改进灰色预测模型及其在预测公共交通系统用户数量中的应用
1 引言
交通系统的发展可以追溯到人类出现之初,当时人们需要将产品从一个地点转移到另一个地点;这定义了人类开发的一种内在且持久的系统。作为世界上最早的商业形式之一,商品贸易需要产品的运输。没有政府或组织能够在缺乏交通和通信的情况下建立其运作实体。在交通领域中,调度是指定义一系列操作或流程,以引导交通系统或集合达到期望状态的过程。调度中遇到的最大挑战是预见性,而如果没有对未来状态的预测和估计,这种预见性是无法实现的。
目前已提出多种预测技术和工具。例如人工神经网络、机器学习、支持向量机、随机森林、模糊逻辑、因果分析方法、线性回归、时间序列和马尔可夫序列[1]。大多数所提出的方法都需要足够的数据以满足各自的约束条件。因果分析方法需要大量先验数据来分析变量之间的关系。线性回归方法假设在预测过程中相关因素独立且服从正态分布。基于时间序列的方法预测未来事件[2]需要稳定趋势。不同状态之间可能变化的概率是使用马尔可夫模型进行预测的前提条件。
灰色系统理论由邓于20世纪80年代初首次提出[3],该理论包括灰色系统分析、建模、预测、控制和决策。根据该理论,系统的已知、未知和半已知信息分别用白色、黑色和灰色表示。此处的“半已知”指的是信息的不足或不可靠。灰色预测模型广泛应用于经济、教育、农业、交通、气象和军事评估等领域[4, 5]。尽管这些模型因在小样本时间序列预测中的高效性而广受欢迎,但大多数模型本质上是线性的,这限制了它们在实际中的适用性。Ma等提出了一种称为KGM(1, n)的多变量非线性核基灰色模型(GM)[6]。
近年来,研究人员采用多种新技术优化灰色模型,以实现尽可能高的预测效率。分数阶计算相较于整数阶模型能够更准确地描述实际阶次模型。该领域的研究大致可分为两类:(1) 离散GM分数累加模型[7–19];(2) 连续分数阶GM[20, 21]。HE等[22]采用吉洪诺夫正则化(TR)和截断奇异值分解(TSVD)来解决病态问题。灰色神经网络预测被开发用于预测交通故障及其对市场需求的影响[23]。Bezuglov等在其研究中考虑了利用灰色模型进行高速公路短期交通预测[24]。预测航空业出行需求的增长[25]、报废车辆(ELVs)的回流预测[26],以及城市道路短期交通预测[27],是灰色预测模型在交通行业中其他应用的实例。
本文旨在利用元启发式方法改进两种灰色模型,即FGM(1, 1)和GM(1, 1)[28]。为此,首先从GM(1, 1)模型出发,识别影响发展系数和灰色控制参数的参数。接着,采用粒子群优化(PSO)调整所识别的参数并计算相应的误差。由于FGM(1, 1)是GM(1, 1)的扩展,因此沿用该方法提出了新模型,包括改进型灰色模型(IGM(1, 1))和改进型首项灰色模型(IFGM(1, 1))。
本文的其余部分组织如下。第2节描述了GM(1, 1)和FGM(1, 1)模型,并分析了影响这两种灰色模型精度的参数。第3节介绍了所提出的方法,第4节则利用基准数据对所提方法进行分析与评估。接着,通过将所提出的模型应用于预测公共交通车队的用户数量,评估其精度。最后,第5节总结了一些结论,并对未来的研究工作提出了建议。
2 灰色预测模型及影响模型精度的参数分析
灰色模型研究主要由离散数据构成的序列,并将灰差分方程转化为灰微分方程以提取潜在规律。这些模型从离散序列中构建连续动态微分方程,实现对时间序列的预测。每个灰色模型表示为GM(H, N),其中N为微分方程的阶数,H为变量数。灰色模型仅需少量数据即可估计未知系统的行为。以下小节将更详细地解释灰色预测模型。
2.1 GM(1, 1) 模型
由邓首次提出的 1982[3],GM(l, 1) 是用于预测至少包含4个样本的正数序列的最广泛使用的时间序列预测模型。该模型对原始数据应用累加生成操作(AGO),然后求解得到的微分方程。最后,执行通过逆AGO,计算原始数据的预测值。考虑一个单输入单输出系统,设时间序列 xp0 为系统的输出。灰色模型的构建如下所示。
假设一个初始序列 x0s,如下所示
X0=(x0(1), x0(2), x0(3),…, x0(n)), n ≥ 4, (1)
其中 x0 是一个非负数序列,且n是样本的数量。一阶AGO 的 x0通过公式(2)获得。
X1=(x1(1), x1(2), x1(3),…, x1(n)) (2)
X1(k)= ∑ᵢ₌₁ᵏ x0(i), k= 1, 2,…, n.
