注:本文为 “反馈控制补偿” 相关合辑。
图片清晰度受引文原图所限。
重排自 zhihu,未整理去重。
如有内容异常,请看原文。
如何理解超前补偿、滞后补偿、超前滞后补偿?
lenleo(573 人赞同)
一、超前 / 滞后校正概念
若开环系统(Plant)的控制性能无法满足要求(requirements),需采用反馈控制结构,并在系统 Plant 之前额外增设一个误差控制器。该控制器可选类型较多,超前(lead)、滞后(lag)调节器是较为常规的方法。

单个超前或滞后控制器的传递函数表达式为:
s
+
ω
z
s
+
ω
p
\frac{s + \omega_{z}}{s + \omega_{p}}
s+ωps+ωz
依据零极点大小关系的不同,可分为超前调节和滞后调节:
- 超前调节: ω z < ω p \omega_{z} < \omega_{p} ωz<ωp
- 滞后调节: ω z > ω p \omega_{z} > \omega_{p} ωz>ωp
设计该控制器的过程,本质就是对这单个零点和单个极点的配置过程。
熟悉根轨迹方法的人员可知,零极点的配置过程大致如下:
- 将控制要求(Requirements)转化为 s 平面主导极点的位置;
- 配置零极点,使根轨迹恰好经过该主导极点位置。
对于频域方法而言,其设计思路与根轨迹方法类似:
- 将控制要求(Requirements)转化为频域要求,例如增益裕度(gain margin)、相位裕度(phase margin)、穿越频率(截止频率)、带宽、零频率幅值等;
- 依据估计公式设计超前滞后调节器的零极点。
二、超前调节设计(以一阶系统为例)
针对如下一阶系统:
G
(
s
)
=
1
0.2
s
+
1
G(s) = \frac{1}{0.2s + 1}
G(s)=0.2s+11
该系统为时间常数 5s 的惯性环节。对该系统提出如下要求:
- Req1——对斜坡信号的稳态误差 e s s e_{ss} ess 小于 0.02;
- Req2——相位裕度大于 48°。
首先分析斜坡信号输入下,Plant 的控制性能,

可见 Plant 无法满足上述任一要求。因此尝试采用超前调节器,具体设计过程如下:
1. 第一步——改变系统型别,设计开环增益以满足稳态误差要求
需特别注意!若控制要求中包含稳态误差要求,应优先考虑该要求。根据控制原理,系统稳态误差与系统型别(即原点处的极点个数)相关。对于斜坡信号输入:
- 0 型系统稳态误差为无穷大;
- 1 型系统稳态误差为有限值;
- 2 型系统稳态误差为零。
由于 Plant 为 1 型系统,始终存在稳态误差,故考虑先增加系统型别,即在 Plant 之前添加一个积分器(仅需添加一个即可,积分器数量越多,引入的延迟越大,系统实施复杂度也会更高)。

根据稳态误差的计算公式:
e
s
s
=
lim
s
→
0
s
E
(
s
)
=
lim
s
→
0
s
⋅
R
(
s
)
1
+
G
(
s
)
e_{ss} = \lim_{s \to 0} sE(s) = \lim_{s \to 0} s \cdot \frac{R(s)}{1 + G(s)}
ess=s→0limsE(s)=s→0lims⋅1+G(s)R(s)
其中,
R
(
s
)
=
1
s
2
R(s) = \frac{1}{s^{2}}
R(s)=s21,
G
(
s
)
=
1
0.2
s
+
1
⋅
K
s
G(s) = \frac{1}{0.2s + 1} \cdot \frac{K}{s}
G(s)=0.2s+11⋅sK。
将上述式子代入计算可得 K > 49 K > 49 K>49,此处选取 K = 50 K = 50 K=50。
2. 第二步——观察开环系统频域特性
使用 margin() 函数在 Matlab 中绘制伯德图,结果显示:

Gm = Inf dB (at Inf rad/s), Pm = 18 deg (at 15.4 rad/s)
开环系统相位裕度为 18°,不满足设计要求。
超前调节的思路是:在某一频率段将相位曲线向上提升,同时尽量不改变幅值曲线,以此增加系统相位裕度。

以 10 s + 1 s + 1 \frac{10s + 1}{s + 1} s+110s+1 为例,观察典型超前环节的伯德图,

可见该环节确实能在特定频率段增加相位,但同时也会使幅值增大,这意味着最终相位裕度的增加量会小于该环节的最大相位值,存在一定程度的损耗。
设超前调节器的形式如下:
Lead
=
a
1
τ
s
+
1
τ
s
+
1
(
a
1
>
1
)
\text{Lead} = \frac{a_{1}\tau s + 1}{\tau s + 1} \quad (a_{1} > 1)
Lead=τs+1a1τs+1(a1>1)
该形式的优势在于零频率增益为 0dB,不会对稳态误差产生影响。其上下截止频率分别为
ω
1
=
1
a
1
τ
\omega_{1} = \frac{1}{a_{1}\tau}
ω1=a1τ1 和
ω
2
=
1
τ
\omega_{2} = \frac{1}{\tau}
ω2=τ1,最大相位为
ϕ
max
=
arcsin
(
a
1
−
1
a
1
+
1
)
\phi_{\text{max}} = \arcsin\left(\frac{a_{1} - 1}{a_{1} + 1}\right)
ϕmax=arcsin(a1+1a1−1),最大相位处频率
ω
m
=
1
τ
a
1
\omega_{m} = \frac{1}{\tau\sqrt{a_{1}}}
ωm=τa11,最大相位处增益为
a
1
\sqrt{a_{1}}
a1。
3. 第三步——设计 Lead 调节器
- 选择期望增加的相位裕量 ϕ max \phi_{\text{max}} ϕmax,据此计算出 a 1 a_{1} a1;
- 选择最大相位处频率 ω m \omega_{m} ωm,进而计算出 τ \tau τ;
- 构建 Lead 调节器。
需注意的是,如前文所述,调节器在增加相位的同时也会使幅值增大,最终导致穿越频率变大,使得相位裕量的增加幅度有所折扣。因此在设计时,可采用以下方法进行弥补:
- 有意增大所需相位裕量 ϕ max \phi_{\text{max}} ϕmax,例如在计算结果的基础上增加 15°;
- 通过查表法确定最优的 ϕ max \phi_{\text{max}} ϕmax。
设
ϕ
max
=
3
7
∘
\phi_{\text{max}} = 37^{\circ}
ϕmax=37∘,
ω
m
=
22
rad/s
\omega_{m} = 22\ \text{rad/s}
ωm=22 rad/s,依据上述方法最终设计出的 Lead 调节器为:
Lead
=
0.088
s
+
1
0.022
s
+
1
\text{Lead} = \frac{0.088s + 1}{0.022s + 1}
Lead=0.022s+10.088s+1
添加 lead 调节后,系统伯德图的变化情况为:

Gm = Inf dB (at Inf rad/s), Pm = 49.8 deg (at 21.8 rad/s)
此时相位裕度为 49.8°,满足设计要求。
需要注意的是,从理论上讲,超前调节最多可增加 90° 的相位,但在实际应用中,最多只能增加 55° 的相位裕量。因此,若需增加超过 55° 的相位裕量,可考虑将两个超前调节器串联,从理论上而言,最多可增加 110° 的相位裕量。
三、滞后调节
滞后调节,从字面意义上理解是一种产生相位滞后的调节器,但其却能提高系统相位裕度,具体原理如下:该调节器的主要作用是降低幅值,从而减小穿越频率,进而提高相位裕度。
首先观察典型滞后环节( s + 1 10 s + 1 \frac{s + 1}{10s + 1} 10s+1s+1)的伯德图:

