2 心血管应用中的通用塑料
1 引言
本文所考虑的用于心血管应用的商品塑料如下:
• 聚烯烃
• 聚乙烯
• 聚丙烯
• 聚对苯二甲酸乙二醇酯(PET)
• 聚酰胺(PAs)
• 聚醚嵌段酰胺
聚烯烃具有悠久的研究和使用历史[1–4]。聚烯烃可进一步分为最常用的两类塑料:聚乙烯和聚丙烯。聚乙烯本身具有不同的结构形式和密度,包括高密度聚乙烯(HDPE)、低密度聚乙烯和线性低密度聚乙烯(LLDPE)[5]。总体而言,聚烯烃是应用最广泛的塑料,因此从其制造到结构、性能及加工工艺均得到了广泛研究[1–10]。
聚烯烃在医疗领域有多种应用,可用于体外一次性器械,如注射器、容器和包装[11,12]。在心血管领域,聚烯烃用于导入器、导管、导管衬里以及永久缝线[12–15]。聚对苯二甲酸乙二醇酯(PET)是聚酯家族中最常见的热塑性树脂,在纺织品、薄膜和包装领域有广泛应用,也是研究较为深入的塑料[16–18]。在心血管领域,PET被用于血管移植物和缝线[14,19]。聚酰胺(PAs)是一类具有基本酰胺键结构的塑料,其性能和应用范围取决于酰胺键前后链段的组成[20,21]。
含有酰胺键的聚合物种类繁多,包括天然和合成聚合物[21,22]。通过聚酰胺键可制备一系列尼龙共混物和嵌段共聚物配方,具有多样化的性能和应用[20–25]。在心血管领域,聚酰胺被用作导管、球囊导管和缝合线[14,19]。如预期所示,有许多供应商生产和供应这些商品塑料;然而,其中许多供应商对塑料的医疗用途,特别是体内使用的用途存在限制。有必要采用第4章中描述的技术对这些塑料进行仔细评估,以确定其生物特性。显然,评估将取决于塑料的应用,即含该塑料的器械在体内的位置和使用时间。
还有其他塑料也用于某些医疗应用;聚氯乙烯(PVC)被广泛使用,在心血管领域中用于制造导管、鲁尔接头、连接器和一次性用品。对PVC使用的担忧主要源于其配方中所用的添加剂,尤其是增塑剂。这些添加剂在使用过程中 tends to leach out,并且在某些情况下已被证明具有毒性。因此,PVC在医疗器械领域的使用正在减少,人们正在考虑采用替代材料进行替换。
苯乙烯类聚合物也被用于不同应用中,有时以聚苯乙烯形式使用,但通常是以苯乙烯与丁二烯和乙烯的共聚物形式使用。
2 聚烯烃
烯烃是一种不饱和烃,或含有至少一个碳‐碳双键的烃。烯烃也被称为烯烃或烷烃,这些术语可互换使用。仅含一个双键且无其他官能团的无环烯烃构成一系列通式为 CnH2n 的烃类,其中乙烯是最简单的烯烃,分子式为 C2H4,丙烯的分子式为 C3H6。烯烃的聚合反应生成聚烯烃,乙烯可聚合生成聚乙烯,丙烯可聚合生成聚丙烯。烯烃的聚合遵循加成链增长机理,可通过自由基或离子机理进行。
2.1 聚乙烯
聚乙烯是最常见的塑料,其年用量超过8000万吨[26]。聚乙烯通过不同的工艺制造,并产生不同的聚合物链结构及其相应的堆积密度。制造所有聚乙烯的主要原料是乙烯。乙烯的分子式如图1所示。
乙烯中碳原子与氢原子之间的夹角为121.3°。碳原子之间的距离为133.9皮米(1皮米 = 1 × 10−12米),碳原子与氢原子之间的距离为108.7皮米。乙烯中的双键是电子密度较高的区域,因此容易受到亲电化合物的攻击。亲电加成是乙烯的主要反应途径[4]。
乙烯是一种无色、易燃的气体,具有微弱的甜味。生产乙烯的原料是石油。制造乙烯的工业路线包括对烃类进行蒸汽裂解,然后通过一系列压缩和蒸馏步骤分离乙烯。
将乙烯转化为聚乙烯的过程最初由英国帝国化学工业公司(ICI)的化学家于20世纪30年代发现。-开发出一种高压工艺,用于将乙烯转化为白色蜡状物质。这成为工业化规模生产低密度聚乙烯(LDPE)的基础。20世纪50年代的研究重点是开发可在更有利条件下将乙烯转化为聚乙烯的催化剂。菲利普斯石油公司的化学家开发出一种铬基催化剂,可在比帝国化学工业公司所采用的更低的压力和温度条件下实现乙烯向聚乙烯的转化。‐数年后,德国化学家齐格勒开发出另一种基于钛卤化物和有机铝的催化剂,其反应条件比菲利普斯催化剂更为温和[4,7]。-齐格勒催化剂和菲利普斯催化剂目前均被广泛应用于聚乙烯的工业生产中。20世纪70年代可溶性催化剂——茂金属的出现,进一步拓展了聚乙烯在密度范围以及与其他烯烃进行共聚方面的应用。[27][1,27]。
2.1.1 聚乙烯的合成
聚乙烯是通过乙烯的加成聚合制成的,如下方程式所示[4]:
→ ∆= − − n H C H [ CH CH ] 92 kjmol n 2 4 2 2 1
生产聚乙烯有两种传统路线:高压路线和低压工艺。在高压过程中,生成较低密度产品,而低压工艺则用于制造较高密度产品。因此,低密度聚乙烯(LDPE)通过高压过程制得,高密度聚乙烯(HDPE)则通过低压工艺制得。这两种工艺之间的区别如下所述。
在高压过程中,纯度为>99%的乙烯被压缩后与引发剂一起加入反应器。所用引发剂为少量氧气和/或有机过氧化物。通过自由基聚合反应将乙烯转化为聚乙烯。该过程在1000–3000 atm的极高压力和150至300°C[28–30]的温度下进行。
高压过程的反应机理及由此产生的动力学是一系列反应步骤,即
• 引发剂分解
• 自由基链增长
• 向单体和调节剂的链转移
• 分子内和分子间链转移
• 二级自由基裂解,以及
• 链终止
这些步骤可以表示为一系列反应,如下所示,其中 I 为引发剂,R 为自由基,M 为单体(在本例中为乙烯),P 为聚合物或聚乙烯。
→ I 2. R Initiator decomposition k d
+ → R M M Initiation I k I I
+ → M M M Propagation I k I+1 p
+ → ′ M M M Termination I I+N N
用于合成低密度聚乙烯的两种不同操作方式的高压过程是釜式反应器和管式反应器-。与釜式反应器过程相比,管式反应器可实现更高的转化率。管式反应器中的转化率约为40%,而釜式反应器中约为25%。
反应器。通过添加饱和烃、α‐烯烃、酮类或醛类等链转移剂,可控制所得低密度聚乙烯链的分子量[28–31]。工艺结束时,将熔融聚乙烯送入挤出机并进行造粒。未反应的乙烯被回收再利用。最终产品包含4000至40000个乙烯单元以及大量支链。