Z1的均值序列定义如下。
Z1=(z1(1), z1(2), z1(3),…, z1(n)), (3)
z1(k)= 1/2 x1(k)+ 1/2 x1(k −1), k= 2,…, n.
公式(4) 表达了GM(1, 1) 模型的基本形式。
x0(k)+ az1(k)= b, (4)
其白化方程定义为公式(5)。
dx1(k)/dk + ax1(k)= b, (5)
其中a为增长率a,b为灰色控制参数。这些参数可通过公式(6)计算得出。
[b/a]=(BTB)⁻¹ BTY. (6)
矩阵B和Y分别通过公式(7)和(8)确定。
B= [ -z1(2) 1; -z1(3) 1; … ; -z1(n) 1 ], (7)
Y= [ x0(2); x0(3); … ; x0(n) ]. (8)
根据公式(5),白化方程的终值计算如下:
x1(k+ 1)=[x0(1) − b/a]e⁻ᵃᵏ + b/a, k= 1, 3,…, n −1. (9)
通过应用通过逆累加生成,原始数据的预测值(xp0(k)根据公式(1)计算 0).
xp0(k)=[x0(1) − b/a]e⁻ᵃ⁽ᵏ⁻¹⁾ (1 − eᵃ), k= 2, 3,…, n. (10)
GM(l, l) 在非负序列的短期预测中,相较于其他方法,即使训练数据点较少,也能提供更高的精度。然而,对于非均匀、周期性和随机序列,其无法提供足够的精度。
2.2 FGM(1, 1) 模型
该模型基于GM(1, 1) 模型,利用预测值原始序列的首个值[28]创建。原始序列定义如下:
X0=(x0(0), x0(1), x0(2),…, x0(n)), n ≥ 4, (11)
其中,累加序列 X1 按如下方式计算:
X1=(x1(0), x1(1), x1(2),…, x1(n)), n ≥ 4, (12)
X1(k)= ∑ᵢ₌₀ᵏ x0(i), k= 0, 1, 2,…, n,
其中,均值序列由公式(13)给出。
Z1=(z1(1), z1(2), z1(3),…, z1(n)), (13)
z1(k)= 1/2 x1(k)+ 1/2 x1(k −1), k= 1,…, n.
因此,根据GM(1, 1),我们有: [b/a]=(BTB)⁻¹ BTY, (14)
Y= [ x0(1); x0(2); … ; x0(n) ], (15)
B= [ -z1(1) 1; -z1(2) 1; … ; -z1(n) 1 ]. (16)
最后,使用公式(17)计算原始数据的预测值。
xp0(k)= x0(1) − b/a e⁻ᵃ⁽ᵏ⁻¹⁾, k= 1, 2, 3,…, n. (17)
许多研究人员提出了对灰色模型的改进方法。这些改进方法可分为三大类:第一类侧重于数据预处理方法,例如指数平滑,以提高模型的精度[29];第二类包括改进的方程模型[30];第三类则考虑误差平衡方法,如傅里叶误差改进方法[2]。本研究提出的方法结合了第二类和第三类的优点,形成了一种降低预测误差的新方法。
2.3 分析影响灰色模式精度的参数
根据公式(10)和(17),预测模型的精度取决于发展系数a和灰色控制参数b(公式(6))。为了确定影响这些参数的因素,可将公式(3)和(8)重写如下:
Z1=(z1(1), z1(2), z1(3),…, z1(n)), (18)
z1(k)= αx1(k)+(1 − α)x1(k −1), k= 2,…, n α= 1/2,
B= [ -z1(2) β; -z1(3) β; … ; -z1(n) β ], (19)
定理: α和 β的值直接影响a和b的值。
证明. 记邻接矩阵 31 为Adj(BTB),并给定zk= z1(k),k= 2,…, n,则公式(6)可按如下方式计算。
[b/a]= [ Adj( [−z2 −z3 ··· −zn; β β · · · β] [ −z2 β; −z3 β; … ; −zn β ] ) ] / | [−z2 −z3 ··· −zn; β β · · · β] [ −z2 β; −z3 β; … ; −zn β ] | × ( [−z2 −z3 ··· −zn; β β · · · β] [x0(2); x0(3); …; x0(n)] ) (20)