Gm = Inf, Pm = -180 deg (at 0 rad/s)
当频率趋近于零时,幅值为 0dB,即不会对稳态误差产生影响;当频率趋近于无穷大时,幅值为 -20dB,这样就能使原系统的幅值曲线在特定频率范围内下移,穿越频率也随之减小,这正是我们所期望的结果。但与此同时,该环节也会带来相位滞后,这是我们不希望出现的情况,因此需要选取合适的参数以满足控制要求。
继续沿用超前调节中的例子及控制要求,设计滞后调节控制器。滞后调节器的传递函数为:
Lag
=
τ
s
+
1
a
2
τ
s
+
1
(
a
2
>
1
)
\text{Lag} = \frac{\tau s + 1}{a_{2}\tau s + 1} \quad (a_{2} > 1)
Lag=a2τs+1τs+1(a2>1)
其设计步骤如下:
- 确定能满足相位裕度要求的截止频率(对于原系统,该频率为 4.28 rad/s);
- 确定新截止频率处的增益,以此估算幅值曲线需下移的量(对于原系统,该下移量为 18 dB);
- 利用估算公式计算 Lag 环节的参数。
此处同样存在计算结果折扣的问题,由于相位曲线也会随之下移,穿过 -180° 的频率点会前移,因此可有意增大幅值曲线的下移量,例如在原有基础上再下移 2 dB,即 18 + 2 = 20 dB 18 + 2 = 20\ \text{dB} 18+2=20 dB。
据此计算可得 a 2 = 10 a_{2} = 10 a2=10。那么如何确定参数 τ \tau τ 呢?
我们希望伴随幅值下降的相位下降区域与截止频率点的距离尽可能远,以避免对最终的相位裕度产生影响。

这就要求把零极点尽可能的配置到离虚轴更近的点,即
τ
\tau
τ 越大越好。工程上的一个实际原则是:将零点配置在离虚轴距离比主导极点近 50 倍的位置。因此
τ
=
50
×
0.2
=
10
\tau = 50 \times 0.2 = 10
τ=50×0.2=10,最终设计出的 Lag 控制器为:
Lag
=
10
s
+
1
100
s
+
1
\text{Lag} = \frac{10s + 1}{100s + 1}
Lag=100s+110s+1
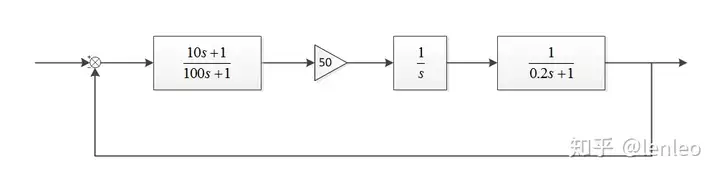
最终控制系统由如下几个部分组成:
- Lag 控制器: 10 s + 1 100 s + 1 \frac {10s + 1}{100s + 1} 100s+110s+1
- 放大器:50 倍
- 积分器: 1 s \frac {1}{s} s1
- 另一个传递函数: 1 0.2 s + 1 \frac {1}{0.2s + 1} 0.2s+11
最终控制系统如下:

最终控制系统的传递函数为:
10
s
+
1
100
s
+
1
⋅
50
s
(
0.2
s
+
1
)
\frac{10s + 1}{100s + 1} \cdot \frac{50}{s(0.2s + 1)}
100s+110s+1⋅s(0.2s+1)50
四、超前调节与滞后调节对比
针对原系统、带 lead 控制器的系统以及带 lag 控制器的系统,三者的伯德图

对比结果显示,超前调节和滞后调节均能对幅相曲线产生影响,且最终两种调节器都能使系统相位裕度刚好大于 48°。
为进一步探究两种调节方式的差异,对三种系统施加相同的单位阶跃指令,进行时域响应对比(通过 Matlab 指令实现:
% 计算并绘制原始系统的单位阶跃响应
step(feedback(g, 1))
% 保持当前图像,以便在同一图上绘制新的响应
hold on;
% 计算并绘制加入超前补偿后的系统的单位阶跃响应
step(feedback(lead*g, 1))
% 保持当前图像
hold on;
% 计算并绘制加入滞后补偿后的系统的单位阶跃响应
step(feedback(lag*g, 1))

从时域响应曲线可以看出,超前调节和滞后调节均能增大系统阻尼,减小超调量。但明显可见,超前调节会使系统响应速度加快,而滞后调节会使系统响应速度变慢。
实际上,系统响应变慢并非绝对的缺点,需根据实际系统的需求进行选择。若系统对响应速度要求不高,或无需接收高频指令,那么采用滞后调节更为有利,因为响应速度较快的系统对噪声的抑制能力会相对较差;此外,若系统中存在未知或不确定的高频模态,较慢的响应速度可忽略这些高频模态的影响,这在一定程度上也可视为一种优势。
五、超前 + 滞后调节
超前校正的主要作用是提供超前相角,从而增大相位裕度,在工程上主要用于改善系统的快速性和稳定性;滞后校正的主要目的是适当衰减幅值增益,在工程上主要用于提高系统稳态精度和稳定性,但会降低系统的快速性(该特性利弊共存)。
超前校正和滞后校正各具优势,且通过伯德图可观察到,二者的频率作用范围相互影响较小,因此可将二者结合使用,形成“超前 - 滞后调节”。通常的设计思路是先设计超前网络,再设计滞后网络,并且可将其参数简化为三个,例如:
lead - lag
=
(
τ
1
s
+
1
)
(
τ
2
s
+
1
)
(
1
+
τ
1
b
s
)
(
1
+
b
τ
2
s
)
\text{lead - lag} = \frac{(\tau_{1}s + 1)(\tau_{2}s + 1)}{\left(1 + \frac{\tau_{1}}{b}s\right)(1 + b\tau_{2}s)}
lead - lag=(1+bτ1s)(1+bτ2s)(τ1s+1)(τ2s+1)
这样的简化可使设计过程更为简便。
参考资料:
编辑于 2019 - 11 - 20 12:45
清风明月(543 人赞同)
PID、根轨迹、频率法等控制方法,其目的都是使系统的零极点处于合适的位置,以满足系统的性能指标要求。
系统的动态指标可通过以下公式进行估算:
- 上升时间 t r ≈ 1.8 ω n t_{r} \approx \frac{1.8}{\omega_{n}} tr≈ωn1.8
- 最大超调量 M p = e − π ξ 1 − ξ 2 M_{p} = e^{-\frac{\pi\xi}{\sqrt{1 - \xi^{2}}}} Mp=e−1−ξ2πξ
- 稳定时间 t s = 4.6 ξ ω n t_{s} = \frac{4.6}{\xi\omega_{n}} ts=ξωn4.6
现考虑一个二阶系统,系统框图如下

(其中 G ( s ) = 1 s ( s + 1 ) G(s) = \frac{1}{s(s + 1)} G(s)=s(s+1)1, D ( s ) D(s) D(s) 为控制器),设计目标为最大超调量 M p M_{p} Mp 小于 20%,上升时间小于 0.25 秒。根据上述公式可计算得出 ξ ≥ 0.5 \xi \geq 0.5 ξ≥0.5, ω n ≥ 7.2 \omega_{n} \geq 7.2 ωn≥7.2。
若仅采用比例控制器(即 D ( s ) = K D(s) = K D(s)=K),绘制系统的根轨迹图后发现,

