
| Age | 32 | 18 | 44 |
| 身高(米) | 1.8 | 1.85 | 1.85 |
| 体重(千克) | 59.9 | 65.8 | 73.9 |
评估程序
为了评估控制器在实现变几何楼梯上下楼梯方面的有效性,对外骨骼控制器进行了实验评估,三名受试者使用该外骨骼装置在不同几何结构的楼梯上进行上下楼梯。所有受试者均患有运动完全性脊髓损伤,损伤水平从T10到L1不等。每位受试者的部分身体和损伤特征列于表2中。
上下楼梯实验在具有不同几何形状的楼梯上进行,这些楼梯的几何结构代表了一系列可能的楼梯几何结构。第一个楼梯的台阶高度为16.25厘米(6.5英寸),踏步宽度为27.5厘米(11英寸);第二个楼梯的台阶高度为7.62厘米(3英寸),踏步宽度为29.85厘米(11.75英寸);第三个楼梯的台阶高度为15.24厘米(6英寸),踏步宽度为29.85厘米(11.75英寸)。每个楼梯的各自几何形状按比例显示在图5中。
实验评估共包括三次每次两小时的会话,每位受试者在连续的天数内完成(即三次会话在连续三天内进行)。所有受试者均有使用外骨骼行走的先前经验,但均无使用外骨骼进行上下楼梯的先前经验。第一次两小时的会话为训练阶段,期间受试者学习如何与外骨骼交互以完成上楼梯和下楼梯操作。该会话还用于调整倾斜阈值(以触发上升和下降运动)以及移动速度(步态轨迹的持续时间),以适应每位受试者的偏好。第二次会话用于在不同楼梯几何结构上练习上下楼梯。最后,第三次会话用于对三段楼梯进行上下楼梯操作,并在此期间记录本文所呈现结果的数据。记录的数据包括上升和下降过程中左右髋关节和膝关节角度以及电机电流(由外骨骼记录),以及由实验人员记录的上下楼梯速率。在所有情况下,每位受试者均使用一对前臂拐杖作为稳定辅助装置,或使用一根前臂拐杖和一个扶手。请注意,所有评估均在佐治亚州亚特兰大的谢泼德中心进行,并获得了范德比尔特医学中心和谢泼德中心机构审查委员会的批准。对于所有试验,一名物理治疗师受试者身后始终有人跟随并保持接触,以防止跌倒,这是经批准的实验方案所要求的。
第三次会话后,还要求受试者使用博格自觉用力程度评分表对上下楼梯活动进行评分,该评分表的范围为6到20,其中6对应“完全不费力”,20对应“最大用力”[16]。
结果
爬楼梯结果
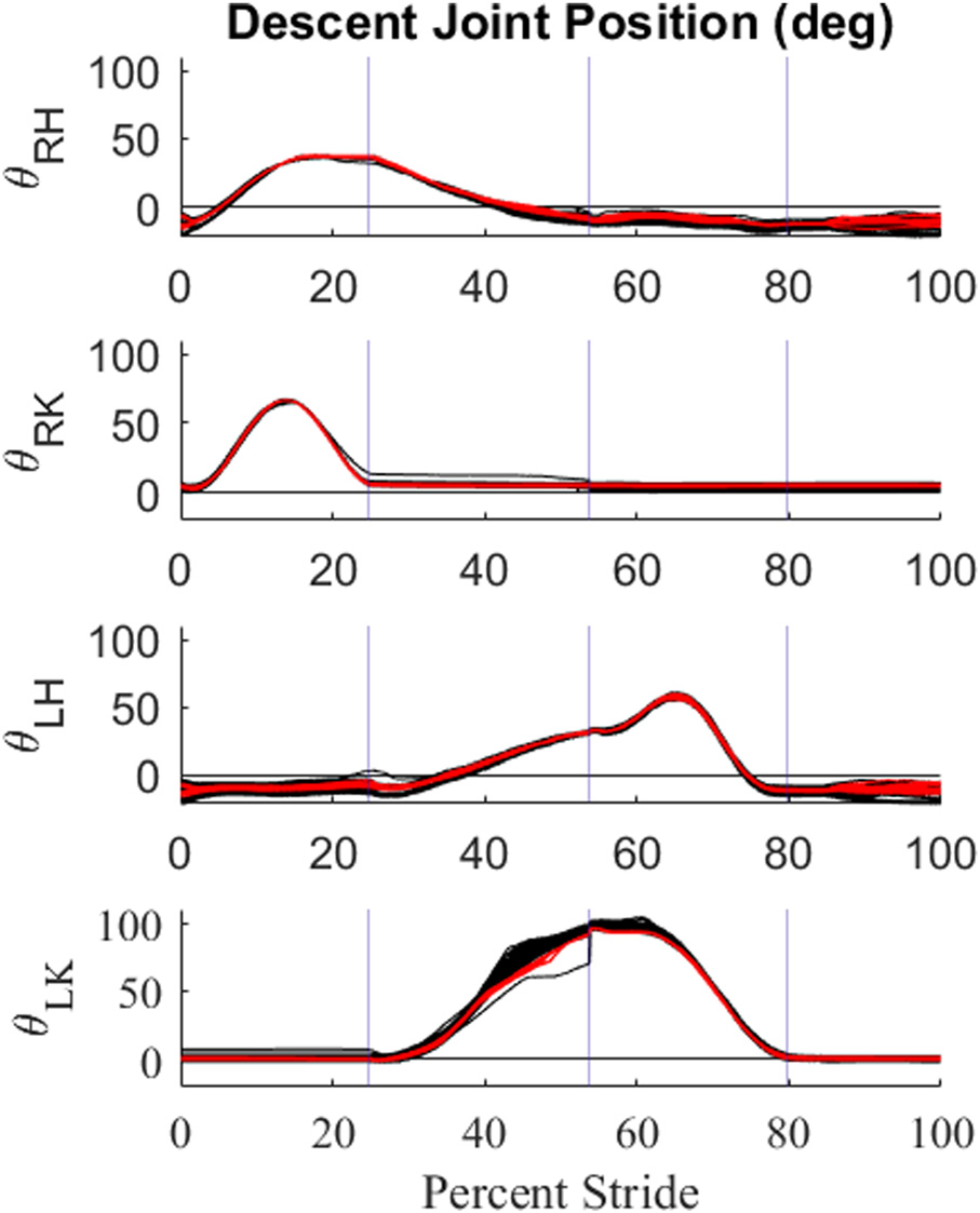
所有受试者均能在训练的前两小时内学会并完成爬楼梯动作。图6展示了一位受试者上楼梯的摄影序列,其中各摄影帧对应不同的控制器状态。图7展示了所有受试者的左右髋关节和膝关节角度的运动学数据,总共153步,包括在楼梯1上的90次上楼梯步伐(即S1的22步,S2的35步,S3的33步),以及在楼梯2上的63次上楼梯步伐(即每位受试者21步)。步态数据在两个点进行同步(对应于用户提供的第一次和第二次前倾阈值),而不是像通常分析步态数据那样仅在一个点(即足跟触地)同步。这是因为上楼梯“步幅”由两个连续的动作组成,每个动作均由用户独立触发,而非单一连续动作。因此,图7中的数据在步态周期的0%(对应用户达到第一次前倾阈值,即进入状态2)和步态周期的45%(对应用户达到第二次前倾阈值,即进入状态5)进行同步。