= [ nβ² β(z2+z3+…+zn); nβ²(z₂²+z₃²+…+zₙ²)− β²(z2+z3+…+zn)(z2+z3+…+zn) ] [ −z2x0(2) −z3x0(3) −… −znx0(n); β(x0(2)+ x0(3)+ · · ·+ x0(n)) ]
= [ β²( n∑ᵢ₌₂ⁿ −zi YR + ∑ᵢ₌₂ⁿ zi YR ); β( ∑ᵢ₌₂ⁿ zi ∑ᵢ₌₂ⁿ −zi YR + ∑ᵢ₌₂ⁿ zi² YR ) ] / β²( n∑ᵢ₌₂ⁿ zi² − ∑ᵢ₌₂ⁿ zi ∑ᵢ₌₂ⁿ zi )
= [ ( n∑ᵢ₌₂ⁿ −zi YR + ∑ᵢ₌₂ⁿ zi YR ) / ( n∑ᵢ₌₂ⁿ zi² − ∑ᵢ₌₂ⁿ zi ∑ᵢ₌₂ⁿ zi ); 1/β ( ( ∑ᵢ₌₂ⁿ zi ∑ᵢ₌₂ⁿ −zi YR + ∑ᵢ₌₂ⁿ zi² YR ) / ( n∑ᵢ₌₂ⁿ zi² − ∑ᵢ₌₂ⁿ zi ∑ᵢ₌₂ⁿ zi ) ) ]
根据公式(20)得到的结果,a的值是基于Z的值计算得出的。根据公式(17),Z的值又受到 α的影响。此外,b的值不仅受 β影响,还受 α影响。因此,GM(1, 1)和FGM(1, 1)的精度受到 α和 β(即公式(19)中矩阵B第二列的元素以及公式(18)中的系数)的影响。在确定影响灰色模型精度的参数后,必须对这些参数进行调整以最小化预测误差。该参数化过程可被定义为一个优化问题,可通过元启发式算法求解,具体将在下一节中详细说明。
3 改进的首项灰色模型IFGM(1, 1)和改进的灰色模型IGM(1, 1)
传统优化方法(e.g.线性规划、非线性规划和动态规划)试图在起始点的邻域内寻找最优解。然而,随着问题复杂性的增加以及局部最优解数量的增多,这些方法在定位全局最优解方面的效率显著下降。这促使研究人员提出受自然界启发的新解决方案。基于群体智能,已提出了多种元启发式方法。这类算法利用群体智能和通信方式来实现特定目标。通常,此类行为会涌现出非凡且令人难以置信的规律性。作为一种元启发式方法,粒子群优化由社会心理学家肯尼迪和电气工程师埃伯哈特[32, 33]共同提出。粒子群优化将多个粒子分布在待优化函数的搜索空间中。每个粒子进行评估
最优性函数在其当前位置的值,然后将结果与整个群体中最佳位置的结果进行比较,以选择移动方向。通过这种方式,每个粒子都选择一个移动方向,并基于这些移动生成新的解代。此过程不断迭代,直到获得预期的解为止。图1展示了粒子群算法中遵循的步骤(更多细节请参见[34])。
如前一节所证明,GM(1, 1) 和 FGM(1, 1) 模型的精度依赖于 α 和 β 的取值。因此,为了计算 α 和 β 的最优值,为粒子群优化算法定义了以下适应度函数:
fitness = min (∑|x⁰ − xᵖα,β| / n), (21)
其中xᵖα,β是使用 α和 β作为初始数据x⁰,通过GM(1, 1)或FGM(1, 1)模型得到的预测值。对于每个粒子,粒子群算法计算 α和 β的值。在每次迭代中,粒子改变其位置以趋近最优解。实际上,这些位置变化代表了在解空间中搜索 α和 β最优值的过程,从而提高灰色预测模型的精度。所提出的步骤如下:
1. 调整粒子群算法的参数,
2. 计算初始序列的预测值,
3. 寻找 α和 β的最优值,以及
4. 使用 α和 β的最优值计算初始序列的预测值。
所提出的算法在图2中进行了展示。
4 仿真与实验
在本节中,对所提出的方法(IGM(1, 1) 和 IFGM(1, 1))在文献[7]中引入的两个递增和递减序列上的性能进行了检验。随后,研究了所提出模型在建模和预测公共交通系统用户数量中的应用。本文将粒子群算法的最大迭代次数设为300。通过与传统方法以及具有12个隐层神经元并采用Levenberg–Marquardt训练算法的神经网络的结果进行比较,评估了所提方法的有效性。采用平均绝对误差(MAE)和平均绝对百分比误差(MAPE)来评估建模的精度。令实际数据和预测值分别表示为x⁰(k)和xᵖ⁰(k)。MAE和MAPE分别根据公式(22)和(23)定义。
MAE = (1/k) ∑|xᵖ⁰(k) − x⁰(k)|, (22)
MAPE = (1/k) ∑(|xᵖ⁰(k) − x⁰(k)| / x⁰(k)) × 100%. (23)