根轨迹上无任何一点处于满足设计要求的红色区域内,这意味着无论 K K K 取何值,都无法满足系统性能要求。此时,需通过改变根轨迹来解决该问题。
根据控制理论知识,给开环传递函数增加一个零点,可将系统的根轨迹“拉”向左半平面。为验证该结论,令 D ( s ) = s + 2 D(s) = s + 2 D(s)=s+2(即给开环传递函数增加一个零点 s = − 2 s = -2 s=−2),

观察根轨迹变化,发现根轨迹确实向左移动。进一步改变零点位置,

结果显示添加的零点位置越靠左,系统的根轨迹被向左“拉”的幅度越大。
由上述实验可知,当 D ( s ) = s + 10 D(s) = s + 10 D(s)=s+10 时,选取合适的 K K K 值(例如 K = 13 K = 13 K=13),可使系统获得满足要求的 ξ \xi ξ 和 ω n \omega_{n} ωn。
超前补偿
但该设计方案存在一定问题,分析 D ( s ) = 13 ( s + 10 ) D(s) = 13(s + 10) D(s)=13(s+10) 的伯德图

发现,控制部分 D ( s ) D(s) D(s) 的高频增益较大,而噪声多为高频信号,这意味着添加该控制环节后,系统抵抗噪声的能力会下降。此外, D ( s ) = 13 ( s + 10 ) D(s) = 13(s + 10) D(s)=13(s+10) 本质上是一个 PD 控制器,而在现实中,很难找到纯微分的器件,因此该方案不可行。
为解决上述问题,考虑为系统增加一个超前补偿环节,其传递函数为:
D
(
s
)
=
K
⋅
s
+
z
s
+
p
(
p
>
z
)
D(s) = K \cdot \frac{s + z}{s + p} \quad (p > z)
D(s)=K⋅s+ps+z(p>z)
显然,
D
(
s
)
D(s)
D(s) 的分母可减小其增益。设
z
=
2
z = 2
z=2,
K
=
1
K = 1
K=1(即
D
(
s
)
=
s
+
2
s
+
p
D(s) = \frac{s + 2}{s + p}
D(s)=s+ps+2),绘制不同
p
p
p 值对应的伯德图,

结果表明极点的引入能有效抑制 D ( s ) D(s) D(s) 的高频增益,且 p p p 值越大(即引入极点的位置越靠左), D ( s ) D(s) D(s) 的增益越低。
基于此,选取超前补偿器 D ( s ) = K ⋅ s + 2 s + 10 D(s) = K \cdot \frac{s + 2}{s + 10} D(s)=K⋅s+10s+2,绘制系统根轨迹图,

当 K = 70 K = 70 K=70 时,系统可满足 ξ \xi ξ 和 ω n \omega_{n} ωn 的要求。观察 D ( s ) D(s) D(s) 的伯德图

及闭环系统的阶跃响应,

结果均符合设计预期。
滞后补偿(2015/12/26)
从频率响应的角度分析滞后补偿的作用,假设系统的开环传递函数为:
G
(
s
)
=
3
(
1
0.5
s
+
1
)
×
(
s
+
1
)
×
(
2
s
+
1
)
G(s) = \frac{3}{\left(\frac{1}{0.5}s + 1\right) \times (s + 1) \times (2s + 1)}
G(s)=(0.51s+1)×(s+1)×(2s+1)3
绘制系统伯德图,

结果显示系统的相角裕度(分割频率处的相角与 -180° 之差)约为 50°,开环低频增益为 3。相角裕度和开环低频增益对系统性能的影响如下:
- 相角裕度越大,阻尼系数越大,最大超调量越小;
- 开环低频增益越大,系统的稳态误差越小。
据此可预测,该系统的闭环响应动态性能(上升时间、超调量)尚可,但稳态误差较大。绘制闭环系统的单位阶跃响应,

结果验证存在较大的稳态误差。
若想减小稳态误差,从频率角度出发,可通过提高系统在低频处的开环增益实现。为此,尝试给系统增加一个滞后补偿环节,其传递函数为:
D
(
s
)
=
α
⋅
s
T
+
1
α
s
T
+
1
(
α
>
1
)
D(s) = \alpha \cdot \frac{sT + 1}{\alpha sT + 1} \quad (\alpha > 1)
D(s)=α⋅αsT+1sT+1(α>1)
取 α = 3 \alpha = 3 α=3(即将低频开环增益提高到原来的三倍), T = 1 T = 1 T=1,绘制 D ( s ) D(s) D(s) 的伯德图,

可见补偿环节在低频处能提供三倍的增益(以 dB 为单位时,增益为 20 log 10 3 20\log_{10}3 20log103),且对高频噪声无放大作用。
添加补偿环节后,观察开环传递函数的频率响应,

发现系统低频增益虽有所提高,但相角裕度由原来的 50° 降至 14°。根据控制理论,相位裕度降低意味着系统的阻尼系数降低,系统震荡会加剧,超调量会增大,绘制闭环系统阶跃响应,

结果证实了该结论。
为提高补偿后系统的相位裕度,可尝试将滞后补偿环节的较大拐点左移(即增大 T T T 的值),以减少其对相位裕度的影响。取 α = 3 \alpha = 3 α=3, T = 5 T = 5 T=5,绘制整个系统开环传递函数的伯德图,