请注意,图中垂直线用于区分不同状态,而步态周期的0%对应进入状态2(并退出状态1)。具体而言,步态周期的开始为进入抬步状态(状态2),此时右腿屈曲,使右脚抬高至下一台阶表面以上,这体现在测量到的右关节角度上升。预设轨迹接近外骨骼的最大膝关节屈曲(105度),以适应最大台阶高度。当预设轨迹完成后,控制器进入阻尼下降阶段,此时右髋和右膝在代码中联动,使其在重力作用下同步伸展,直到脚落在下一个台阶面。当右腿稳定时,控制器退出状态3,表现为右大腿角速度接近零。阻尼下降(状态3)之后是双支撑(状态4),当用户处于左大腿相对于垂直方向的角度超过指定时间(即100毫秒)的阈值时,控制器退出该状态。退出双支撑后,控制器启动抬起动作,其中右腿关节沿伸展轨迹运动至站立位置,而左关节则沿一条包含初始屈曲运动以越过台阶、随后伸展运动以返回站立配置的轨迹运动。在完成上步和移步轨迹后,控制器返回至站立(状态1)。
电机电流和运动学数据经过处理,以确定步态周期中的关节扭矩和功率;动力学数据按体重归一化,并在图中绘制。8和 9。图 8显示了三名受试者在楼梯1上的上楼梯过程中平均体重归一化关节扭矩,共包含90个步态周期(即受试者 S1为22个步态周期,S2为35个,S3为33个),以及均值上下正负一个标准差的范围。图 9显示了相应的平均体重归一化关节功率,以及均值上下正负一个标准差的范围。
下楼梯结果
所有受试者均在前两小时内成功完成了下楼梯训练阶段。图 10展示了其中一位受试者执行下楼梯的过程,每个摄影帧对应不同的控制器状态。左右髋关节和膝关节的运动学数据对应总共152个步态周期的下楼梯过程,其中包括在楼梯1上的89个步态周期(受试者S1为22个,S2为34个,S3 为33个),以及在楼梯2上的63个步态周期(每位受试者各 21个)。与上楼梯步态类似,下楼梯步态包含两个依赖用户的状态转换,因此每个步态周期需解析(即同步)两次,分别在步态周期的0%和54%,这对应于用户提供的倾斜触发信号 (即进入状态2和进入状态4)。具体而言,步态从预设迈步轨迹(状态2)开始,此时右腿发生髋关节屈曲,右膝屈伸,使得右脚位于下一个台阶面上方,而用户由左腿以站立配置提供支撑。当迈步动作完成后,控制器进入阻尼下降轨迹(状态3),此时左关节屈曲以适应最大台阶高度,同时右髋伸展至站立位置,使用户能够将重心从左腿转移到下一阶的右腿上。当轨迹完成且右大腿相对于垂直方向的角度超过某一预设时间段的阈值时,控制器退出状态3。一旦退出,即执行回位轨迹(状态4)以返回到站立配置。当预设轨迹完成后,用户保持在站立状态(状态1),直到主动退出(图 11)。
电机电流和运动学数据经过处理,以确定步态周期中的关节扭矩和功率;动力学数据通过体重进行归一化,并绘制在图12和13中。图12 显示了三名受试者在楼梯1上的上楼梯过程中平均体重归一化关节扭矩,共包含89个步态周期(即受试者S1为22个步态周期,S2为34个步态周期,S3为33个步态周期),以及均值的正负一个标准差。图13显示了相应的平均体重归一化关节功率,以及均值的正负一个标准差。
其他结果