在制造聚-乙烯的过程中,通过使用适当的催化剂体系可基本实现较低的压力。-较低的压力使得能够生产较高密度的产品,因为材料主链上连接的支链较少,而HDPE正是低压工艺的产物。菲利普斯催化剂和齐格勒催化剂典型地用于制造过程中[29]。例如,以二氧化硅为载体的氧化铬是一种菲利普斯催化剂体系;齐格勒催化剂是一种有机金属化合物,其示例为钛卤化物与烷基铝的组合。在10–80 atm的压力范围、-70–300°C的温度范围以及存在上述任一催化剂体系的条件下,采用三种不同的工艺来生产HDPE。淤浆法工艺、溶液法工艺和气相法工艺是用于生产HDPE的三种不同工艺。在淤浆法工艺中,将齐格勒催化剂与液态烃混合;该混合物形成浆料。然后将气态乙烯加压泵入浆料中,在浆料中乙烯聚合生成聚乙烯。随后蒸发掉烃类溶剂,并回收HDPE。类似于淤浆法的工艺是催化剂体系可溶于溶剂中的方法。该催化剂体系可溶于高分子量烃类溶剂,而淤浆法所用的是分子量较低的烃类溶剂。溶剂体系中的反应过程与淤浆法类似,在反应结束时蒸发溶剂并回收聚合物。在气相法工艺中,将乙烯和氢气的混合物通入装有菲利普斯催化剂的固定床反应器中[4]。乙烯聚合形成悬浮在流动气体中的HDPE颗粒,当阀门打开时,这些颗粒随气流排出反应器。从前述任一反应器流出的HDPE粉末需从稀释剂或溶剂(如使用)中分离出来,然后挤出并切割成颗粒。在聚合过程中将少量不同的单体与乙烯混合的工艺可导致聚合物链产生支化。这种共聚单体工艺可在低压工艺下制造低密度聚合物,从而获得比HDPE更低的密度。常用的共聚单体包括丁烯和己烯。
通常使用的共聚单体是丁烯和己烯。该工艺产生的支链长度比高压工艺短得多,因此所得结构更加线性。通过此工艺生产的聚合物称为线性低密度聚乙烯(LLDPE)。LLDPE相比低密度聚乙烯具有更高的韧性、抗撕裂性和柔韧性,在许多应用中更受青睐。一种较新的生产LLDPE的方法是使用茂金属催化剂;这些催化剂体系比传统的催化剂体系更具特异性,这些特异性的体系对链长和链结构的控制更为高效。使用茂金属催化剂生产的材料性能更优,在某些应用中尤其适用于包装领域。
2.1.2 聚乙烯的性质
聚乙烯的性能由平均分子质量、分子质量分布、短链支化度和共聚单体组成分布决定。这些参数直接反映了所采用的聚合技术、催化剂系统-以及工艺反应条件[3]。
聚乙烯聚合物的分子量分布取决于制造工艺中使用的催化剂体系。铬基菲利普斯和钛基齐格勒催化剂是多活性位点催化剂,而茂金属催化剂被称为单活性位点催化剂体系。标准多活性位点催化剂生成的聚乙烯具有较窄至较宽的分子质量分布。由菲利普斯型和齐格勒型催化剂生产的聚乙烯的分-子量分布指数,即重均分子量与数均分子量之比-Mw/Mn,其数值在4到12之间变化。相比之下,茂金属催化剂生产的聚乙烯具有较窄的分子质量分布,其分子量分布指数数值小于4[3,4]。
低密度聚乙烯的密度范围为0.910–0.940 g/cm³。由于其具有高度的短链和长链支化,聚合物链无法很好地排列成晶体结构。因此,分子间吸引力较弱,因为瞬时偶极‐诱导偶极吸引力较小。这导致抗拉强度较低,断裂伸长率增加。低密度聚乙烯的性能由其分子形态决定,特别是分子量和支化结构。在低密度聚乙烯主链上形成的短链和长链支链,在分子内和分子间自由基转移反应过程中形成统计分布。大量长支链赋予熔融低密度聚乙烯独特且理想的流动性能。
聚合物性能与聚合过程中的温度和压力相关,通过控制这些数值,可以调节分子结构和最终的聚合物性能。
低密度聚乙烯的主要性能可概括为:半刚性、半透明、坚韧、良好的化学-耐受性、低吸水性、热塑性,且大多数加工方法均易于加工。一些代表性数值见‐表1。
表1 低密度聚乙烯的物理性能
| 低密度聚乙烯物理性能 | 数值 |
| — | — |
| 抗拉强度 | 12–15 兆帕 |
| 缺口冲击强度 | 无断裂 |
| 热膨胀系数的膨胀 (×10⁻⁶ K⁻¹) | 100–220 × 10⁻⁶ |
| 最高持续使用温度 | 65°C (149°F) |
| 熔点 | 110°C (230°F) |
| 玻璃化转变温度 | −125摄氏度 (−193华氏度) |
| 密度 | 0.910–0.940 g/cm³ |
高密度聚乙烯的密度定义为大于或等于0.941 g/cm³。高密度聚乙烯的支化度较低,因此分子间作用力比低密度聚乙烯更强。这使其抗拉强度高于其低密度对应物。
高密度聚乙烯的主要性能可总结为:柔韧、半透明/蜡状、耐候、良好的低温韧性(可至 −60摄氏度),可通过大多数方法轻松加工,低成本,且具有良好的化学抗性(表2)。
在很大程度上,聚合物链的长度及其结构排列,即分子量和结晶度百分比,在决定高密度聚乙烯-的性能方面起着最重要的作用。[3]所有高密度聚乙烯树脂的典型特征是机械性能之间存在相反的依赖关系。材料刚度或杨氏模量以及抗拉强度与环境应力开裂抗性(ESCR)和材料韧性或冲击性能相对立。产品开发的挑战在于实现最佳的性能平衡,以满足材料所应用的‐各种应用需求。
2.2 聚丙烯
丙烯的分子式如图2所示。
乙烯和丙烯之间的区别在于丙烯多了一个甲基。与乙烯相似,丙烯在室温和常压下是一种无色气体;然而,由于甲基的存在,丙烯具有更高的分子质量,其液态时的沸点也高于乙烯。
丙烯与乙烯一样,是石油精炼的-副产物[1,2]。丙烯的主要来源之一是石脑油裂解;在裂解过程中,通过将较大的烃分子裂解为较低摩尔质量的烃类,产生乙烯、-丙烯和其他化合物。随后可通过分馏从裂解得到的烃类混合物中分离出丙烯。由于甲基的存在,碳原子之间的双键特别弱,相对容易发生聚合反应生成-聚丙烯。
2.2.1 聚丙烯的合成
20世纪50年代,菲利普斯石油公司的不同化学家以及意大利化学家朱利奥·纳塔首次尝试将丙烯聚合为聚丙烯,以及德国化学家卡尔·雷恩。聚丙烯的首次商业化生产由意大利公司蒙特卡蒂尼于1957[1,9]年启动。传统上,将丙烯转化为聚丙烯主要有两种工艺:本体浆液法和气相法。齐格勒‐纳塔催化剂这一复合催化剂的开发对于丙烯聚合成聚丙烯的工业化应用进展至关重要。齐格勒‐纳塔催化剂由氯化钛与烷基铝(如三乙基铝)相互作用形成。本体法在液态丙烯中进行,无需溶剂。整个过程保持使丙烯维持在液态所需的温度和压力。所用温度范围为70至80°C,压力范围为30–40个大气压。聚合结束后,聚合物颗粒从液体中分离出来,未反应的丙烯被循环回工艺中。由于使用液态丙烯作为聚合反应的介质,因此无需使用高级烃类作为溶剂。
在气相法中,将丙烯和氢气的混合气体通入装有齐格勒‐纳塔催化剂的反应床层,在50–80°C的温度和8–35个大气压的压力下进行反应。工艺结束后,通过旋风分离器将聚合物与气态丙烯和氢气分离,未反应的气体被回收并循环回工艺中。茂金属催化剂也正越来越多地用于聚丙烯的生产。与传统的催化剂体系相比,茂金属催化剂具有一些显著优势。主要优势在于对聚丙烯结构的控制能力。聚丙烯的结构由其立构规整度或立体排列决定。
2.2.2 聚丙烯的结构和性能