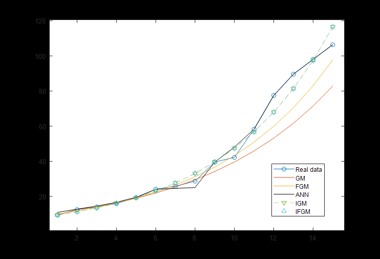
接下来,表1和表2分别列出了GM、FGM、人工神经网络、IGM和IFGM在文献[7],中引入的上升序列和下降序列上的结果。根据表1中的平均绝对百分比误差值,所提出的方法相较于GM、FGM和人工神经网络分别将结果提高了48.47%、28.79%和14.24%。图3展现了模拟值的匹配情况,图4显示了各方法产生的预测误差。
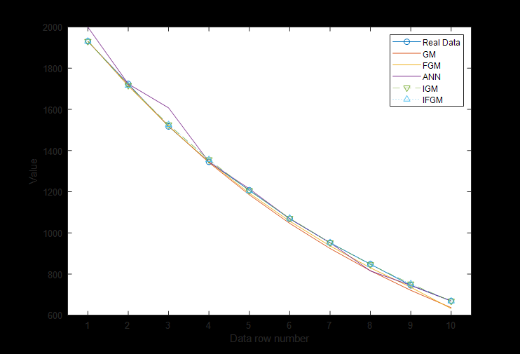
对表2和图5的分析表明,与其它方法相比,所提出的方法在建模递减序列方面具有更高的效率。所获得的平均绝对百分比误差值表明,该方法的效率提升最少为75%,最多达到82.39%。图6显示,与其它方法相比,所提出的方法误差更小(忽略第一组数据的第七个数据点)。
现在,展示了所提出方法(IGM(1, 1) 和 IFGM(1, 1))在对公共交通系统用户数量建模方面的有效性。所需数据由伊朗道路维护与交通组织提供[36]。在此方面,使用了2007–2015年期间收集的数据进行建模,并对2016–2017年期间收集的数据进行了预测。
根据表3,所提出的模型在使用 α和 β的计算值后,对2016–2017年期间收集的数据的预测精度提高了7.7%。
| 表1:递增序列上的结果。 | ||||||
|---|---|---|---|---|---|---|
| Row | 实际数据 | GM(1,1) | FGM(1,1) | ANN | IGM(1,1) | IFGM(1,1) |
| 1 | 7 | 7.0000 | 0.00 | 10.09 | 7.00 | 0.00 |
| 2 | 9.4 | 9.4000 | 9.97 | 10.88 | 9.40 | 9.40 |
| 3 | 12.5 | 12.5840 | 11.74 | 12.76 | 11.25 | 11.25 |
| 4 | 14.0 | 14.0920 | 13.82 | 14.50 | 13.47 | 13.47 |
| 5 | 15.9 | 16.3332 | 16.26 | 16.68 | 16.12 | 16.12 |
| 6 | 19.3 | 18.9309 | 19.14 | 19.53 | 19.30 | 19.30 |
| 7 | 24.1 | 21.9416 | 22.53 | 24.02 | 23.10 | 23.10 |
| 8 | 25.8 | 25.4312 | 26.52 | 24.57 | 27.65 | 27.66 |
| 9 | 28.7 | 29.4758 | 31.21 | 25.06 | 33.10 | 33.11 |
| 10 | 39.6 | 34.1636 | 36.74 | 39.60 | 39.63 | 39.63 |
| 11 | 42.2 | 39.5969 | 43.24 | 48.09 | 47.43 | 47.44 |
| 12 | 58.3 | 45.8944 | 50.90 | 58.30 | 56.78 | 56.79 |
| 13 | 77.5 | 53.1934 | 59.91 | 77.50 | 67.97 | 67.98 |
| 14 | 89.6 | 61.6533 | 70.51 | 89.60 | 81.36 | 81.37 |
| 15 | 98.0 | 71.4586 | 82.99 | 98.00 | 97.39 | 97.41 |
| 16 | 106.4 | 82.8233 | 97.69 | 106.40 | 116.58 | 116.60 |
| MAPE | 10.75 | 7.78 | 6.46 | 5.536 | 5.540 | |
| MAE | 7.49 | 4.91 | 1.07 | 2.78 | 2.78 |
| 表2: 递减序列上的结果。 | ||||||
|---|---|---|---|---|---|---|
| Row | 实际数据 | GM(1,1) | FGM(1,1) | ANN | IGM(1,1) | IFGM(1,1) |