步长时间(即上楼或下楼单个台阶所需的时间)由轨迹速度和用户触发步序的能力决定。图14显示了每位受试者在图5(a)所示楼梯上连续三次上下楼梯的平均步长时间,以及所有受试者的平均值,并标出了每个值的正负一个标准差。用户间的每步平均上楼时间为 7.8 ± 0.64 s,而用户间的每步平均下楼时间为 9.2 ± 1.1s。
在上楼状态3中观察到可变台阶高度适应,因为控制器仅在检测到踏板接触后才会进入下一个状态。图15显示了右腿在阻尼下降状态结束时的髋关节和膝关节角度(即状态3,此时外骨骼感知到脚部与下一个台阶面接触)。对于较高的台阶,阻尼下降结束时的姿态更为屈曲(即角度更大),相比更低的台阶而言。当比较楼梯2与楼梯3时,髋关节角度差异百分比为32%,膝关节为30%,而台阶高度的差异百分比为66%。由于楼梯1的高度与楼梯3,台阶高度的差异百分比为8%。请注意,在下楼梯过程中关节角度的相似差异并未出现,因为下降状态包含一个预设轨迹分量,该分量使腿部屈曲至期望最大屈曲,从而在支撑腿上实现接触,无论台阶高度如何变化。
最后,上升和下降过程中的平均博格主观用力评分为9.7 ± 1.5,其中9分对应“非常轻松”的用力程度,11分对应“轻松”的用力程度。报告的主观用力感受表明,机器人正在提供和耗散能量,以显著减少穿戴者所需的努力。通过对外骨骼电机的功率数据进行积分得出外骨骼生成和耗散的能量,功率数据如图9和 13所示。当外骨骼向系统添加能量时出现正功率,例如在上升的状态 3期间提升总质量或增加关节速度。当外骨骼从系统中耗散能量时出现负功率(例如降低总质量、降低关节速度)。外骨骼在上升和下降过程中生成或耗散的能量已通过一步的势能进行归一化处理,即通过理想情况下抬升或降低通过重力作用下一个人体与外骨骼系统的总质量在一步高度内的变化,所传递或耗散的能量被描述为“归一化能量”,即该能量通过单级楼梯上升或下降过程中系统势能的变化 (即质心功)进行归一化。对所有楼梯和受试者在下楼梯过程中的电机功率进行积分,表明外骨骼在下楼梯时每步平均耗散的归一化能量为57 ± 6%(相对于质心功)。对所有楼梯和受试者在上楼梯过程中的电机功率进行积分,表明外骨骼在上楼梯时每步平均提供的归一化能量为140 ± 14%(相对于质心功)。注意,在这两种情况下,功率和能量是在电机处测量的,而非关节处;因此,在下楼梯过程中,传动系统的低效率将导致关节处的能量耗散高于所报告的数值,而在上楼梯过程中则会降低能量贡献。此外,必须认识到质心功与关节级功之间的区别。前者仅考虑相对于重力的质心运动,而后者还包括与身体构型变化和水平前进相关的运动分量,以及与质心相对于重力相关的运动分量。因此,尽管电机耗散或产生的能量在一定程度上反映了相对于质心功的能量贡献,但对电机贡献的解释应有适当的局限性。为了更清晰地量化外骨骼在上下楼梯过程中的能量贡献,需要在楼梯踏板中安装测力台以测量外骨骼下方的垂直力,并使用运动捕捉系统测量垂直方向的质心运动,但在本研究描述的实验中并未具备这些条件。尽管如此,此处提供的数据至少表明,外骨骼电机相对于下楼梯和上楼梯的能量需求,分别提供了显著的能量耗散和能量贡献。
讨论
