✅作者简介:热爱科研的Matlab仿真开发者,擅长数据处理、建模仿真、程序设计、完整代码获取、论文复现及科研仿真。
🍎 往期回顾关注个人主页:Matlab科研工作室
🍊个人信条:格物致知,完整Matlab代码获取及仿真咨询内容私信。
🔥 内容介绍
一、引言:航空发动机 RUL 预测 —— 从 “被动维修” 到 “预测性维护” 的核心技术
航空发动机作为航空器的 “心脏”,其运行状态直接决定飞行安全与运营成本。传统维修模式依赖固定周期或故障后维修,易导致 “过度维护”(增加成本)或 “维护不足”(引发安全隐患)。剩余寿命(Remaining Useful Life, RUL)预测通过分析发动机全生命周期数据,提前预判故障前的可用寿命,成为航空业 “预测性维护” 体系的核心支撑。
航空发动机运行过程中,多传感器(如温度、压力、振动、转速传感器)会持续采集时序数据,这些数据隐含着发动机从 “健康” 到 “退化” 再到 “故障” 的渐进式变化规律。传统线性模型(如 ARIMA)难以捕捉非线性退化特征,而 CNN(卷积神经网络)虽以空间特征提取见长,但通过 1D 卷积改造后,可高效捕捉时序数据中的局部退化模式(如传感器信号的突变、波动增强),为 RUL 预测提供精准的技术路径。本文将以 1D-CNN 为核心,结合 NASA CMAPSS 工业数据集,完整拆解航空发动机 RUL 预测的技术流程与工程逻辑。
二、核心技术解析:1D-CNN 适配航空发动机 RUL 预测的底层逻辑
(一)航空发动机数据特性与 RUL 预测难点
1. 数据核心特征
- 多源时序性:单台发动机通常搭载 20 + 传感器(如低压涡轮温度、高压转子转速、燃油流量等),数据以 “时间步 - 传感器” 二维矩阵形式存在,需同时处理 “时间维度的退化趋势” 与 “传感器维度的关联关系”。
- 退化渐进性:发动机退化并非突变,而是从 “健康状态”(传感器信号稳定)→“初期退化”(局部信号波动)→“加速退化”(多传感器信号异常联动)→“故障” 的渐进过程,需捕捉微弱的早期退化特征。
- 噪声干扰性:飞行过程中气流扰动、传感器误差会导致数据包含大量噪声,易掩盖真实退化信号,需通过预处理降低干扰。
2. 传统方法的局限性
- 基于物理模型的方法(如故障机理分析)需深入掌握发动机复杂结构原理,建模难度大、泛化性差;
- 传统机器学习方法(如 SVM、随机森林)难以处理长时序数据的动态依赖,对早期退化特征的敏感性不足。
(二)1D-CNN 的时序特征提取优势
1. 1D-CNN 与传统 2D-CNN 的差异
传统 2D-CNN 通过 “高 × 宽 × 通道” 的 3D 卷积核提取图像空间特征,而 1D-CNN 将卷积核压缩为 “时间步长 × 传感器通道” 的 2D 卷积核,专门适配 “时间序列” 数据:
- 卷积方向仅沿 “时间轴” 滑动,聚焦不同时间窗口内的局部时序模式(如连续 10 个时间步的传感器信号波动);
- 传感器维度作为 “特征通道”,可同步捕捉多传感器间的关联退化信息(如 “高压涡轮温度升高” 与 “低压转子振动增强” 的联动)。
2. 1D-CNN 捕捉退化特征的关键机制
- 局部感知野:通过设置合理的卷积核大小(如时间步长 = 10),可覆盖 “短期时间窗口” 内的信号变化,精准捕捉早期退化的局部波动(如某传感器在第 50-60 时间步的微小均值偏移);
- 参数共享:同一卷积核在不同时间步复用,避免因时序数据过长导致参数爆炸,同时强化对 “同类退化模式” 的泛化识别(如不同发动机的 “初期退化” 均表现为特定传感器的低频波动);
- 池化降维:通过 1D 最大池化(Max Pooling)或平均池化(Average Pooling),保留局部窗口内的关键特征(如最大波动值、均值趋势),过滤噪声干扰,提升模型鲁棒性。
3. 1D-CNN 的 RUL 预测适配改造
为进一步提升对 “长期退化趋势” 的捕捉能力,需在基础 1D-CNN 架构中增加关键模块:
- 多尺度卷积层:设置不同大小的卷积核(如 3、5、7 个时间步),分别捕捉 “短期波动”“中期趋势”“长期关联”,避免单一尺度导致的特征遗漏;
- 残差连接(Residual Connection):解决深层 1D-CNN 的梯度消失问题,确保早期退化特征能传递至后续层,提升模型对微弱信号的敏感性;
- 全局平均池化(Global Average Pooling):替代全连接层的部分参数,减少过拟合,同时将时序特征转化为固定维度的 “退化状态向量”,直接映射至 RUL 预测值。
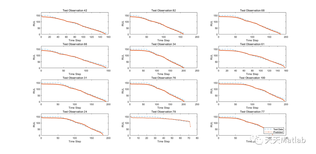
⛳️ 运行结果

📣 部分代码
🔗 参考文献
🎈 部分理论引用网络文献,若有侵权联系博主删除
👇 关注我领取海量matlab电子书和数学建模资料
🏆团队擅长辅导定制多种科研领域MATLAB仿真,助力科研梦:
🌟 各类智能优化算法改进及应用