定义聚丙烯结构的一个重要概念是理解其立构规整度[9]。单体上甲基的取向相对于其他或邻近单体的取向控制或定义了聚合物链的立构规整度。当所有甲基的取向相同时,该聚合物被称为等规立构。在间规立构聚合物中,甲基交替地位于链的不同侧。聚合物链的立构规整度在决定聚丙烯结晶度程度方面起着关键作用。
用于生产聚丙烯的催化剂在决定材料立构规整度方面起着非常重要的作用。齐格勒‐纳塔催化剂在生产等规聚合物链方面非常有效。较新的茂金属催化剂已被证明能够可重复地生产间规材料。当聚丙烯链中的甲基没有特定取向时,这类聚合物称为无规聚丙烯。无规聚丙烯是一种无定形的橡胶状材料。
聚丙烯的性质在许多方面与聚乙烯(包括LDPE和HDPE)相似。甲基的存在改善了某些机械性能,包括材料韧性、蠕变和疲劳性能。甲基的存在也增强了耐热性;但由于碳键周围的化学活性增加,导致化学耐受性下降。在溶液行为和电性能方面,聚丙烯与聚乙烯表现出相当的平衡性。总体而言,聚丙烯的性能取决于聚合物链的分子量和分子量分布、结晶度、立构类型以及所使用的共聚单体的比例。
聚丙烯的密度介于0.895至0.92 g/cm³,之间,使PP成为密度最低的商品塑料。这种较低的密度是由于聚合物中无定形区与结晶区之间的密度差异较小所致;该密度差异低于聚乙烯,因此观察到的聚合物密度小于低密度聚乙烯[1,9]。
聚丙烯的抗拉强度为4000至5000磅/平方英寸之间,聚丙烯的杨氏模-量介于1300至1800 N/mm²,之间,断裂伸长率范围为10%至30%。
聚丙烯通常具有坚韧、耐疲劳和柔韧性好的特点;当丙烯与乙烯共聚时,这些性能会得到增强[32]。广泛的机械性能使得聚丙烯可作为工程塑料应用于多种场合,‐与其他热塑性材料竞争。
聚丙烯的热性能在很大程度上取决于其结构,特别是其立构规整度[33]。具有完全等规结构的-聚丙烯熔点为171°C(340°F);然而其结构中总会存在一定量的杂质,商品化全同立构聚丙烯的熔点范围为160至166°C(320–331 °F)。结晶度为30%的间同立构聚丙烯熔点为130 °C(266 °F)。
据报道,在低温(低于0摄氏度)下,聚丙烯有变脆的倾向。聚丙烯的热膨胀系数与聚乙烯相似[1]。
2.2.2.1 化学性质
聚丙烯在室温条件下的耐化学性是其突出的性能之一;尽管具有较高的耐化学性,但由于其结构中的叔碳原子[9]这一性能使得聚丙烯适合用作储存容器,这些容器可用于储存多种不同化学品。在室温下,PP对极性和非极性物质均具有耐受性,所有脂肪和几乎所有有机溶剂均不会侵蚀PP,例外的是强氧化性溶剂,如过氧化物和高氯酸盐。非氧化性酸和碱可储存在由PP制成的容器中。在高于100摄氏度的温度下,PP可溶解于-低极性溶剂中,例如二甲苯。对二甲苯(PX)是PP的一种已知溶剂,商用级别在140摄氏度的温度下可完全溶解于PX中[9]。可以看出,当溶液从140摄氏度冷却至室温时,材料的无规部分仍保持溶解在溶剂中。而等规部分,即所有商用级别的主要部分,当温度降至100摄氏度以下时会从溶液中析出出来-[33]。
甲基的存在及其相关的叔碳原子使聚丙烯的结构具有一定程度的化学不稳定性。当暴露于热和紫外线(UV)辐射时,聚丙烯容易发生链降解,这种敏感性在户外应用中令人担忧,因为阳光可能成为聚丙烯的潜在降解因素[34,35]。氧化通常发生在每个重复单元中存在的叔碳原子上。在此位置形成自由基,随后与可获得的氧气进一步反应,继而发生链断裂,生成醛类和羧酸。在户外应用中,常使用炭黑等紫外线吸收添加剂作为填料,否则随着暴露时间的增加,降解会导致裂纹网络的形成,并变得越来越深且严重。聚丙烯在高温下也可能发生氧化;因此,在热塑性加工操作中会添加抗氧化剂以防止氧化的发生[34]。聚丙烯在热塑性加工操作中会添加抗氧化剂以防止氧化的发生[34]。聚丙烯在生物环境中的降解也已有报道。从与淀粉混合的土壤样品中分离出的微生物群落已被证明是能够降解聚丙烯[34]。据报道,作为可植入网状装置的聚丙烯在人体内会发生降解。降解后的材料会在网片纤维表面形成一层树皮样层[36]。
熔体流动速率(MFR)或熔体流动指数(MFI)是衡量聚丙烯分子量的指标。该指标有助于确定熔融原料在加工过程中流动的难易程度。在注射或吹塑生产过程中,具有较高MFR的聚丙烯更容易填充塑料模具。然而,随着熔体流动性的增加,某些物理性能(如冲击强度)会降低。
聚丙烯有三种通用类型:均聚物、无规共聚物和嵌段共聚物。共聚单体通常与乙烯一起使用。将乙烯‐丙烯橡胶或EPDM添加到聚丙烯均聚物中,可提高其低温冲击强度。将随机聚合的乙烯单体添加到聚丙烯均聚物中,可降低聚合物的结晶度,降低熔点,并使聚合物更具透明性。未着色的PP可以制成半透明状,但不像聚苯乙烯、丙烯酸树脂或其他某些塑料那样容易制成透明材料。它通常使用颜料制成不透明或着色产品。
聚丙烯的各种性能列于表3。
表3 聚丙烯的性能
| | 性能 | 均聚物 | 共聚物 |
| — | — | — | — |
| D792 | 密度 (lb/in³)(g/cm³) | 0.033 0.905 | 0.033 0.897 |
| D570 | 吸水率,24小时(%) | <0.01 | 0.01 |
| D638 | 抗拉强度(磅/平方英寸) | 4,800 | 4,800 |
| D638 | 拉伸模量(磅/平方英寸) | 195,000 | — |
| D638 | 屈服时拉伸伸长率 (%) | 12 | 23 |
| D790 | 弯曲强度 (psi) | 7,000 | 5,400 |
| D790 | 弯曲模量 (psi) | 180,000 | 160,000 |
| D695 | 抗压强度 (psi) | 7,000 | 6,000 |
| D695 | 压缩模量(磅/平方英寸) | 225,000 | — |
| D785 | 硬度 ,洛氏R标尺 | 92 | 80 |
| D256 | IZOD缺口冲击强度(英尺‐磅/英寸) | 1.9 | 7.5 |
| D696 | 线性热膨胀系数(× 10⁻⁵英寸/英寸/°F) | 6.2 | 6.6 |
| D648 | 热变形温度(°F/°C) 在66 psi下 在264 psi下 | 210/99 125/52 | 173/78 110/43 |
| D3418 | 熔化温度(°F/°C) | 327/164 | 327/164 |
| — | 最高工作温度(°F/°C) | 180/82 | 170/77 |
| C177 | 导热系数 (BTU‐英寸/平方英尺²‐小时‐°F) (× 10⁻⁴卡/平方厘米‐秒‐°C) | 0.76–0.81 2.6–2.8 | — — |
| UL94 | 可燃性等级 | HB | n.r. |
| D149 | 介电强度(V/mil)短时,1/8′′厚 | 500–660 | 475 |