| 1 | 7 | 7 | 0 | 7.00 | 7.00 | 0.00 |
| 2 | 1931 | 1931 | 1933.34 | 1999.86 | 1931.04 | 1931.04 |
| 3 | 1724 | 1720.23 | 1713.41 | 1724.00 | 1716.33 | 1716.33 |
| 4 | 1517 | 1519.19 | 1518.49 | 1607.56 | 1525.50 | 1525.50 |
| 5 | 1345 | 1341.65 | 1345.74 | 1345.00 | 1355.88 | 1355.88 |
| 6 | 1207 | 1184.86 | 1192.65 | 1213.85 | 1205.13 | 1205.13 |
| 7 | 1069 | 1046.39 | 1056.97 | 1069.00 | 1071.13 | 1071.13 |
| 8 | 952 | 924.10 | 936.73 | 952.00 | 952.04 | 952.04 |
| 9 | 848 | 816.10 | 830.17 | 815.15 | 846.18 | 846.18 |
| 10 | 745 | 720.73 | 735.73 | 745.00 | 752.10 | 752.10 |
| 11 | 669 | 636.50 | 632.03 | 669.00 | 668.48 | 668.47 |
| MAPE | 1.76 | 1.24 | 1.27 | 0.310 | 0.311 | |
| MAE | 15.51 | 10.99 | 18.10 | 3.69 | 3.69 |
| Table3:公共交通系统的用户数量:可用数据与建模结果 s. | |||||
|---|---|---|---|---|---|
| Year | 乘客数量 千 | GM(1,1) | FGM(1,1) | IGM(1,1) α= 0.99990,β= 1.01071 | IFGM(1,1) α= 0.99999 β= 1.01079 |
| 2007 | 1881 | 1881 | 0 | 1881 | 0 |
| 2008 | 2438 | 2736 | 2696 | 2696 | 2696 |
| 2009 | 2664 | 2705 | 2665 | 2664 | 2664 |
| 2010 | 2754 | 2674 | 2635 | 2632 | 2633 |
| 2011 | 2934 | 2644 | 2605 | 2601 | 2601 |
| 2012 | 2949 | 2614 | 2575 | 2571 | 2571 |
| 2013 | 2560 | 2585 | 2546 | 2540 | 2540 |
| 2014 | 2452 | 2555 | 2517 | 2510 | 2510 |
| 2015 | 2287 | 2526 | 2488 | 2480 | 2480 |
| 2016 | 2080 | 2498 | 2460 | 2451 | 2451 |
| 2017 | 2261 | 2469 | 2432 | 2422 | 2422 |
| MAPE | 14.64 | 12.92 | 12.48 | 12.48 |
5 结论
本文提出并实现了一种灰色预测系统的新设计,用于预测公共交通系统用户数量。该新设计包括对灰色模型的分析,以确定影响模型精度的参数,随后使用粒子群优化(PSO)对这些参数进行优化。根据仿真结果,与GM(1, 1)和FGM(1, 1)相比,所提出的方法在2007–2015年期间对目标公共交通系统用户数量建模的精度分别提高了14.75%和3.41%。此外,在预测2016–2017年数据时,精度提升了7.7%。这种精度的提高有助于降低管理风险并提升调度性能。该方法的一个可能应用是道路交通事故数量预测。此外,本文提出的定理和算法可用于识别影响其他灰色预测模型的参数,并相应地对其进行改进。作为一种未来趋势,在线灰色预测模型致力于随着新数据的获取实时调优模型参数,以实现多步预测。
143

被折叠的 条评论
为什么被折叠?