结果显示低频增益约为 10,相位裕度约为 45°。绘制此时闭环系统的阶跃响应,

可见响应基本符合要求,但仍存在一定稳态误差,可通过进一步提高低频增益来改善。
一些思考:自动控制是一门实用性极强的学科。虽然理论上可计算出某一问题的完美精确数学解,但由于实际问题的复杂性,往往等得到精确解时,已失去实际应用价值。因此,在实际工程中,通常会考察特定问题(如二阶系统)中某一参数对系统性能的影响,然后根据该影响趋势,估计该参数对各类问题的影响,并通过实验或仿真进行验证,不断调整参数,以获得期望的性能。
以上内容若存在错误,欢迎各位不吝赐教。
编辑于 2020 - 08 - 14 16:38
huyoust(49 人赞同)
创作声明:包含 AI 辅助创作
公式理论部分,其他答主已进行了详细阐述,此处以“开车”为例,对超前补偿、滞后补偿、超前滞后补偿进行通俗解释。
若将“开车”这一行为抽象为控制理论中的模型:
- 受控对象(Plant):即汽车,具有自身的惯性、质量、发动机功率等特性;
- 控制器(Controller):即人的大脑和脚,根据目标(停车位)和当前状态(车速、位置)发出指令(踩油门、踩刹车);
- 闭环系统:整个“人 - 车 - 停车位”的反馈系统。
在控制理论中,零点和极点是描述系统动态特性的“坐标”,可将其视为决定系统“性格”的“关键按钮”:
- 极点(Poles):决定系统的稳定性和响应速度,类似于汽车的惯性。若极点离虚轴过近,汽车易晃动,难以停稳;若极点过靠右,汽车易失控,直接冲出去;
- 零点(Zeros):决定系统的响应形态和输出特性,类似于汽车的刹车和油门,能改变汽车对指令的反应方式。
关于零点为何类似刹车和油门、极点为何类似惯性,这与传递函数相关,而传递函数基于拉普拉斯变换,可参考回答“学习自动控制原理为什么用到拉普拉斯变换?”进一步理解。
1. 滞后补偿(Lag Compensation)
(1)用开车解释
假设驾驶过程中车速过快,眼看即将冲过停车位。此时,大脑会发出“踩刹车”的指令,但从发现目标、大脑发出指令,到脚实际踩下刹车、汽车开始减速,整个过程存在一定延迟。若仅简单踩刹车,汽车可能会“冲过头”(即超调)。
滞后补偿的作用类似于:当发现车速过快时,不立即猛踩刹车,而是提前松开油门,并缓慢开始踩刹车。该过程使汽车有更充足的时间平稳减速,避免因反应过快而冲出停车位。
滞后补偿本质是一种“延迟”策略,它会减缓系统的反应速度,使系统更“稳重”,从而减少超调(冲过头)和震荡。但缺点是会使系统反应变慢,到达目标的时间延长。
(2)用零极点解释
滞后补偿器会向系统原点附近添加一对零极点,通常零点在极点右侧(离虚轴更近)。新增的零点如同提前松开油门,能削弱系统对高频信号的响应,使系统变得“迟钝”,进而减少超调(冲过头);新增的极点会减小系统在低频时的增益,如同缓慢踩刹车,能使系统在稳态时更精确,减小稳态误差。
滞后补偿器通过新增一对靠近原点的零极点,使系统在低频时响应变慢,从而提高稳定性,但牺牲了响应速度。
2. 超前补偿(Lead Compensation)
(1)用开车解释
与滞后补偿场景相反,若驾驶时车速过慢,停车位近在眼前,但距离仍较远。若仅缓慢给油,可能需要较长时间才能到达停车位。
超前补偿的作用类似于:当看到停车位时,大脑会发出“预判”指令——“虽然尚未到达,但需提前给点油,让车子加速”。这样,当车子真正到达停车位时,速度已调整至合适范围,可更迅速、精准地停好车。
超前补偿是一种“预判”策略,能提前修正系统偏差,使系统反应更“敏捷”,从而加快响应速度,缩短到达目标的时间,并改善系统稳定性。但缺点是,若参数调整不当,系统可能因反应过快而变得“不稳定”。
(2)用零极点解释
超前补偿器会向系统远离原点的位置添加一对零极点,通常零点在极点左侧(离虚轴更远)。新增的零点如同预判式踩油门,能增强系统对高频信号的响应,使系统更“敏捷”,从而加快响应速度;新增的极点则可抵消部分负面影响,避免系统因响应过快而失控。
超前补偿器通过新增一对离原点较远的零极点,使系统在低频和高频时的响应均得到提升,从而提高响应速度,改善稳定性。
3. 超前滞后补偿(Lead - Lag Compensation)
(1)用开车解释
在现实驾驶场景中,停车位可能位于坡道上,或路况复杂。此时,既需要快速接近停车位(对应超前补偿),又需要在接近时平稳停车(对应滞后补偿)。
超前滞后补偿的作用结合了两种策略:刚开始看到停车位时,超前补偿策略发挥作用,适当多踩油门,快速接近目标;当快要到达停车位时,滞后补偿策略开始生效,提前缓慢松开油门并踩刹车,使车子平稳停下。
超前滞后补偿是超前补偿和滞后补偿的结合体,既利用了超前补偿快速响应、提高敏捷性的优点,又利用了滞后补偿减小超调、提高稳定性的优点,是一种更全面的控制策略,能使系统又快又稳地达到目标。
(2)用零极点解释
超前滞后补偿器是超前补偿器和滞后补偿器的叠加,会同时新增两对零极点:
- 一对靠近原点的零极点(滞后补偿部分):负责稳定系统,减小稳态误差;
- 一对远离原点的零极点(超前补偿部分):负责提高响应速度,改善动态性能。
超前滞后补偿器结合了两种策略的零极点布局,能同时解决稳态误差和响应速度问题,实现系统又快又稳的控制效果。
编辑于 2025 - 09 - 28 11:54
Kaixiang Wang(93 人赞同)
此处对 @花满楼(校友,且同属三院)的回答进行补充,主要从频域角度展开分析。
首先,从命名角度来看,“超前补偿”和“滞后补偿”的名称源于其频率响应中的相位变化趋势。例如,@花满楼 回答中的超前补偿器:
D
(
s
)
=
K
⋅
s
+
2
s
+
10
D(s) = K \cdot \frac{s + 2}{s + 10}
D(s)=K⋅s+10s+2
其伯德图(图 1)显示,

相位响应在大部分频率范围接近零,仅在一小部分区间内为正值(即相位超前)。
类似地,对于如下滞后补偿器:
D
(
s
)
=
3
⋅
s
+
1
3
s
+
1
D(s) = 3 \cdot \frac{s + 1}{3s + 1}
D(s)=3⋅3s+1s+1