| D150 | 1 kHz时的介电常数 | 2.25 | 2.2–2.36 |
| D150 | 1 kHz时的损耗因数 | 0.0005–0.0018 | 0.0017 |
| D257 | 体积电阻率 (Ω‐cm) 在 50% 相对湿度下 | 8.5 × 10¹⁴ | 2 × 10¹⁶ |
| D495 | 耐电弧性 (秒) | 160 | 100 |
2.3 聚烯烃的医学应用
聚乙烯和聚丙烯是聚烯烃家族中两种重要的聚合物,由于其具有生物相容性和耐化学性,因此在医疗领域有广泛的应用-。在心血管领域,低密度聚乙烯和高密度聚乙烯均被用于制造输血用的管材和外壳。它们也被用于制造血袋以储存血液。聚丙烯也用于制造心脏瓣膜结构结构[12,14]。
其最常见的医用用途是作为合成不可吸收缝线[37]。聚丙烯还被用于疝气和盆腔器官脱垂修复手术,以防止身体在同一位置再次发生疝气。一小块该材料被放置在疝气部位的皮肤下方,无痛且极少被身体排斥[38]。然而,聚丙烯网片会在数天到数年不等的不确定时间内侵蚀周围组织。因此,美国食品药品监督管理局(FDA)已发布多项警告关于聚丙烯网片医疗套件在盆腔器官脱垂某些应用中的使用,特别是当其被植入靠近阴道壁时,由于过去几年中患者报告的网片引起的组织糜烂数量持续增加-specifically when introduced in close proximity to the vaginal wall due to a continued increase in number of mesh‐driven tissue erosions reported by patients在过去几年中[39]。最初被认为具有惰性,但研究发现聚丙烯在体内会发生降解。降解后的材料会在网片纤维上形成树皮状外壳,并容易开裂[36]。
第3页 聚对苯二甲酸乙二醇酯
聚对苯二甲酸乙二醇酯(PET)是聚酯家族的一种热塑性聚合物。聚酯家族中的常见化学基团是酯基。该酯基具有高度易发生水解;许多研究发现,水分的存在会使其轻易断裂。值得注意的是,尽管属于聚-酯类,聚对苯二甲酸乙二醇酯却被认为具有极高的生物稳定性[14,19]。这种生物稳定性源于聚对苯二甲酸乙二醇酯的结构及其分子结构排列或其结晶‐性[18]。
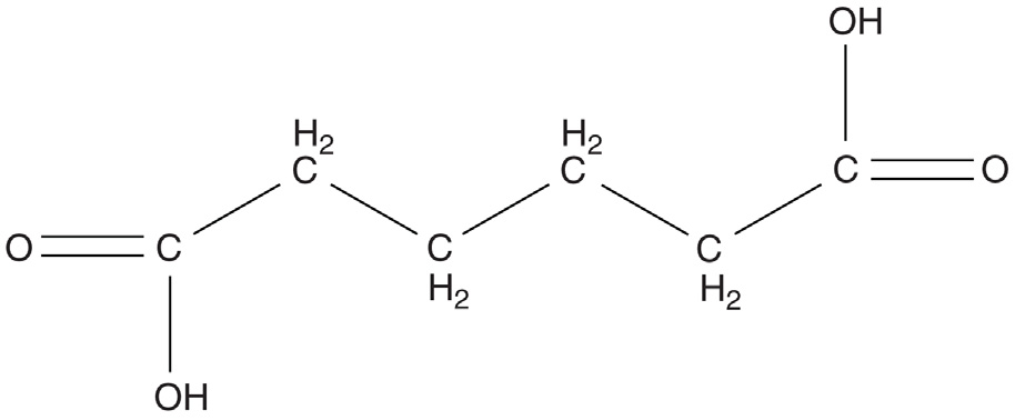
聚对苯二甲酸乙二醇酯由聚合的单体对苯二甲酸乙二醇酯形成长链,其重复单元为(C₁₀H₈O₄),如图3所示。
第3页 聚对苯二甲酸乙二醇酯的合成
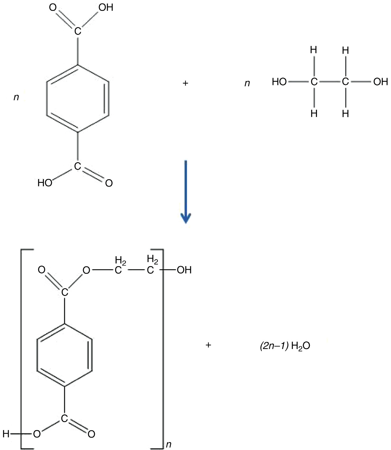
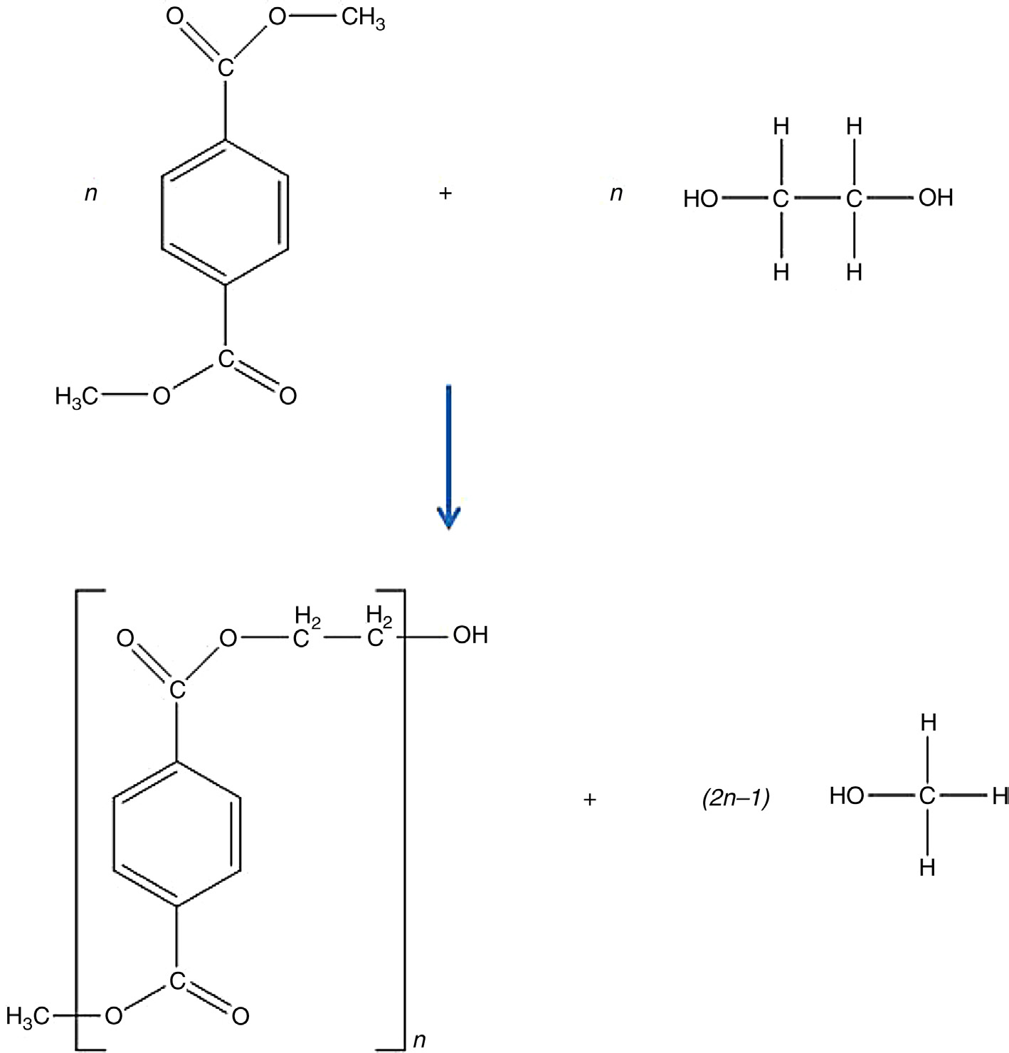
聚对苯二甲酸乙二醇酯的单体可以通过两种方法合成:酯化或酯交换。[40,41]。酯化是酒精与酸反应生成酯,并消除水的过程。而酯交换则是酯化合物与酒精反应时,酯基转移并取代烷氧基的过程。酯化反应通过对苯二甲酸(TA)与乙二醇反应进行,副产物为水;酯交换反应通过乙二醇与对苯二甲酸二甲酯反应进行,副产物为甲醇。随后的聚合通过缩合反应以及单体在酯化/酯交换后立即进行的逐步增长过程完成,副产物为水。
聚对苯二甲酸乙二醇酯于20世纪40年代在英国申请专利。其首次商业应用出现在20世纪50年代的全球范围内[42]。
聚对苯二甲酸乙二醇酯的生产过程中的常见物质是乙二醇。在酯交换过程中,乙二醇与对苯二甲酸二甲酯反应;在酯化过程中,乙二醇与对苯二甲酸反应。
乙二醇由乙烯(乙烯)通过中间体环氧乙烷制得。环氧乙烷与水反应生成乙二醇,其化学方程式如下:
C₂H₄O + H₂O → HOCH₂CH₂OH
乙二醇反应可以使用酸或碱催化,也可以在高温下于中性pH条件下进行-。在酸性或中性pH条件下,系统中存在大量过量水时,乙二醇的产率最高。在这些条件下,乙二醇的产率可达90%,且系统中存在大量过量水[41]。在这些条件下,乙二醇的产率可达90%。
对苯二甲酸二甲酯(DMT)可以通过几种不同的方法[40]生产。目前在工业上常用两种传统方法来生产DMT。其中一种常见的方法是使用对二甲苯(PX)和甲醇生产DMT。该工艺中,将PX和对甲苯甲酸酯(PT)的混合物在重金属催化剂(如钴基催化剂)存在下与空气进行氧化。这是氧化步骤,产生酸混合物。
由此氧化产生的产物与甲醇(CH₃OH)发生酯化反应,生成酯类混合物。粗酯混合物经过蒸馏后,粗对苯二甲酸二甲酯被送至结晶段,以去除对苯二甲酸二甲酯异构体、残留酸和芳香醛。该过程称为维滕法。另一种方法是通过对苯二甲酸与甲醇进行直接酯化。
聚对苯二甲酸乙二醇酯合成的另一种原料TA可通过多种方法生产,其基本原理是对二甲苯氧化为对苯二甲酸。如下所示的一个示例是阿莫科工艺的流程[40]。
在阿莫科工艺中,通过对二甲酸在空气中的氧气作用下进行氧化反应生成对苯二甲酸,如图4所示。
该工艺采用钴‐锰‐溴催化剂,其中溴作为自由基的再生来源。在此过程中,乙酸为溶剂,压缩空气中的氧气为氧化剂。在对二甲苯氧化这一基本概念的不同变体中,采用了不同的催化剂体系、自由基来源和氧化剂,从而衍生出不同的反应机理和工艺过程。
PET的制造工艺可以通过酯化或酯交换进行。
在酯交换反应过程中,使用对苯二甲酸二甲酯(DMT)与乙二醇(MEG)发生反应。在DMT工艺(图5)中,该化合物与过量的MEG在150–200摄氏度的熔融状态下,以碱性催化剂催化,并在大气压下进行反应。-通过蒸馏去除甲醇(CH₃OH),以推动反应按照勒夏特列原理。过量的单体乙二醇在较高温度下借助真空被-蒸馏除去。第二步酯交换反应在270–280°C进行,同时连续蒸馏出乙烯乙二醇[40,4D1]M。T工艺可以用框图表示,如图6所示。
在基于酯化的工艺中使用对苯二甲酸(图7)。与DMT工艺相比,TA工艺具有许多优势,并广泛应用于PET的生产-过程中。这些优势包括由于对苯二甲酸的堆积密度高于对苯二甲酸二甲酯,因而对苯二甲酸比对苯二甲酸二甲酯更易于处理;使用对苯二甲酸的工艺更稳定;对苯二甲酸酯化过程无需催化剂;以及TA工艺中的副产物为水,较之DMT工艺中的甲醇更易于处理。-在TA工艺中,乙二醇与对苯二甲酸直接进行酯化反应,反应在中等-压力(2.7–5.5巴)和高温下进行(220–260摄氏度)。反应中生成的水通过蒸馏连续地被除去。
TA工艺如图8所示。
3.2 PET的结构与性能