三名受试者能够顺利上下高度在7.6至16.5厘米之间的楼梯,且无需对控制器进行针对特定楼梯的调整。此外,三名受试者均采用了相同的控制器参数,仅倾斜阈值根据每位受试者进行了个性化调整,但在不同楼梯几何结构之间保持不变。行走控制器中使用的倾斜阈值(如参考文献[7]所述)已根据每位受试者进行调整。这是必要的,因为每位受试者的姿势具有独特性,且外骨骼与每位受试者的贴合程度也略有不同。然而,结果表明,所提出的控制结构能够在最小化定制(即仅调整倾斜阈值)的情况下适应不同受试者,并在无需调整控制器的情况下适应不同的楼梯几何结构。表3提供了外骨骼在楼梯1上的上下楼梯特征与参考文献[17]中健康受试者在类似楼梯几何结构下的数据对比,相关内容将在下文讨论中引用。健康的上楼梯和下降数据对应跨步步态,而外骨骼提供迈步步态。尽管存在这一限制,在缺乏更合适基准的情况下,健康的跨步数据仍为外骨骼的上升和下降性能比较提供了一定参考。以下讨论将依次考虑表3中的每一行。
如表中第一行所示,使用外骨骼进行上下楼梯的速度明显慢于正常步态。尽管如此,步长时间的一致性却非常接近。具体而言,三名受试者使用外骨骼时,上楼梯和下楼梯的步长时间标准差分别为7.6%和10.8%,而健康受试者队列对应的标准差分别为7.1%和8.3% [17]。如第二行和第三行所示,使用外骨骼在上下楼梯过程中的最大髋关节和膝关节角度也较为相似。具体而言,使用外骨骼时,上楼梯和下楼梯的最大膝关节屈曲分别为103度和97度,而健康状态下的对应值分别为95度和90度。最大髋关节屈曲角度在外骨骼条件下上楼梯和下楼梯分别为78度和58度,而在健康状态下分别为70度和45度。外骨骼提供的髋关节和膝关节活动范围大于典型健康受试者,部分原因是为了补偿踝关节背屈的不足,同时也为了适应上楼梯时变化的楼梯几何结构。
表 3的第四行提供了单个楼梯几何结构下一个步幅内关节运动相对于均值的标准差。在这种情况下,每个关节被单独考虑,但各关节之间的标准差结果被平均,以提供一个表征关节运动一致性的单一指标。如表中所示,外骨骼数据表明外骨骼的平均标准差分别为1.5和0.8度,而[17]报告了两个均为8度的结果。因此,与健康受试者的数据相比,外骨骼在受试者之间的运动更为一致。然而,这可能是预料之中的,因为外骨骼在不同受试者之间采用了相同的运动轨迹,而健康受试者并未受到类似的控制。
表 3的第五行列出了峰值髋关节和膝关节扭矩(对应楼梯1)。具体而言,在状态5的支撑相髋关节和膝关节处,在迈步动作期间(即外骨骼将体重提升到下一级台阶时),髋关节处的均值峰值扭矩为0.89 ± 0.2 Nm/kg,膝关节处为0.86 ± 0.07 Nm/kg。这些基于体重标准化的峰值力矩分别相当于健康上升相同阶段相应峰值髋关节和膝关节扭矩的176%和78%。在关节间取平均值后,外骨骼提供的平均峰值关节扭矩为0.88 N·m/kg,而健康上升对应的扭矩为0.8 N·m/kg。因此,外骨骼提供的平均系统级扭矩约为健康状态的110%,表明外骨骼所提供的“提升用力”水平与健康上升时观察到的相当。下降过程中的相应数据显示,在状态3期间,当外骨骼降低受试者的体重时,膝关节处的峰值扭矩为0.62 ± 0.07 N·m/kg,髋关节处为0.72 ± 0.18 N·m/kg。相应的健康受试者的扭矩分别为0.6和1.3 N·m/kg。考虑到关节平均“扭矩努力”,外骨骼提供0.67 N·m/kg,而健康受试者为0.9 N·m/kg。因此,在下降过程中,外骨骼提供了约74%的健康努力,其余的努力可能由上半身(使用扶手和/或拐杖)提供。