其相位响应在某一段区间内为负值(即相位滞后)。
接下来探讨超前补偿和滞后补偿的用法,本质上是对 @花满楼 回答的总结。为直观理解该问题,暂时接受以下前提:
- 希望保持环路系统( D ( s ) G ( s ) D(s)G(s) D(s)G(s))的穿越频率和高频增益(大致)不变;
- 希望提高环路系统的相位裕度;
- 希望提高环路系统的低频增益。
前提 1 基本限制了仅通过单纯的 K K K 增益(比例控制)调节系统性能的可行性。
对于前提 2,由于相位裕度取决于穿越频率处相位响应的滞后程度,若想减小滞后,在该频段添加一个超前补偿器即可(如图 1 所示)。当然,补偿器的幅值响应会影响穿越频率,但可通过调节补偿器中的 K K K 使穿越频率不受影响。不过,高频增益会不可避免地增大。若想尽量避免这一问题,只能减小补偿器超前的频率范围,但这样一来,相位补偿效果会相应减弱。由此可见,控制工程中存在一个不可避免的定律——“没有免费的午餐”(no free lunch),要改善某一方面性能,几乎必然要牺牲另一方面性能。
对于前提 3,参考滞后补偿器的伯德图(图 2),其在基本不影响高频响应的情况下,大幅提高了低频的幅值增益。尽管相位滞后主要发生在低频段,但在高频段(即穿越频率处)仍会带来少量相位滞后,进而影响相位裕度。若想减小这种影响,只能缩小相位滞后的频率范围,但低频增益的提升效果也会随之降低。此处再次印证了“没有免费的午餐”定律。
有人可能会问:若使用滞后补偿器后,感觉相位裕度过低,又不想减少低频增益,能否在穿越频率附近再添加一个超前补偿器?答案是肯定的!此时得到的便是——超前滞后补偿器!
此外,需指出一种观点的误区:“滞后补偿是通过减小穿越频率来增大相位裕度”。若仅为通过牺牲穿越频率来增大相位裕度,采用 K < 1 K < 1 K<1 的增益即可,无需设计复杂的滞后补偿器(当然,这也可能是分析角度不同导致的认知差异)。
参考资料:Feedback Control of Dynamic Systems by G. Franklin
编辑于 2016 - 08 - 31 19:49
不足为外人道也(71 人赞同)
在此谈谈对超前补偿、滞后补偿、超前滞后补偿的理解。由于篇幅限制,暂不展开详细推理和仿真图,主要从感性层面进行分析。
一、超前校正
1. 目的
在改善系统动态性能的同时,保证静态性能基本不变。
2. 手段
根轨迹和波特图分别从时域和频域角度包含了系统的全部结构信息,因此,改善系统动态/静态性能,本质上就是“操纵”根轨迹和波特图。
改变开环增益 K K K 是最简便的调节方式,但当系统结构确定后, K K K 值的调节能力有限:
- 从根轨迹角度看, K K K 值仅能使根落在根轨迹上的位置,若性能指标要求的根位置不在根轨迹上, K K K 值无法满足需求;
- 从波特图角度看, K K K 值对相频特性无影响,仅能改变幅频特性的上下位置,无法改变其“形状”(即转折频率和转折方式)。
出现上述限制的原因在于,根轨迹和波特图的“形状”由系统结构决定。因此,要改变它们,需从系统结构入手(系统结构指方块图上积分装置的数量和反馈深度)。
3. 实现
(1)根轨迹法(时域法)
改变根轨迹的走向,使其经过满足性能要求的区域。@花满楼 已对具体实现过程进行了详细阐述,此处不严谨地总结为:先引入新零点,将根轨迹向目标区域“拉”,再加入新极点,弥补零点引入带来的问题。
从另一个角度看,超前校正引入的零点和极点,二者距离不会过远(或在一定程度上相对较近),这种距离较近的零极点组合,被形象地称为“偶极子”(偶极子概念在多个学科中均有应用,例如大学物理中讲解正负点电荷电场分布时)。
偶极子的特点是:其影响仅局限于自身附近区域,在复平面远区,二者的影响相互抵消(从传递函数表达式可直观看出这一特性)。该特点带来的优势是:可相对精确地对某一频率范围进行调节,而不会对其他区域产生过大影响。
观察 @花满楼 提供的引入校正前后的根轨迹图,可发现偶极子近区的根轨迹分布发生了显著变化,而远离偶极子区域的根轨迹走向变化并不明显。
超前校正的两个关键参数 T T T 和 α \alpha α:
- T T T 决定偶极子的位置;
- α \alpha α 决定偶极子的距离(即对近区的影响程度)。
根据性能需求确定这两个参数,使根轨迹经过满足要求的区域后,再调整 K K K 值,使闭环极点落在该区域内,即可完成超前校正设计。
(2)波特图法(频域法)
思路是对波特图中不合理的部分进行“调整”。将超前校正的目的翻译为频域语言:“想改善动态性能”即“将中频曲线段向上调整”,“保证静态性能基本不变”即“低频段的幅频曲线不调整”。
参考超前校正波特图(可参考 @Kaixiang Wang 相关图表),

可见其正好将较高频段的幅频曲线向上调整,而低频段基本保持不变(需注意的是,该过程会牺牲系统对更高频段噪声的抗干扰能力),这体现了偶极子对幅频曲线的分段调节能力。
再观察相频特性,由于比例积分和比例微分对相角的影响均在 90° 以内,且在远区二者对相角的影响相互抵消,因此偶极子能使自身附近区域的相角超前,对其他区域的影响较小,这可视为超前校正在改善动态性能的同时带来的“附加福利”。
相较于 K K K 值调节(比例调节),超前校正的优势在于:不仅能改变幅频特性的幅值,还能实现分段调节,同时提高系统稳定性(通过相位超前)。
超前校正中,参数 T T T 决定对幅频曲线进行分段调整的频率位置,参数 α \alpha α 决定幅频曲线的调整幅度,同时也决定了附加超前角的大小。
二、滞后校正
1. 目的
在改善系统静态性能的同时,保证动态性能基本不变。
2. 手段
同样从根轨迹(时域法)和波特图(频域法)两个角度分析:
(1)根轨迹法(时域法)
思路与超前校正类似,区别仅在于零点和极点的左右位置关系(即偶极子对根轨迹的修正方向不同)。同样,确定参数 T T T 和 α \alpha α 后,根轨迹的形状随之确定,再调整 K K K 值,使极点落在合适位置即可。
(2)波特图法(频域法)
对不符合要求的幅频段进行“调整”。将滞后校正的目的翻译为频域语言:“想改善静态性能”即“将低频段曲线向上调整”,“保证动态性能基本不变”即“中高频段的幅频曲线不调整”。
参考滞后校正波特图,

可见其正好将低频段幅频曲线向上调整,中高频段基本无变化。只要两个转折频率( 1 / T 1/T 1/T 和 1 / ( α T ) 1/(\alpha T) 1/(αT))足够小(严格来说,静态特性(主要是静差)针对的是频率接近 0 的直流分量,因此转折频率小一些无影响),就能使滞后校正对高频区的影响降至最低。
尽管滞后校正会引入相位滞后这一副作用,但只要转折频率足够小,其对中高频段的影响就能控制在较小范围内。
三、滞后 - 超前校正
1. 目的
同时改善系统的静态性能和动态性能。
2. 手段
原理简单易懂,即将滞后校正和超前校正串联起来,使二者在不同频段分别发挥作用,实现优势互补。
3. 补充说明
(1)滞后 - 超前校正与比例调节的区别
比例调节也能在一定程度上同时提高静态增益和中频段宽度,那么滞后 - 超前校正的优势体现在哪里?
- 自由度差异:比例调节仅有一个自由度 K K K,静态性能和动态性能的改善相互绑定,易产生相互制约;而滞后 - 超前校正有 3 个自由度,可对不同频段分别进行调节,如同“精耕细作”,而非比例调节的“大水漫灌”。
- 稳定性差异:比例调节提高增益的同时,会以牺牲系统稳定性为代价(相位裕度减小),而“稳定是首要目标”,不能随意减小相位裕度;滞后 - 超前校正可通过超前角补偿相位滞后,甚至能使系统稳定性优于校正前。
(2)滞后 - 超前校正的波特图特性

从相频曲线直观来看,滞后 - 超前校正像是从低频区(对相位要求不高的区域)“提取”一部分相角,“补充”到中高频段(对相位要求较高的区域),实现相位的“再分配”,整体相位影响基本平衡。
(3)滞后 - 超前校正的参数与 PID 调节的关联
滞后 - 超前校正有三个自由度 T 1 T_1 T1、 T 2 T_2 T2、 α \alpha α:
- T 1 T_1 T1 和 T 2 T_2 T2 分别决定改善动态性能和静态性能的频段;
- α \alpha α 决定性能改善的程度。
理论上,滞后 - 超前校正与 PID 调节等价,参数组 ( T 1 , T 2 , α ) (T_1, T_2, \alpha) (T1,T2,α) 和 ( P , I , D ) (P, I, D) (P,I,D) 可通过类似空间坐标变换的方式相互转换,具体转换方法可通过展开传递函数公式,对比系数推导得出。
-------随复习进度更新-------
以下内容为教材内容整理,部分知识点仍存在疑问,若有理解透彻的朋友,欢迎交流指导。
超前补偿、滞后补偿、超前滞后补偿的理解
本文基于科学出版社《控制理论 CAI 教程(第三版)》(颜文俊主编),从频域法(基于波特图)和时域法两个角度,系统阐述控制系统中超前校正、滞后校正及滞后 - 超前校正的设计思路、具体方法及相关疑问,为控制系统设计提供理论参考。