PET的结晶度对材料性能影响显著;由于其化学和-几何结构的规整性,PET本身具有可结晶性。几何结构[43–45]。具有较高结晶度的聚合物具有更高的玻璃化转变温度 Tg(Tg 对于非晶态PET为 67°C,对于结晶态PET为81°C),表现出更高的模量、刚度、抗拉强度、硬度以及更强的耐溶剂性,但冲击强度较低-性[43]。PET中的结晶通常由热诱导或应力诱导过程引起。当聚合物被加热至其玻璃化转变温度(热诱导结晶发生在聚合物被加热至其玻璃化转变温度(TT)以上时发生,在此条件下g
聚合物链具有足够的活动性,从而能够有序排列并形成晶体。由于晶粒聚集形成的球晶结构,结晶后的聚合物往往呈不透明状[46]。在应力诱导结晶过程中,通常除了热效应外,还会施加应力,即对加热的聚合物进行拉伸或取向,从而使聚合物链重新排列并堆砌成晶体[47]。应力诱导结晶过程常用于纤维拉伸。聚对苯二甲酸乙二醇酯(PET)纤维被加热至其玻璃化转变温度以上,并施加高水平的单轴应力。热与应力的共同作用导致分子取向及随后的结晶。纤维拉伸工艺可使PET达到较高的结晶度。结晶过程包括成核和球晶结晶,通常发生在高于T且低于熔点Tm[48]的温度范围内。若在加热后迅速淬火冷却,则可抑制结晶,从而得到完全无定形的结构。当聚合物熔体冷却时,若分子没有足够时间排列成有序的结晶结构,则形成无定形聚合物。快速淬火可促使透明聚对苯二甲酸乙二醇酯(PET)的形成;通过这种快速冷却过程,将熔融聚合物迅速降温至T g.以下,可制得透明清晰的产品。若让熔融聚合物缓慢冷却,则会形成结晶度更高的材料。材料中的球晶意味着其所含的所有晶粒均形成光学界面。当光线穿过结晶区与无定形区之间的界面时会发生散射,因此结晶态PET呈现不透明且近乎白色的外观。商业用结晶态PET的结晶度通常上限约为60%;纤维则为例外,因其在纤维拉伸过程中经历应力诱导结晶,结晶度可显著更高。
在PET中还观察到一种称为固态结晶的现象;该过程通过将聚合物加热至玻璃化转变温度以上但未达到其熔点,然后缓慢冷却来实现结晶。在室温下,分子处于冻结状态;但如果通过加热使分子获得足够的热能超过Tg,分子便重新开始运动,从而允许晶体成核并生长。除时间和温度外,压力、分子取向程度以及环境等因素也会影响PET的结晶机理、形态及最终性能[43,46]。成核剂同样会影响PET的结晶行为。一些研究已探讨了添加剂对结晶行为的影响。
[41,48]. 水分和分子量对结晶有显著影响。研究发现,结晶动力学取决于分子量,且随着水分百分比的增加,结晶半衰期和结晶诱导时间减少。观察到球晶生长速率与吸收的水无关[43]。
3.2.1 特性粘度
聚对苯二甲酸乙二醇酯的最终分子量是决定聚合物结构和性能的重要因素。测定聚对苯二甲酸乙二醇酯分子量最常用的方法之一是采用特性粘度(IV)技术-。通过尺寸排阻色谱或凝胶渗透色谱方法测定PET的分子量可能成本较高且存在危险性,因为所用溶剂价格昂贵并具有毒性。
[49]在测定PET的IV时,使用苯酚与四氯乙烷按60/40比例组成的溶剂混合物,在120°C下溶解树脂3小时后制备溶液,并使用乌氏粘度计进行实际测量[17]。材料的IV值是通过将相对粘度与浓度之比外推至零浓度时得到的,其单位为分升/克(dl/g)。由于IV是在零浓度下外推得到的,因此它本身没有单位。聚合物链越长,链之间的缠结越多,因而IV值越高。特定批次树脂的平均链长可在合成过程中加以控制。-
PET的特性粘度范围会影响其分子量、抗拉强度、韧性以及结晶等后续性能。这些性能决定了该聚合物可以应用的-领域。PET所使用的特性粘度范围及其对应的应用如表 4[17]所示。
表4 聚对苯二甲酸乙二醇酯的特性粘度范围及应用
| 应用 | 特性粘度 |
| — | — |
| 纺织纤维 | 0.40–0.70 |
| 工业纤维 | 0.72–0.98 |
| 双向拉伸薄膜 | 0.6–0.7 |
| 热成型片材 | 0.7–1.00 |
| 瓶子 | 0.7–0.85 |
| 工程塑料 | 1.0–2.0 |
PET的一般性能列于表5中。PET以无色半结晶树脂的形式存在。PET性能的具体特性取决于聚合物所经历的加工步骤的方式和程度。结晶度-受加工步骤的显著影响,据此PET可呈现从半刚性到刚性的特性,并可提高聚合物的韧性与阻隔性能。通常情况下,PET表现出良好的气体阻隔性能和中等的防潮性能,以及对酒精和其他溶剂的良好阻隔性能。PET是一种非增强型、半结晶-热塑性聚酯,由PET衍生而来。其优异的耐磨性、低摩擦系数、高弯曲模量和卓越的尺寸稳定性使其成为设计机械和机电部件的多功能材料。由于PET具有没有中心线孔隙,流体吸收和泄漏的可能性几乎被消除。
3.3 聚对苯二甲酸乙二醇酯的加工
PET 可通过多种不同的热塑性加工技术加工成最终形态。聚合物的分子量及其相应的特性黏数值在一定程度上决定了最适合该聚合物的加工技术。在加工 PET 时,必须应对各种降解可能性带来的挑战[50]。机械、热、氧化以及特别是水解降解可能会对 PET 的分子结构造成严重损害,并对其最终性能产生负面影响
表5 聚对苯二甲酸乙二醇酯的典型性能数值
| 物理性能 | ASTM测试方法 | 单位 | PET |
| — | — | — | — |
| 密度 | D792 | lbs/cu in.3 | 0.0499 |
| 24小时吸水率 | D570 | % | 0.10 |
| 机械性能 | ASTM测试方法 | 单位 | PET |
| 比重 | D792 | g/立方厘米.3 | 1.38 |
| 断裂拉伸强度,73°F | D638 | psi | 11,500 |
| 拉伸模量,73°F | D638 | psi | 4 × 10⁵ |
| 断裂伸长率,73°F | D638 | % | 70 |
| 弯曲强度,73°F | D790 | psi | 15,000 |
| 弯曲模量,73°F | D790 | psi | 4 × 10⁵ |
| 缺口伊佐德冲击强度,73°F | D256 | 英尺‐磅/英 | 0.7 |
| 洛氏硬度 | D785 | 寸 — | R117 |
| 摩擦系数 @ 40 psi, 50 英尺/分钟 | — | 静态/动态 | 0.19/0.25 |
| 热性能 | ASTM测试方法 | 单位 | PET |
| 热变形温度,264磅/平方英寸 | D648 | °F | 175 |
| 熔点 | — | °F | 490 |
| 线性热膨胀系数 | D696 | 英寸/英寸/°F | 第3页.9 × 10⁻⁵ |
| 热膨胀适用温度范围 | — | °F | 50–250 |
| 长期使用最高温度 | — | °F | 230 |
| 可燃性 | UL94 | — | HB |
| 电性能 | ASTM测试方法 | 单位 | PET |