表 3的最后两行显示了峰值功率(对应于楼梯1以及图 9和 13)。在状态5的支撑髋关节处,即迈步动作期间(即外骨骼将身体质量抬升到下一级台阶时),峰值功率为0.88 ± 0.2 瓦/千克,在膝关节处为1.4 ± 0.3 瓦/千克。相比之下,健康上升对应的值分别为1.0 和 2.5 瓦/千克。采用关节平均功率计算,外骨骼提供1.14 瓦/千克,而健康上升为1.75 瓦/千克。因此,该外骨骼提供的峰值功率约为健康上升的63%。状态3(即下降状态)期间髋关节和膝关节在下降过程中的峰值功率分别为 -0.3 ± 0.1 和 -1.3 ± 0.2 瓦/千克,而正常步态对应的值为 -0.4 和 -4.0 瓦/千克。在两个关节上的平均值显示,外骨骼提供的峰值功率耗散为 -0.8 瓦/千克,而健康状态下为 -2.2 瓦/千克。因此,外骨骼提供的峰值功率耗散约为健康状态下的36%。
| 表3 外骨骼与健康上楼梯和下降特征 | ||||
|---|---|---|---|---|
| 外骨骼 | 健康 [17] | |||
| 上升 | 下降 | 上升 | 下降 | |
| 步时(秒) | 7.8 ± 0.6 | 9.2 ± 1 | 1.4 ± 0.1 | 1.2 ± 0.1 |
| 最大髋关节屈曲(度) | 78 ± 1 | 58 ± 1 | 70 | 45 |
| 最大膝关节屈曲(度) | 103 ± 1 | 97 ± 2 | 95 | 90 |
| 关节平均标准差(度) | 1.5 | 0.8 | 8 | 8 |
| 峰值髋关节力矩(N·m/kg) | 0.89 ± 0.2 | 0.72 ± 0.18 | 0.5 | 0.6 |
| 峰值膝关节力矩(N·m/kg) | 0.86 ± 0.07 | 0.62 ± 0.07 | 1.1 | 1.3 |
| 峰值髋关节功率 (W/kg) | 0.88 ± 0.2 | -0.3 ± 0.1 | 1 | -0.4 |
| 峰值膝关节功率 (W/kg) | 1.4 ± 0.3 | -1.3 ± 0.2 | 2.5 | -4 |
结论
提出了一种可变台阶高度外骨骼控制器,以实现采用动力驱动髋关节和膝关节的外骨骼进行上下楼梯。该控制器在一款下肢外骨骼中得以实施,并通过涉及三名运动完全性脊髓损伤受试者的试验评估了其提供上下楼梯功能的有效性,这些受试者在三种不同楼梯几何结构上完成了上下楼梯任务。所有受试者均能够顺利上下所有楼梯。试验数据支持该控制器在无需更改控制参数的情况下适应不同几何结构楼梯的能力。记录的数据还表明,与健康受试者的上下楼梯运动相比,运动速度明显较慢,但其他运动特征基本相似。具体而言,在上升和下降过程中,外骨骼提供的平均峰值关节扭矩分别为相应健康受试者峰值关节扭矩的110%和74%,平均峰值关节功率分别为健康数据的63%和36%,差异部分由上半身用力补偿。最后,尽管数据显示上半身需要付出一定努力,但用户主观用力评分显示完成该活动所需的努力程度介于“非常轻松”和“轻松”之间。
1307

被折叠的 条评论
为什么被折叠?



