阿里千问团队发布最新Qwen3大语言模型,旗舰模型在多项基准测试中表现优异。本文详细解析Qwen3模型架构,包括输入处理、Transformer块、GQA注意力机制、前馈网络和RMSNorm归一化,并提供完整PyTorch代码实现,帮助开发者从零理解并构建大模型,适合初学者和进阶开发者收藏学习。
引言
2025年4月29号,阿里千问团队发表了Qwen3模型,这是 Qwen 系列大型语言模型的最新成员。他们的旗舰模型 Qwen3-235B-A22B 在代码、数学、通用能力等基准测试中,与 DeepSeek-R1、o1、o3-mini、Grok-3 和 Gemini-2.5-Pro 等顶级模型相比,表现出极具竞争力的结果。此外,小型 MoE 模型 Qwen3-30B-A3B 的激活参数数量是 QwQ-32B 的 10%,表现更胜一筹,甚至像 Qwen3-4B 这样的小模型也能匹敌 Qwen2.5-72B-Instruct 的性能。

Qwen3模型结构
1、输入处理:输入的文本首先被转换为token ID序列,通过嵌入层将token转换为向量表示。
2、核心Transformer块:Qwen3由多个相同的Transformer块堆叠而成,每个块包含以下组件:
3、自注意力机制:使用多头自注意力机制,能够捕捉输入序列中各个token之间的关系。
4、归一化层:采用RMSNorm替代LayerNorm,在每个自注意力层和前馈网络之后进行归一化处理。
5、前馈网络:使用GEGLU或SwiGLU激活函数,增强模型的表达能力。
输出层:通过RMSNorm后,使用QWenLMHead生成下一个token的预测概率分布。
模型结构如下图所示:

整体实现
根据上面的五个组成部分,我们分别来进行一个实现。
1、数据输入处理,通过加载tokenizer,将输入的input text转为token_ids
device = torch.device("gpu") # 这里根据实际情况选择,可以是cpu,也可以是gpu
接下来我们进行第二步,Qwen3网络结构整体编码。
2、Qwen3网络结构编码
classQwen3Model(nn.Module):
这部分代码就是整个Qwen3 核心所在:
第一步:完成了了input text 到token ids的过程;
第二步(看结构图): Token embedding layer ,通过nn.embedding将token ids 转为embedding
第三步(看图,红色块): Transfomer Block,通过trf_blocks封装包含RMSNorm、GQA、FFN
第四步:Final RMSNorm , 对应代码中的 self.final_norm(x)
最后:Linear output layer, 对应 self.out_head
3、Transformer Block 编码
classTransformerBlock(nn.Module):
这部分代码是Transformer Block核心(看途中红色或蓝色框):
第一步: self.norm1(x) 参数归一化,后面紧跟着GQA
第二步:GQA,GQA是什么结构,可以参考下图
第三步:shortcut connnection
第四步: self.norm2(x)
第五步:self.ff(x)
第六步:shortcut connnection

4、GQA的编码
很多模型都会在这个基础去创新,比如最开始的MHA–>GQA–>MQA–>MLA,通过上图可以看到GQA核心是将KV进行分组,多个Q给到分组的KV(核心参数:num_kv_groups),从而减少计算和内存开销。
classGroupedQueryAttention(nn.Module):
这里整个代码就是GQA的实现逻辑,核心还是QKV分组、维度对齐、计算的过程。接下来我们看看FFN
5、FFN实现
classFeedForward(nn.Module):
FFN实现相对简单,一个多层感知机,通过三个线性层以及激活函数完成,
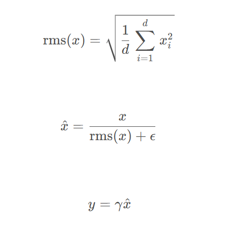
6、RMSNorm归一化
归一化是为了让参数在某一个范围内,以致模型训练过程比较稳定
classRMSNorm(nn.Module):
具体公式可参考:

整体的一个Qwen3的网络结构代码完成了,至于更深层次的一些隐藏原理和训练过程,后续可以一起探讨。
零基础如何高效学习大模型?
为了帮助大家打破壁垒,快速了解大模型核心技术原理,学习相关大模型技术。从原理出发真正入局大模型。在这里我和MoPaaS魔泊云联合梳理打造了系统大模型学习脉络,这份 LLM大模型资料 分享出来:包括LLM大模型书籍、640套大模型行业报告、LLM大模型学习视频、LLM大模型学习路线、开源大模型学习教程等, 😝有需要的小伙伴,可以 扫描下方二维码免费领取🆓**⬇️⬇️⬇️