| 体积电阻率,73°F | D257 | Ω-cm | 10¹⁶ |
| 介电常数 @ 60 Hz,(73°F,50% 相对湿度) | D150 | — | 3.4 |
| 损耗因数,@ 60 Hz,73°F | D150 | — | 0.002 |
| 介电强度 | D149 | 伏特/ | 400 |
| 百万 | | | |
产品。因此,必须将这些降解因素控制在一定范围内。-聚对苯二甲酸乙二醇酯的加工需采用低剪切应力和低温条件,应尽量减少与氧气的接触,且用于熔融加工的聚对苯二甲酸乙二醇酯颗粒在熔化前必须充分干燥,以达到足够低的水分含量-[50]。
3.3.1 聚对苯二甲酸乙二醇酯的干燥
干燥聚对苯二甲酸乙二醇酯颗粒对于在熔融加工应用中成功将聚对苯二甲酸乙二醇酯颗粒转化为最终制品至关重要。聚对苯二甲酸乙二醇酯具有极强的吸湿性,意味着它会从周围环境中吸收水分。在高温下,水分子可使聚对苯二甲酸乙二醇酯发生水解,从而导致链断裂并造成聚合物性能下降。如果使用未充分干燥的颗粒进行熔融,水分可能引发聚对苯二甲酸乙二醇酯的水解,显著降低其分子量。干燥过程通常通过在将聚对苯二甲酸乙二醇酯送入加工设备之前使用干燥剂或真空干燥系统来实现。通常,在加工前树脂中的残余水分含量必须低于50百万分之一(按重量计,每百万份树脂中含有的水份数)。干燥机停留时间不建议短于约4小时。这是因为若在少于4小时内完成干燥,则需要高于160摄氏度的温度,而在较高温度下,在材料完全干燥之前就可能引发水解。聚对苯二甲酸乙二醇酯也可使用压缩空气树脂干燥机进行干燥。压缩空气干燥机不会循环利用干燥空气。如同干燥剂干燥机一样,加热后的干燥压缩空气流经聚对苯二甲酸乙二醇酯颗粒,然后排放到空气中。
4 聚酰胺
酰胺( NHCO )键的连接形成了一类通常被称为聚酰胺(PA)的大分子。该酰胺键由氨基(—NH—)与羧基(—COOH)之间的缩合反应生成,在缩合反应中,水是副产物。氨基和羧基可以位于同一单体上,也可以由两种不同的双官能团单体构成聚合物,一种单体含有两个氨基,另一种单体含有两个羧基基团。聚酰胺在自然界中广泛存在,在生物体内,氨基酸在酶的催化作用下相互发生缩合反应形成酰胺键,该催化活性由酶[20,21]提供。氨基酸相互反应形成酰胺基团;这些
生成的大分子被称为多肽或蛋白质。商业上最常用的聚酰胺是由脂肪族化合物衍生而来的,所得聚酰胺称为尼龙6和尼龙 6,6[22]。由完全芳香族化合物衍生的聚酰胺称为芳纶,其中一种常见的例子是凯夫拉。聚酰胺也可以进行共聚,多种单体混合成为可能,从而形成多种基于聚酰胺的共聚物[23]。
尼龙6和尼龙6,6是最早实现商业化生产的热塑性材料之一-。最初的应用包括牙刷刷毛和女士长筒袜用纱线-。尼龙的丝滑特性被认为是其最重要的优点之一,因此被设计为丝绸的合成替代品,并在第二次世界大战期间因丝绸日益短缺而广泛取代丝绸用于多种产品-。[20] 它在许多军事应用中替代了丝绸,例如降落伞和防弹背心,并被用于多种军用车辆轮胎。尼龙聚合物可与多种添加剂混合,以实现除丝滑特性外的多种性能变化。
在尼龙作为纤维的初始应用之后,合成工艺的改进推动了其进一步应用于成型件和薄膜。目前,尼龙制品的主要市场在于汽车行业‐。汽车行业 [21]。
聚酰胺配方的首次商业化-发生在20世纪30年代。杜邦公司的华莱士·卡罗瑟斯研究了逐步增长聚合所形成的缩合反应的多个方面。他提出了卡罗瑟斯方程,该方程式将逐步增长聚合中聚合度与单体转化率关联起来-。[51]。他利用己二胺和己二酸进行反应并进一步聚合,最终开发出了被称为尼龙的聚酰胺配方专利-。在卡罗瑟斯工作几年后,德国化工公司IG法本(拜耳和巴斯夫的前身)的保罗·施拉克开发出一种方法,即在高温下使环状酰胺化合物己内酰胺开环-,暴露出官能团以进行聚合。该方法促成了另一种被称为尼龙的聚酰胺配方的发展。6[20]。
4.1 原材料
尼龙6,6的配方基于两种原材料:己二胺和己二酸。顾名思义,己二胺是
由核心烃类六亚甲基构成,并以氨基官能团终止(图9)。
己二胺通过己二腈的加氢反应制得:
NC(CH)₂CN + 4H₂ → H₂N(CH₂)₆NH₂
加氢反应在熔融的己二腈中进行,己二腈用氨稀释,并借助基于钴和铁的金属催化剂。
己二酸属于二元羧酸类。在商业上,它是使用最广泛的 二元羧酸 [53],其化学式如 图10所示。
己二酸是通过烯烃双键的氧化断裂生成酸的通用过程生产的。在一种工业过程中,环己酮和环己醇的混合物通过硝酸进行多步氧化。[53]
己内酰胺是一种环状有机化合物,其分子式为:(CH₂)₅C(O)NH。己内酰胺是一种无色固体,熔点约为70°C [54]。从化学结构上看,它是线性己酸的环状酰胺(内酰胺)。合成己内酰胺的方法有多种,随着尼龙6作为聚合物的重要性日益增加,已开发出多种工业生产己内酰胺的路线。其中一种生产路线(-图11)中,环己酮(第3页)首先被转化为相应的肟(2)。该肟在酸作用下发生称为贝克曼重排的结构重排反应,生成己内酰胺(第3 页)[54]。
4.2 聚酰胺的合成
聚酰胺通过化学计量逐步增长聚合制备,属于缩聚物类别。-聚合物由双官能团反应物A–A与双官能团反应物B–B发生连续反应形成,或由A– B型双官能团单体自身反应形成。-二元羧酸与二胺反应生成尼龙6,6是双官能团反应物A–A与双官能团反应物B–B反应的一个例子,而己内酰胺自身反应生成尼龙6则是A–B型单体反应的一个实例。为了获得高分子量聚合物,这两种官能团必须以化学计量比存在。‐当然,对于A–B型双官能团单体而言,化学计量比可自动满足。
尼龙6或聚己内酰胺是一种聚酰胺,由德国化工公司IG法本于20世纪30年代末开发。开发的目的是在不侵犯现有知识产权的情况下,重现尼龙6,6的性能,这些知识产权涉及已授予的关于其化学、配方和生产的专利。两种聚酰胺——尼龙6和尼龙6,6之间的区别在于链增长的性质[22]。尼龙6聚酰胺使用己内酰胺作为起始材料,而尼龙6,6则使用六亚甲基二胺和己二酸作为起始材料。尼龙6工艺采用己内酰胺的开环聚合-反应,这意味着它不像尼龙6,6那样基于缩聚化学。己内酰胺含有六个碳原子,因此称为“尼龙6”。[21,22]。
三种可逆反应,即水解、聚缩-合和聚加成,是尼龙 6[22,55]形成的主要步骤。总反应可表示如下(图12)。
第一步是水解反应,打开己内酰胺环,形成 ε‐氨基己酸(图13)。
水解反应在己内酰胺的熔融状态以及少量存在下进行水的量。有时使用磷酸等物质作为链长稳定剂,以帮助达到所需的最终分子量。水解后发生聚加成反应,主要负责聚合物的链增长。一旦通过己内酰胺的水解反应生成一定数量的端基,该反应便立即发生。