一、频域法
频域法以波特图为核心工具,通过调整系统开环频率特性,实现对系统稳定性、动态性能和静态性能的优化。
(一)超前校正
- 设计目标
依据教材内容,超前校正的设计方法步骤如下:
-
首先,根据系统要求的相位裕量 γ 1 \gamma_1 γ1 与未校正系统的相位裕量 γ \gamma γ,计算所需的超前角 Φ m \Phi_m Φm。
-
进而,由超前角 Φ m \Phi_m Φm 确定零极点间距系数 α \alpha α,再选择合适的时间常数 T T T,确保超前校正环节提供最大超前角的频率点恰好与校正后系统的剪切频率重合。
该设计思路的逻辑是最大化利用超前角,以显著提升系统相位裕量,增强系统稳定性。但存在一处疑问:此前理论中,应用超前校正的核心目的是增大系统中频段宽度,进而改善动态性能,同时兼顾提高稳定性;而在实际设计过程中,却优先以最大化提升稳定性为依据,剪切频率的调整反而成为次要目标,这一设计逻辑与初始目标的优先级差异有待进一步明确。
(二)滞后校正
- 设计目标与疑问
-
教材原文(第 163 页)指出 “ 滞后校正的原理是:利用滞后校正装置的低通滤波器特性,使它在基本不影响校正后系统低频特性的情况下,使校正后系统的开环频率特性的中频段和高频段增益降低,从而使剪切频率 ω c \omega_c ωc 前移,达到增加系统相位裕量的目的。”
-
此处存在两处疑问:其一,理论上应用滞后校正的初衷是在保证系统动态性能基本不变的前提下,提高静态性能(减小静差),但设计过程中却以提升相位裕量为核心目标;其二,中频段和高频段增益的降低会导致动态性能受损,且设计过程中未提及静态性能的提升措施。经分析推测,可能因静态性能提升可通过直接调整开环增益 K K K 实现,操作简便且易满足要求,因此设计重点转向解决稳定性问题。
- 操作步骤
-
确定开环增益 K K K:根据系统静态性能指标(如静差)直接计算 K K K,此步骤已初步实现滞后校正 “提升静态性能” 的目标,后续校正操作主要用于解决因 K K K 增大可能引发的稳定性问题。
-
确定滞后系数 β \beta β:首先,在未校正系统的波特图上寻找频率点 ω \omega ω,要求将该点作为校正后的剪切频率时,系统相位裕量满足设计要求。未校正系统在该频率点的开环相角需满足
ϕ = − 18 0 ∘ + γ + ε \phi = -180^\circ + \gamma + \varepsilon ϕ=−180∘+γ+ε
其中 ε \varepsilon ε 为补偿滞后校正环节自身滞后角的估算值,暂不考虑。其次,由于滞后校正环节在低频段与高频段的幅度差为 20 lg β 20\lg\beta 20lgβ,通过调整 β \beta β 可将选定的频率点 ω \omega ω“拉至” 横轴,使其成为校正后的剪切频率。 -
确定时间常数 T T T:为减小滞后校正环节在剪切频率 ω \omega ω 处产生的滞后角,需使校正环节的零点和极点远离 ω \omega ω,理论上距离越远越好。但考虑工程实现难度,通常取 T T T 对应的频率为 ω \omega ω 的 1 / 5 1/5 1/5 至 1 / 10 1/10 1/10。
(三)滞后 - 超前校正
- 设计目标与疑问
-
教材原文指出:“通过对校正参数的合理配置,使滞后部分的低通特性克服超前部分引起的频带增宽、易受高频噪声的影响,同时利用超前部分来补偿因滞后部分产生的相位滞后对系统动态性能产生的不良影响”。
-
此处存在疑问:改善系统动态性能通常需要增宽频带,而频带增宽必然导致系统对高频噪声更敏感,这是动态性能提升的固有特性。若通过滞后部分抑制频带增宽,可能会削弱动态性能的改善效果,其参数配置的平衡逻辑需进一步明确。
- 操作方法
滞后 - 超前校正涉及 4 个关键参数:开环增益 K K K、滞后系数 β \beta β、超前校正时间常数 T 1 T_1 T1、滞后校正时间常数 T 2 T_2 T2,具体设计步骤如下:
-
确定开环增益 K K K:仍根据系统静态性能指标(如静差)计算 K K K。
-
确定剪切频率 ω c \omega_c ωc:选择未校正系统相角为 − 18 0 ∘ -180^\circ −180∘ 的频率点作为校正后的剪切频率,该频率点的选取依据有待进一步验证。
-
确定滞后校正时间常数 T 2 T_2 T2:采用与滞后校正中确定 T T T 相同的方法,即使滞后环节零点和极点远离 ω c \omega_c ωc,兼顾滞后角抑制与工程实现性。
-
确定滞后系数 β \beta β:工程上通常取 β = 10 \beta = 10 β=10。
-
确定超前校正时间常数 T 1 T_1 T1:调整 T 1 T_1 T1,使校正后系统在剪切频率 ω c \omega_c ωc 处的增益为 1 1 1。
二、时域法
时域法以系统闭环极点分布为核心,通过主导极点近似简化系统分析,将性能指标转化为主导极点位置要求,进而设计校正环节。
(一)超前校正
- 整体思路
采用主导极点近似法,将系统动态性能指标转化对主导极点位置的要求,后续设计围绕使系统根轨迹经过目标主导极点、削弱非主导极点影响(如零极点抵消或使非主导极点靠近零点)展开。 - 设计目标与步骤
-
若需使主导极点位于根轨迹左侧,可引入超前校正环节(零点位置左于极点),通过校正环节的作用 “牵引” 根轨迹向目标区域移动,使其经过目标主导极点 s d s_d sd,再调整开环增益 K K K,使闭环特征根落在 s d s_d sd 处。
-
为使目标主导极点 s d s_d sd 成为根轨迹上的点,超前校正环节所需满足相角条件:
∠ G c ( s d ) = ϕ = − π − ∠ G 0 ( s d ) \angle G_c (s_d) = \phi = -\pi - \angle G_0 (s_d) ∠Gc(sd)=ϕ=−π−∠G0(sd),
其中 ∠ G c ( s d ) \angle G_c (s_d) ∠Gc(sd) 为超前校正环节在 s d s_d sd 处的相角, ∠ G 0 ( s d ) \angle G_0 (s_d) ∠G0(sd) 为未校正系统在 s d s_d sd 处的相角。