生产调度、经济调度、装配线调度、充电优化、车间调度、发车优化、水库调度、三维装箱、物流选址、货位优化、公交排班优化、充电桩布局优化、车间布局优化、集装箱船配载优化、水泵组合优化、解医疗资源分配优化、设施布局优化、可视域基站和无人机选址优化、背包问题、 风电场布局、时隙分配优化、 最佳分布式发电单元分配、多阶段管道维修、 工厂-中心-需求点三级选址问题、 应急生活物质配送中心选址、 基站选址、 道路灯柱布置、 枢纽节点部署、 输电线路台风监测装置、 集装箱调度、 机组优化、 投资优化组合、云服务器组合优化、 天线线性阵列分布优化、CVRP问题、VRPPD问题、多中心VRP问题、多层网络的VRP问题、多中心多车型的VRP问题、 动态VRP问题、双层车辆路径规划(2E-VRP)、充电车辆路径规划(EVRP)、油电混合车辆路径规划、混合流水车间问题、 订单拆分调度问题、 公交车的调度排班优化问题、航班摆渡车辆调度问题、选址路径规划问题、港口调度、港口岸桥调度、停机位分配、机场航班调度、泄漏源定位、冷链、时间窗、多车场等、选址优化、港口岸桥调度优化、交通阻抗、重分配、停机位分配、机场航班调度、通信上传下载分配优化
🌟 机器学习和深度学习时序、回归、分类、聚类和降维
2.1 bp时序、回归预测和分类
2.2 ENS声神经网络时序、回归预测和分类
2.3 SVM/CNN-SVM/LSSVM/RVM支持向量机系列时序、回归预测和分类
2.4 CNN|TCN|GCN卷积神经网络系列时序、回归预测和分类
2.5 ELM/KELM/RELM/DELM极限学习机系列时序、回归预测和分类
2.6 GRU/Bi-GRU/CNN-GRU/CNN-BiGRU门控神经网络时序、回归预测和分类
2.7 ELMAN递归神经网络时序、回归\预测和分类
2.8 LSTM/BiLSTM/CNN-LSTM/CNN-BiLSTM/长短记忆神经网络系列时序、回归预测和分类
2.9 RBF径向基神经网络时序、回归预测和分类
2.10 DBN深度置信网络时序、回归预测和分类
2.11 FNN模糊神经网络时序、回归预测
2.12 RF随机森林时序、回归预测和分类
2.13 BLS宽度学习时序、回归预测和分类
2.14 PNN脉冲神经网络分类
2.15 模糊小波神经网络预测和分类
2.16 时序、回归预测和分类
2.17 时序、回归预测预测和分类
2.18 XGBOOST集成学习时序、回归预测预测和分类
2.19 Transform各类组合时序、回归预测预测和分类
方向涵盖风电预测、光伏预测、电池寿命预测、辐射源识别、交通流预测、负荷预测、股价预测、PM2.5浓度预测、电池健康状态预测、用电量预测、水体光学参数反演、NLOS信号识别、地铁停车精准预测、变压器故障诊断
🌟图像处理方面
图像识别、图像分割、图像检测、图像隐藏、图像配准、图像拼接、图像融合、图像增强、图像压缩感知
🌟 路径规划方面
旅行商问题(TSP)、车辆路径问题(VRP、MVRP、CVRP、VRPTW等)、无人机三维路径规划、无人机协同、无人机编队、机器人路径规划、栅格地图路径规划、多式联运运输问题、 充电车辆路径规划(EVRP)、 双层车辆路径规划(2E-VRP)、 油电混合车辆路径规划、 船舶航迹规划、 全路径规划规划、 仓储巡逻、公交车时间调度、水库调度优化、多式联运优化
🌟 无人机应用方面
无人机路径规划、无人机控制、无人机编队、无人机协同、无人机任务分配、无人机安全通信轨迹在线优化、车辆协同无人机路径规划、
🌟 通信方面
传感器部署优化、通信协议优化、路由优化、目标定位优化、Dv-Hop定位优化、Leach协议优化、WSN覆盖优化、组播优化、RSSI定位优化、水声通信、通信上传下载分配
🌟 信号处理方面
信号识别、信号加密、信号去噪、信号增强、雷达信号处理、信号水印嵌入提取、肌电信号、脑电信号、信号配时优化、心电信号、DOA估计、编码译码、变分模态分解、管道泄漏、滤波器、数字信号处理+传输+分析+去噪、数字信号调制、误码率、信号估计、DTMF、信号检测
🌟电力系统方面
微电网优化、无功优化、配电网重构、储能配置、有序充电、MPPT优化、家庭用电、电/冷/热负荷预测、电力设备故障诊断、电池管理系统(BMS)SOC/SOH估算(粒子滤波/卡尔曼滤波)、 多目标优化在电力系统调度中的应用、光伏MPPT控制算法改进(扰动观察法/电导增量法)、电动汽车充放电优化、微电网日前日内优化、储能优化、家庭用电优化、供应链优化
🌟 元胞自动机方面
交通流 人群疏散 病毒扩散 晶体生长 金属腐蚀
🌟 雷达方面
卡尔曼滤波跟踪、航迹关联、航迹融合、SOC估计、阵列优化、NLOS识别
🌟 车间调度
零等待流水车间调度问题NWFSP 、 置换流水车间调度问题PFSP、 混合流水车间调度问题HFSP 、零空闲流水车间调度问题NIFSP、分布式置换流水车间调度问题 DPFSP、阻塞流水车间调度问题BFSP
👇
221

被折叠的 条评论
为什么被折叠?