聚缩合是尼龙6形成的最后一步。-聚缩合用于进一步提高分子链的分子量并固定分子量分布。在聚缩合过程中,反应性末端基团发生缩合,形成线性链状分子,并产生水作为副产物。可以加入有机酸(如乙酸)作为链稳定剂,也可加入单官能团有机胺以达到相同目的。尼龙6生产的工业过程遵循前述机制-。-如乙酸等有机酸可作为链稳定剂添加,同样也可以添加单官能团有机胺。尼龙6的工业过程生产遵循先前描述的机制[21]。
采用水解机理的聚合过程可以是间歇式或连续式的。如前所述,尼龙6的水解工艺可分为以下步骤[56]:
• 己内酰胺和添加剂的添加
• 水解
• 加成
• 缩聚
• 造粒
• 单体提取
• 干燥和包装
在一种工业过程[20]中,尼龙6的制备反应在220至280摄氏度的温度下进行。该过程由酸催化,使用简单的管式反应器,将己内酰胺和水在大气压下的回流条件下从顶部连续加入。起始阶段的水含量与反应温度对产物的分子量以及生产速率有显著影响。这种对分子量的影响根据所采用工艺类型的不同而采取不同的应对方式。在间歇工艺中,生产初期使用相对大量的水。在连续式工艺中,系统内部集成了后续的脱水步骤。工艺结束时存在大量未反应的单体,因此需要将其作为一步提取工序。在许多情况下,特别是当需要高分子量产品时,可在工艺末尾进行固相聚合。固相后缩聚可在真空条件下于160–180摄氏度进行5–20小时。
尼龙6可以在聚合过程中通过使用共聚单体或稳定剂进行改性,以引入新的链端或官能团,从而改变其反应性和化学性质。这通常是为了改变材料的染色接受能力或其阻燃性能-[57]。
如前所述,尼龙6,6由两种单体合成,而尼龙6的合成则使用单一单体。这两种单体各自含有六个碳原子,即己二胺和己二酸,尼龙6,6的名称由此而来。尼龙6,6通过己二胺分子末端的氨基基团与己二酸分子末端的羧基基团发生-缩聚反应而合成。该反应形成一种AA–BB型聚合物,具有偶数个亚甲基单元;这种结构使得尼龙6,6具有较高的链规整性,从而表现出优异的性能。[20,56]。
尼龙66的合成过程始于在水中形成聚酰胺盐。将等量的己二胺和己二酸与水在反应器中混合,如下方程式所示:
nHOOC(CH₂)₄COOH + nH₂N(CH₂)₆NH₂ → [OC(CH₂)₄CONH(CH₂)₆NH]n + 2nH₂O
结晶形成尼龙盐,该尼龙盐具有两种反应物精确的化学计量当量。然后将尼龙盐加入反应釜中,在其中进行聚合过程,该聚合过程可以采用间歇工艺或连续地进行。在典型的工业过程中,遵循以下步骤[20]:
在210–275°C和1.8 ×10⁶ Pa压力下的预聚合
• 闪蒸阶段,将压力降低至大气数值
在275–290°C和 1 × 10⁵ Pa压力下进行聚合
如果需要,这些步骤之后可以进行后缩聚以进一步提高分子量。后缩聚可通过熔融后处理或固相后缩聚法实现。
除去水会促使酸和胺官能团之间形成酰胺键,从而推动反应向聚合方向进行。因此生成熔融尼龙66。此时可将其挤出造粒,或通过喷丝板(带细孔的小金属板)挤出并冷却成纤维长丝。-图 14展示了一个典型的框图。
4.3 聚酰胺的结构与性能
高于其熔点温度时,T,所有-PAs等热塑性塑料在本质上为无定形,或表现为无规线团无序排列的粘性流体。低于熔点温度时,聚合物中的无定形区往往会与更具有序性和结晶性的区域交替出现[58]。通常情况下,在这种“两相”结构中,无定形区提-贡献于材料的弹性,而结晶区则贡献于材料的-强度和刚性。酰胺( CO NH )基团具有极强的极性,这使得尼龙
在相邻链之间形成多个氢键。尼龙结构的规整性意味着其结晶度较高,同时酰胺基团的极性也产生了大量的氢键位点,相邻链之间的有序程度和相互-作用力使该材料非常适用于制造纤维。实际的结晶度取决于聚合过程的具体条件以及PA配方的-类型;然而,即使从熔融状态进行快速淬火,也无法制得完全无定形尼龙。[58]。
氢键是所有聚酰胺的特征,无论其具体配方如何。-例如,尼龙6,6可以具有多个平行链,其相邻酰胺键在较长范围内保持协调间距,因此羰基氧原子和酰胺氢能够排列成连续的链间氢键,-且无中断(图15)。其他配方可采用不同方式形成氢键序列,如尼龙5,10可能具有5个和8个碳的协调链段,而尼龙6则会形成具有混合取向的连续氢键片层[56]。
在熔融纺丝过程中,聚酰胺被挤出形成纤维,当聚酰胺熔体被迫通过喷丝板的喷丝孔时发生纤维形成。在纤维形成以及熔体流经喷丝板的过程中,熔体会受到剪切和拉伸力的共同作用。这种组合力作用于单个聚合物链上,使其倾向于沿流动方向排列或取向。如果随后进行冷拉伸,分子链会进一步取向,增加链的有序性,从而提高其结晶度。结晶度的提高导致其
材料获得额外的抗拉强度,特别是在拉伸方向上。在实践中,尼龙纤维通常使用加热辊在高速下进行拉伸在高速下[58]。
尼龙是透明无色或呈乳白色,但易于使用颜料进行染色。多股尼龙绳和绳索较滑且容易散开;然而,可以通过火焰或电极等热源将绳索或绳的末端熔化并融合,以防止这种情况。
由于酰胺键的极性,所有尼龙都倾向于具有高吸湿性,即它们会根据环境湿度吸收水分-。在固态下,尼龙的吸湿性及其所处的环境气氛会导致材料吸收的水分含量发生变化。这些水分含量的变化会对固态聚合物产生多种重要影响。水分会影响制品的尺寸,且水分的吸收可起到增塑剂的作用;这种增塑效应会降低玻璃化转变温度,影响结晶度,从而显著影响材料的物理性能。此外,吸湿还会影响材料的电性能;水分越多,材料作为绝缘体的效果就越差[59]。在熔融状态下,水分的存在可能导致聚酰胺链的水解,显著影响材料的分子量,进而影响材料的物理性能[59]。
因此,在加工前对树脂进行干燥处理是必要的。熔融加工是尼龙加工处理中的关键环节。尼龙通常需要将水分含量干燥至0.02%以下,这通过在∼80摄氏度(176华氏度)[56,59]的干燥周期来实现。
所有尼龙在固态下都易发生水解,尤其是被强酸水解;水解引发的反应本质上是合成反应的逆反应。因此,尼龙产品在水解过程中分子量会下降,并且在受影响区域会迅速形成可见裂纹。这限制了尼龙在接触强酸的应用中的使用,例如,尼龙部件不能用作铅酸电池中的电解质。
由于每个分子中存在多个氢键,聚酰胺表现出强烈的分子链间相互作用-。由于氢键效应,聚酰胺的分子量无需很高即可获得最佳的热性能和机械性能。聚酰胺的典型分子量数值-显著低于许多其他商业聚合物。这种低分子量的最大优势在于其熔体黏度相当低。如前所述,熔体黏度与分子量的某次幂相关,如之前章节所述,熔体黏度可与分子量的-某次方相关,指数为∼3.4。较低的熔体黏度使得聚合物的熔融加工更加容易,特别是在注塑成型应用中。在注塑成型中,还可以成型其他聚合物难以实现的薄壁部分。挤出级材料则需要较高的熔体黏度以防止挤出物下垂,因此需要较高的分子量
挤出应用需要尼龙的重量等级[21].