从几何关系来看,从目标主导极点 s d s_d sd 出发的两条线与负实轴相交,交点分别为超前校正环节 G c G_c Gc 的零点和极点,两条线的夹角即为超前角 Φ \Phi Φ(与相角条件计算结果一致。在 s d s_d sd 点处,相角 Φ \Phi Φ 恰好等于校正环节 G c G_c Gc 所提供的相位超前量。)。因此,确定角度 γ \gamma γ(射线与负实轴的夹角)后,即可确定超前校正环节的零极点位置及其他参数。
-
确定角度 γ \gamma γ 的三种方法:
-
零极点抵消法:直接将超前校正环节的零点设置在目标主导极点 s d s_d sd 的正下方,通过零点与非主导极点的抵消,削弱非主导极点对系统性能的影响。
-
比值 α \alpha α 最大化法:已知 α \alpha α(零点与极点的模长比值)越大,超前校正环节提供的超前角越大。通过几何关系(正弦定理)推导 α \alpha α 与 γ \gamma γ 的函数关系:
零点模长 z c = ω n sin γ sin ( γ + θ ) z_c = \frac {\omega_n \sin\gamma}{\sin (\gamma + \theta)} zc=sin(γ+θ)ωnsinγ
极点模长 p c = ω n sin ( γ + ϕ ) sin ( ϕ + γ + θ ) p_c = \frac {\omega_n \sin (\gamma + \phi)}{\sin (\phi + \gamma + \theta)} pc=sin(ϕ+γ+θ)ωnsin(γ+ϕ)
比值 α = z c p c = sin ( ϕ + γ + θ ) sin γ sin ( γ + θ ) sin ( γ + ϕ ) \alpha = \frac {z_c}{p_c} = \frac {\sin (\phi + \gamma + \theta) \sin\gamma}{\sin (\gamma + \theta) \sin (\gamma + \phi)} α=pczc=sin(γ+θ)sin(γ+ϕ)sin(ϕ+γ+θ)sinγ
对 α \alpha α 关于 γ \gamma γ 求导并令导数为 0 0 0( d α d γ = 0 \frac {d\alpha}{d\gamma} = 0 dγdα=0),解得 γ = 1 2 ( π − θ − ϕ ) \gamma = \frac {1}{2}(\pi - \theta - \phi) γ=21(π−θ−ϕ),将该值代入上述公式,即可确定超前校正环节的零极点及其他参数。
-
本文内容为基于教材理论的整理与分析,部分设计逻辑与目标的关联性仍需结合工程实践进一步验证。未经过严格推敲,若存在表述不准确或逻辑疏漏之处,欢迎指正。
编辑于 2018-09-22 21:03
不会解方程的欧拉(9 人赞同)
专业理论知识方面,其他答主已进行了详细讲解,此处从另一个角度对超前补偿、滞后补偿、超前滞后补偿进行理解,观点仅供参考,欢迎探讨。
个人对这三种补偿的理解如下:
- 超前补偿:可类比为 PD 控制;
- 滞后补偿:可类比为 PI 控制;
- 超前滞后补偿:兼具 D 环节和 I 环节的特征,可简单理解为 PID 控制。
具体原因分析如下:
- 比例项:无需过多解释,1、0.5、10 等均为比例系数,仅体现系数差异;
- 微分项(D):对变量求导(微分)可反映变量未来的变化趋势,这一特性即为“超前”,能实现提前判断;
- 积分项(I):积分是对变量从过去到当前的累积,该过程会产生“滞后”,存在一定的延时。
通过网络检索发现,也有其他学者持类似观点:
“Lead compensators are like PD controllers, so the zero (the derivative component) dominates the system. Therefore the zero is closer to the imaginary axis. Likewise, lag compensators are like PI controllers, so the pole dominates the system. Therefore the pole is closer to the imaginary axis.”
“超前补偿器类似于 PD 控制器,因此零点(微分分量)主导系统。因此零点更接近虚轴。同样地,滞后补偿器类似于 PI 控制器,因此极点主导系统。因此极点更接近虚轴。”
Lead (PD): ZERO DOMINATES: ω z < ω p \omega_z < \omega_p ωz<ωp
超前(PD):零点主导: ω z < ω p \omega_z < \omega_p ωz<ωp
Lag (PI): POLE DOMINATES: ω z > ω p \omega_z > \omega_p ωz>ωp
滞后(PI):极点主导: ω z > ω p \omega_z > \omega_p ωz>ωp
即:
- 超前补偿(PD):零点起主导作用,满足 ω z < ω p \omega_{z} < \omega_{p} ωz<ωp;
- 滞后补偿(PI):极点起主导作用,满足 ω z > ω p \omega_{z} > \omega_{p} ωz>ωp。
同时,观察微分项和积分项的伯德图可知:
-
微分项伯德图:

会提供 +90° 的相位角。其幅频特性公式为 A = 20 log K ω A = 20\log K\omega A=20logKω,相频特性公式为 ϕ = + 9 0 ∘ \phi = +90^{\circ} ϕ=+90∘; -
积分项伯德图:

会提供 -90° 的相位角。其幅频特性公式为 A = 20 log K ω A = 20\log \frac{K}{\omega} A=20logωK,相频特性公式为 ϕ = − 9 0 ∘ \phi = -90^{\circ} ϕ=−90∘,斜率为 -20 dB/dec。
以上分析可帮助加深对三种补偿器的理解。
延伸阅读:
- Lead Compensators – Emma Benjaminson – Data Scientist
https://sassafras13.github.io/LeadComp1/ - Lead Lag Compensators – Emma Benjaminson – Data Scientist
https://sassafras13.github.io/LeadLagCompensation/ - Fundamentals of Lead and Lag Compensators – Emma Benjaminson – Data Scientist
https://sassafras13.github.io/LeadLagFundamentals/
发布于 2025-09-30 09:16
覆手为雨(22 人赞同)
简要介绍超前校正和滞后校正两种方法,二者的首要目的均为提高系统的相角裕度(稳定性)。
超前校正
当原系统在截止频率 ω c \omega_c ωc 处的相角裕度较小时,需增加相角裕度。超前校正装置的伯德图相频特性为正值,因此得名“相位超前校正装置”。
该装置由 1 个一阶微分环节和 1 个惯性环节组成,两个环节的参数决定了伯德图幅频特性的形态:微分环节的转折点位于惯性环节之前,因此幅频特性先上升,达到一定频率后趋于平稳,使得装置的伯德图幅值大于 0。
实际应用中,通常选取两个转折点的几何中心作为工作点,该点处装置相频特性提供的超前相角最大。若将该点配置在校正后的截止频率 ω c \omega_c ωc 处,可使原系统在 ω c \omega_c ωc 处的相角大幅增大,获得最佳校正效果。
同时,由于装置伯德图幅值大于 0,会将原系统的幅频特性向上抬升,导致截止频率 ω c \omega_c ωc 右移,系统快速性得到改善。
滞后校正
当原系统在截止频率 ω c \omega_c ωc 处的相角裕度较小时,同样需增加相角裕度。滞后校正装置的伯德图相频特性为负值,因此得名“相位滞后校正装置”。
该装置同样由 1 个一阶微分环节和 1 个惯性环节组成,但两个环节的参数与超前校正装置不同:微分环节的转折点位于惯性环节之后,因此幅频特性先下降,达到一定频率后趋于平稳,使得装置的伯德图幅值小于 0。
尽管该装置会产生相位滞后,但实际应用中,通常选取第二个转折点 10 倍频率处的点作为工作点。在该点,装置与两个转折点的位置关系已不密切,对应的相频特性曲线相角很小,对系统整体相角影响甚微;而该点处负的幅频特性较为显著,可利用其将原系统伯德图的幅频特性向下拉,使截止频率 ω c \omega_c ωc 左移。
观察原系统伯德图的相频特性曲线可知,左移后的截止频率 ω c \omega_c ωc 对应的相角裕度更大,且校正装置在该点对原系统相角的影响极小,从而使校正后系统的相角裕度大幅提高。
当然,截止频率 ω c \omega_c ωc 左移会导致系统快速性下降,因此滞后校正是以牺牲部分系统快速性为代价,换取系统稳定性的提升。
发布于 2019-08-19 16:50
萧然(13 人赞同)
先上关于三个补偿的学习链接,
- Control Tutorials for MATLAB and Simulink - Extras: Designing Lead and Lag Compensators
https://ctms.engin.umich.edu/CTMS/index.php?aux=Extras_Leadlag#12 - 16.06 Principles of Automatic Control, Lecture 14 - MIT16_06F12_Lecture_14.pdf
https://ocw.mit.edu/courses/16-06-principles-of-automatic-control-fall-2012/84821af4788443d3d2501ec57c3b81e4_MIT16_06F12_Lecture_14.pdf
相关课件内容示例(以超前补偿器设计为例):
为满足相角条件,需满足:
ϕ = 90 − 108.4 − 123.7 + 180 ( mod 360 ) = 37. 9 ∘ \phi = 90 - 108.4 - 123.7 + 180\ (\text{mod}\ 360) = 37.9^{\circ} ϕ=90−108.4−123.7+180 (mod 360)=37.9∘由几何关系可得:
tan ϕ = 3 β − 3 ⇒ β = 6.9 \tan\phi = \frac{3}{\beta - 3} \Rightarrow \beta = 6.9 tanϕ=β−33⇒β=6.9为求解增益 K K K,需利用幅值条件(在极点处满足 ∣ K ( s ) G ( s ) ∣ = 1 |K(s)G(s)| = 1 ∣K(s)G(s)∣=1):
∣ K ( s ) G ( s ) ∣ = 2 ⋅ K ⋅ ∣ s + 3 ( s + 1 ) ( s + 2 ) ( s + 6.9 ) ∣ = 1 |K(s)G(s)| = 2 \cdot K \cdot \left| \frac{s + 3}{(s + 1)(s + 2)(s + 6.9)} \right| = 1 ∣K(s)G(s)∣=2⋅K⋅ (s+1)(s+2)(s+6.9)s+3 =1计算可得 K = 1 2 ⋅ 3.61 × 3.16 × 4.92 3 = 9.35 K = \frac{1}{2} \cdot \frac{3.61 \times 3.16 \times 4.92}{3} = 9.35 K=21⋅33.61×3.16×4.92=9.35(原文公式可能存在排版误差,此处按合理逻辑修正)。
因此,选取补偿器为:
K ( s ) = 9.35 ⋅ s + 3 s + 6.9 K(s) = 9.35 \cdot \frac{s + 3}{s + 6.9} K(s)=9.35⋅s+6.9s+3闭环传递函数为:
T ( s ) = Y R ( s ) = 18.7 ⋅ s + 3 s 3 + 9.9 s 2 + 41.4 s + 69.9 T(s) = \frac{Y}{R}(s) = 18.7 \cdot \frac{s + 3}{s^3 + 9.9s^2 + 41.4s + 69.9} T(s)=RY(s)=18.7⋅s3+9.9s2+41.4s+69.9s+3
……
三种补偿的具体工作原理、实现方法及效果,已有大量资料进行了详细且清晰的介绍,此处不再赘述。
对三种补偿的理解
1. 概念
“超前”与“滞后”本质上描述的是控制系统的相角特性,相关补偿作用如下:
- 超前补偿:通过提供超前相角,直接改善系统动态性能;
- 滞后补偿:通过调整幅值特性,间接提升系统稳定性;
- 超前滞后补偿:融合前两者优势,同步优化系统性能与稳定性。
2. 生活场景类比
- 超前补偿:做事提前规划,例如提前购买车票,避免临时购票的慌乱,对应控制系统中“提前预判偏差,快速调整”;
- 滞后补偿:手机电量不足时需充电,等待充电的过程可视为一种“滞后”,通过等待补充能量,确保手机后续正常使用,对应控制系统中“通过适当延迟,平稳调整系统状态,提高稳定性”;
- 超前滞后补偿:出门旅行时,提前制定计划(超前部分),同时针对旅行中的突发情况(如天气变化、交通延误)制定应对方案(滞后部分),对应控制系统中“既快速响应偏差,又平稳调整状态,兼顾快速性和稳定性”。
3. 电路角度理解
(1)滞后补偿器(Lag Compensator)
滞后补偿器是一种电网络,当输入正弦信号时,输出正弦信号的相位滞后于输入信号。其在 s 域的电路结构如图所示

(2)超前补偿器(Lead Compensator)
超前补偿器是一种电网络,当输入正弦信号时,输出正弦信号的相位超前于输入信号。其在 s 域的电路结构如图所示

(3)超前滞后补偿器(Lag - Lead Compensator)
超前滞后补偿器是一种电网络,在某一频率区域产生相位滞后,在另一频率区域产生相位超前,是滞后补偿器和超前补偿器的组合。其在 s 域的电路结构如图所示

原文参考链接如下:
- Control Systems - Compensators
https://www.tutorialspoint.com/control_systems/control_systems_compensators.htm
正如部分答主提到的,从电感或电容的特性角度理解超前滞后特性具有合理性。
例如,在 RC 串联电路中,电容两端电压不能突变,电荷需逐渐积累才能形成电压,因此电流先于电压产生,即电流超前电压(电压滞后电流)。

发布于 2024-02-05 05:37
Charlie(20 人赞同)
- 超前补偿:从相角裕度角度出发,当系统相角裕度不足时,人为增加相角裕度,使系统达到稳定且满足性能要求的状态。
- 滞后补偿:从幅值穿越频率角度出发,利用滞后校正环节的幅频特性,降低幅值穿越频率,使新的幅值穿越频率对应的相位裕度增大。
- 超前滞后补偿:当单独使用超前补偿或滞后补偿无法满足系统性能要求时,采用的组合补偿方式,兼顾两种补偿的优势。
发布于 2016 - 01 - 01 15:33
工程应用 | 选型原则 / 设计工具 / 注意事项
-
补偿器选型原则
- 若系统主要问题是“响应慢、相位裕度不足”,且噪声干扰小,优先选择超前补偿器;
- 若系统主要问题是“稳态误差大、高频噪声强”,且对响应速度要求低,优先选择滞后补偿器;
- 若系统需同时优化“动态响应、稳态精度、抗噪声能力”,选择超前-滞后补偿器。
-
设计工具推荐
- 频域设计:优先使用 MATLAB 的
bode()、margin()函数绘制伯德图,辅助确定补偿器参数; - 时域验证:使用
step()函数仿真阶跃响应,验证超调量、上升时间等指标; - 工程实现:优先选择标准化传递函数(如本节中的 α \alpha α、 β \beta β 系数形式),降低硬件电路(如 RC 网络)的实现难度。
- 频域设计:优先使用 MATLAB 的
-
注意事项
- 超前补偿器需避免高频噪声放大,设计时可通过限制 α \alpha α(通常 α < 10 \alpha < 10 α<10)控制高频增益;
- 滞后补偿器需避免中频段相位损耗,设计时需确保 ω z 2 < ω c / 5 \omega_{z2} < \omega_c / 5 ωz2<ωc/5;
- 超前-滞后补偿器需合理分配超前与滞后部分的频率范围,避免二者在中频段产生相互干扰。
via:
- 如何理解超前补偿、滞后补偿、超前滞后补偿? - 知乎
https://www.zhihu.com/question/38726841
References:
[1] Franklin G F, Powell J D, Emami-Naeini A. Feedback Control of Dynamic Systems (7th Edition)[M]. Pearson, 2014.
[2] 胡寿松. 自动控制原理(第7版)[M]. 科学出版社, 2019.

4350

被折叠的 条评论
为什么被折叠?