【大模型全套视频教程】
教程从当下的市场现状和趋势出发,分析各个岗位人才需求,带你充分了解自身情况,get 到适合自己的 AI 大模型入门学习路线。
从基础的 prompt 工程入手,逐步深入到 Agents,其中更是详细介绍了 LLM 最重要的编程框架 LangChain。最后把微调与预训练进行了对比介绍与分析。
同时课程详细介绍了AI大模型技能图谱知识树,规划属于你自己的大模型学习路线,并且专门提前收集了大家对大模型常见的疑问,集中解答所有疑惑!

深耕 AI 领域技术专家带你快速入门大模型
跟着行业技术专家免费学习的机会非常难得,相信跟着学习下来能够对大模型有更加深刻的认知和理解,也能真正利用起大模型,从而“弯道超车”,实现职业跃迁!

【精选AI大模型权威PDF书籍/教程】
精心筛选的经典与前沿并重的电子书和教程合集,包含《深度学习》等一百多本书籍和讲义精要等材料。绝对是深入理解理论、夯实基础的不二之选。

【AI 大模型面试题 】
除了 AI 入门课程,我还给大家准备了非常全面的**「AI 大模型面试题」,**包括字节、腾讯等一线大厂的 AI 岗面经分享、LLMs、Transformer、RAG 面试真题等,帮你在面试大模型工作中更快一步。
【大厂 AI 岗位面经分享(92份)】

【AI 大模型面试真题(102 道)】

【LLMs 面试真题(97 道)】

【640套 AI 大模型行业研究报告】

【AI大模型完整版学习路线图(2025版)】
明确学习方向,2025年 AI 要学什么,这一张图就够了!

👇👇点击下方卡片链接免费领取全部内容👇👇

抓住AI浪潮,重塑职业未来!
科技行业正处于深刻变革之中。英特尔等巨头近期进行结构性调整,缩减部分传统岗位,同时AI相关技术岗位(尤其是大模型方向)需求激增,已成为不争的事实。具备相关技能的人才在就业市场上正变得炙手可热。
行业趋势洞察:
- 转型加速: 传统IT岗位面临转型压力,拥抱AI技术成为关键。
- 人才争夺战: 拥有3-5年经验、扎实AI技术功底和真实项目经验的工程师,在头部大厂及明星AI企业中的薪资竞争力显著提升(部分核心岗位可达较高水平)。
- 门槛提高: “具备AI项目实操经验”正迅速成为简历筛选的重要标准,预计未来1-2年将成为普遍门槛。
与其观望,不如行动!
面对变革,主动学习、提升技能才是应对之道。掌握AI大模型核心原理、主流应用技术与项目实战经验,是抓住时代机遇、实现职业跃迁的关键一步。

01 为什么分享这份学习资料?
当前,我国在AI大模型领域的高质量人才供给仍显不足,行业亟需更多有志于此的专业力量加入。
因此,我们决定将这份精心整理的AI大模型学习资料,无偿分享给每一位真心渴望进入这个领域、愿意投入学习的伙伴!
我们希望能为你的学习之路提供一份助力。如果在学习过程中遇到技术问题,也欢迎交流探讨,我们乐于分享所知。
*02 这份资料的价值在哪里?*
专业背书,系统构建:
-
本资料由我与MoPaaS魔泊云的鲁为民博士共同整理。鲁博士拥有清华大学学士和美国加州理工学院博士学位,在人工智能领域造诣深厚:
-
- 在IEEE Transactions等顶级学术期刊及国际会议发表论文超过50篇。
- 拥有多项中美发明专利。
- 荣获吴文俊人工智能科学技术奖(中国人工智能领域重要奖项)。
-
目前,我有幸与鲁博士共同进行人工智能相关研究。

内容实用,循序渐进:
-
资料体系化覆盖了从基础概念入门到核心技术进阶的知识点。
-
包含丰富的视频教程与实战项目案例,强调动手实践能力。
-
无论你是初探AI领域的新手,还是已有一定技术基础希望深入大模型的学习者,这份资料都能为你提供系统性的学习路径和宝贵的实践参考,助力你提升技术能力,向大模型相关岗位转型发展。



抓住机遇,开启你的AI学习之旅!

8620

被折叠的 条评论
为什么被折叠?