表6 尼龙6和尼龙6,6的性能
| 性能 | 尼龙6 | 尼龙6,6 |
| — | — | — |
| 光学 | 半透明到不透明 | 半透明到不透明 |
| 热熔点 | 210–220°C | 255–265°C |
| 吸水率% | 8.5–10 | 8.5 |
| 抗氧化性 | Good | Good |
| 抗紫外线性 | Poor | Poor |
| 溶剂 | 苯酚和甲酸 | 苯酚和甲酸 |
| 耐碱性 | Good | Good |
| 耐酸性 | Poor | Poor |
| 密度 (g/cc) | 1.13–1.15 | 1.13–1.15 |
| 抗拉强度 (psi) | 6000–24,000 | 14,000 |
| 断裂伸长率 | 30–100 | 15–80 |
| 拉伸模量 | 300,000 | 250,000–550,000 |
| 硬度(洛氏硬度标尺) | 80–102 | 120 |
4.4 聚醚嵌段酰胺
聚醚和聚酰胺基链段的组合可产生理想的性能组合。无定形、柔软的聚醚链段具有较低的玻璃化转变温度,可提供低温韧性和弹性体性能,而半结晶性的硬质聚酰胺链段则能提供更高的耐化学性和强度。在高于半结晶性聚酰胺链段熔点的温度下,该网络可熔融并进行加工。在聚合物加工流动过程中,聚醚链段可被视为内增塑剂。这种结构有助于合成嵌段共聚物,从而制造出热塑性弹性体。这类嵌段共聚物称为聚醚嵌段酰胺(PEBA)。PEBA中的聚醚链段通常由聚四氢呋喃(PTHF)、聚环氧乙烷(PEO)或聚环氧丙烷(PPO)组成,而聚酰胺链段可以是PA6、66、11或12。PEBA通过酯键或酰胺键化学连接,分别形成聚(醚‐酯‐酰胺)和聚(醚‐酰胺)。
4.4.1 PEBA的化学与化学结构
制造PEBA有多种方法,其中应用最广泛的方法之一是两步法。在该两步法中,首先将聚醚嵌段酰胺制成羧酸端基封端的低聚酰胺。该低聚酰胺是一种短链聚酰胺,典型分子量为500–2000 g/mol[60]。鲍曼等人的参考文献中详细描述了基于PA 12的聚(醚‐酯‐酰胺)的制造工艺和配方。[61]根据该工艺,在第一步中,将二元羧酸(如1,12‐癸二酸)与月桂内酰胺在250–290°C的温度以及1至20巴的压力下进行反应。第一步反应生成由双官能羧酸终止的预聚物。这种具有以下结构的羧酸端基聚酰胺或低聚酰胺PA12:
HO[OC(CH₂)₁₁NH]x CO(CH₂)₁₀CO [NH(CH₂)₁₁CO]y OH
所用羧酸的量决定了预聚物或低聚酰胺中形成的链的长度(x和y数值)。如前所述,低聚酰胺的摩尔质量范围为500–2000。在第二步中,预聚物进一步与双官能聚醚二醇(如聚四氢呋喃)发生反应,生成聚醚嵌段酰胺。第二步反应在熔融阶段进行。
在真空条件下,所用温度通常介于200至270摄氏度之间。聚酰胺链与聚醚链之间的连接是酯键。结构如下:
H {[O(CH₂)₄]zO [OC(CH₂)₁₁NH]x CO(CH₂)₁₀CO [NH(CH₂)₁₁CO]y}n OH
各组分的化学计量学决定了下标x、y和z的数值。形成该键的条件是存在合适的酯化催化剂。文献中已提及用于此酯化偶联反应的多种催化剂,这些催化剂包括二烷基锡(IV)化合物、磷酸、四烷基钛酸盐、四烷基锆酸盐、二价锡盐、三氧化二锑,以及三氧化二锑与锡和磷化合物的组合—[60,61]。
第一步预聚物的形成以及随后第二步嵌段酰胺的生成过程可能存在问题,需要谨慎处理。当预成型聚酰胺和聚醚链段均具有相对较高的分子量,且低聚酰胺链段具有相对极性时,这一问题尤为突出。低聚酰胺嵌段的高极性可能导致酰胺嵌段与相对非极性的聚醚嵌段之间的相容性困难。各个嵌段的高分子量和极性差异会在PEBA化合物的合成过程中表现为过早相分离。这种过早相分离会限制最终产物的分子量增长。已发现,使用低聚酰胺11或12与聚四氢呋喃醚段结合可避免这种过早相分离。此外,引入水蒸气也被观察到能够增强低聚酰胺与聚醚相之间的相容性。
另一种聚醚‐嵌段‐酰胺合成方法是采用一步法合成。在这种方法中,形成低聚酰胺的单体与二元羧酸和聚醚二醇在一步内进行反应。聚醚对高温敏感,因此低聚酰胺形成过程中的开环反应仅限于在较低温度下发生的开环聚合。当使用诸如月桂内酰胺(十二内酰胺 (CH₂)₁₁C(O) NH)等活性较高的内酰胺时,由于其可在相对较低的温度下开环,因此上述情况成立。在此情况下,在高压下,月桂内酰胺开环聚合被引发–[62–64]。该一步法合成过程也已成功应用于其他多种配方,例如基于己内酰胺、氨基羧酸的体系,以及脂肪族二胺和二元羧酸的等摩尔配比。端胺基聚醚(如α,w‐二氨基聚醚)已在不同研究中用作聚醚二醇的替代物,并可用于聚醚酰胺的合成。使用端胺基聚醚可在低聚酰胺与聚醚链段之间形成水解稳定的酰胺键。这些α,w‐二氨基聚醚(例如聚氧化丙烯二胺)可与己内酰胺和一种二元羧酸混合,随后通过一锅法合成得到相应的PEBA。在使用端胺基聚醚的合成过程中,聚醚的胺端基可引发己内酰胺的开环聚合,从而无需在过程中添加酯化催化剂。并非所有不同类型的一锅法合成配方都会出现过早相分离的问题。
4.4.2 聚醚嵌段酰胺的形态
PEBA由两个不同的相组成:一个高度有序的半结晶性聚酰胺区域和一个有序度较低的无定形聚醚区域。-最终PEBA聚合物的形态因此取决于其组成以及聚酰胺与聚醚的相对含量。相分离结构可以是共连续的,也可以是具有分散相的基体结构。通常,表现出连续或共连续聚醚相的材料被视为热塑性弹性体。在PEBA热塑性弹性体的两相结构中,聚酰胺相呈现出球晶、片层结构,这有助于材料的物理强度。材料的弹性体特性则来源于材料相分离结构中的聚醚相。按照传统的热塑性弹性体术语,球晶相可称为硬段,而聚醚相则可称为软段。在聚醚含量较高时,聚酰胺的球晶结构会消失;而在聚醚含量非常高的情况下,聚醚链段成为基体相,聚酰胺链段形成带状结构,这种富聚醚材料本身表现出两个玻璃化转变–[61]。
4.4.3 聚醚嵌段酰胺的物理性能和加工
聚醚嵌段酰胺的性能在很大程度上由其形态和组成决定。如前所述,聚醚嵌段酰胺是相分离结构。
其中结晶相由聚酰胺链段构成,而聚醚链段占据非晶相。聚醚嵌段酰胺的性能可概括为取决于以下因素:
聚酰胺链段或结晶相的性质
聚醚链段或非晶相的组成
• 配方中聚酰胺与聚醚的比例
4.4.3.1 聚酰胺链段
商业PEBA中的聚酰胺链段可能由聚酰胺6、66、612、11或12组成。聚酰胺链段形成的半结晶相需要一定的热才能被破坏,该热量值决定了材料的熔点。聚酰胺链段类型还决定了结晶区
心血管医用塑料材料综述
802

被折叠的 条评论
为什么被折叠?



