✅作者简介:热爱数据处理、数学建模、算法创新的Matlab仿真开发者。
🍎更多Matlab代码及仿真咨询内容点击 🔗:Matlab科研工作室
🍊个人信条:格物致知。
🔥 内容介绍
无人机技术近年来发展迅速,其在各个领域的应用日益广泛。然而,如何在复杂环境中实现无人机的自主导航和精确定位仍然是一个具有挑战性的课题。同步定位与建图 (Simultaneous Localization and Mapping, SLAM) 技术为解决这一问题提供了有效的途径,它能够让无人机在未知环境中同时构建环境地图并确定自身位置。本文将探讨基于扩展卡尔曼滤波器 (Extended Kalman Filter, EKF) 实现三维 SLAM,并结合线性二次型调节器 (Linear Quadratic Regulator, LQR) 进行轨迹控制的方案,并给出相应的 MATLAB 代码实现框架。
一、系统模型建立
实现基于 EKF 的三维 SLAM,首先需要建立无人机运动模型和观测模型。
1.1 运动模型: 我们采用常见的基于 IMU (Inertial Measurement Unit) 和 GPS 的运动模型。IMU 提供加速度和角速度信息,但存在累积误差;GPS 提供位置信息,但精度受环境影响较大。因此,我们结合两者信息,利用 EKF 融合数据,提高定位精度。运动模型可表示为:
x_k = f(x_{k-1}, u_k, w_k)
其中,x_k 为 k 时刻的状态向量,包含无人机的位置 (x, y, z),姿态 (roll, pitch, yaw),速度 (vx, vy, vz),以及 IMU 偏差等;u_k 为控制输入,例如电机转速;w_k 为过程噪声,体现了模型的不确定性;f(.) 为状态转移函数,通常为非线性函数,需要进行线性化处理以便于 EKF 使用。
1.2 观测模型: 观测模型描述了传感器测量值与系统状态之间的关系。常用的传感器包括 IMU、GPS 和激光雷达 (LiDAR) 或视觉传感器。例如,激光雷达可以提供点云数据,用于构建环境地图并进行定位。观测模型可表示为:
z_k = h(x_k, v_k)
其中,z_k 为 k 时刻的观测向量,包含传感器测量值;v_k 为观测噪声;h(.) 为观测函数,同样通常为非线性函数,需要进行线性化处理。
二、扩展卡尔曼滤波器 (EKF)
EKF 通过对非线性系统进行线性化来近似高斯分布,实现状态估计。其核心步骤包括:
2.1 预估步骤: 根据运动模型预测下一时刻的状态和协方差。
x_k^- = f(x_{k-1}, u_k, 0)
P_k^- = F_k P_{k-1} F_k^T + Q_k
其中,x_k^- 和 P_k^- 分别为预估的状态和协方差;F_k 为状态转移函数在 x_{k-1} 处的雅可比矩阵;Q_k 为过程噪声协方差矩阵。
2.2 更新步骤: 结合观测信息修正状态估计。
K_k = P_k^- H_k^T (H_k P_k^- H_k^T + R_k)^-1
x_k = x_k^- + K_k (z_k - h(x_k^-, 0))
P_k = (I - K_k H_k) P_k^-
其中,K_k 为卡尔曼增益;H_k 为观测函数在 x_k^- 处的雅可比矩阵;R_k 为观测噪声协方差矩阵。
三、线性二次型调节器 (LQR)
LQR 用于设计无人机的轨迹控制策略,实现对预定轨迹的跟踪。LQR 通过求解一个 Riccati 方程,得到最优控制增益,使得系统状态能够快速、稳定地收敛到目标轨迹。
假设无人机动力学模型可线性化为:
x_dot = Ax + Bu
LQR 控制器则可表示为:
u = -Kx
其中,A 和 B 为系统矩阵;K 为 LQR 增益矩阵,可以通过求解 Riccati 方程获得。
四、MATLAB 代码实现框架
% ...
% 3. 读取激光雷达数据或图像数据
% ...
% 4. EKF更新步骤
% ...
% 5. LQR轨迹控制
% 计算目标轨迹与当前位置的偏差
% ...
% 计算控制输入u
% ...
% 6. 发送控制指令给无人机
% ...
% 7. 更新地图
% ...
end
具体的代码实现需要根据所使用的传感器和无人机模型进行调整。 需要特别注意的是雅可比矩阵的计算以及过程噪声和观测噪声协方差矩阵的选取,这直接影响了 EKF 的滤波效果。 此外,地图构建部分需要根据所用传感器选择合适的算法,例如基于点云匹配的建图方法。
五、结论
本文阐述了基于 EKF 和 LQR 实现无人机三维 SLAM 和轨迹控制的方案,并给出了相应的 MATLAB 代码框架。 该方案能够有效地融合多传感器数据,提高定位精度,并实现对预定轨迹的精确跟踪。然而,实际应用中仍需考虑诸多因素,例如传感器噪声、模型误差以及环境干扰等,需要进行进一步的优化和改进。 未来的研究方向可以包括鲁棒性更强的滤波算法、更精细的地图构建方法以及更智能的轨迹规划算法等。
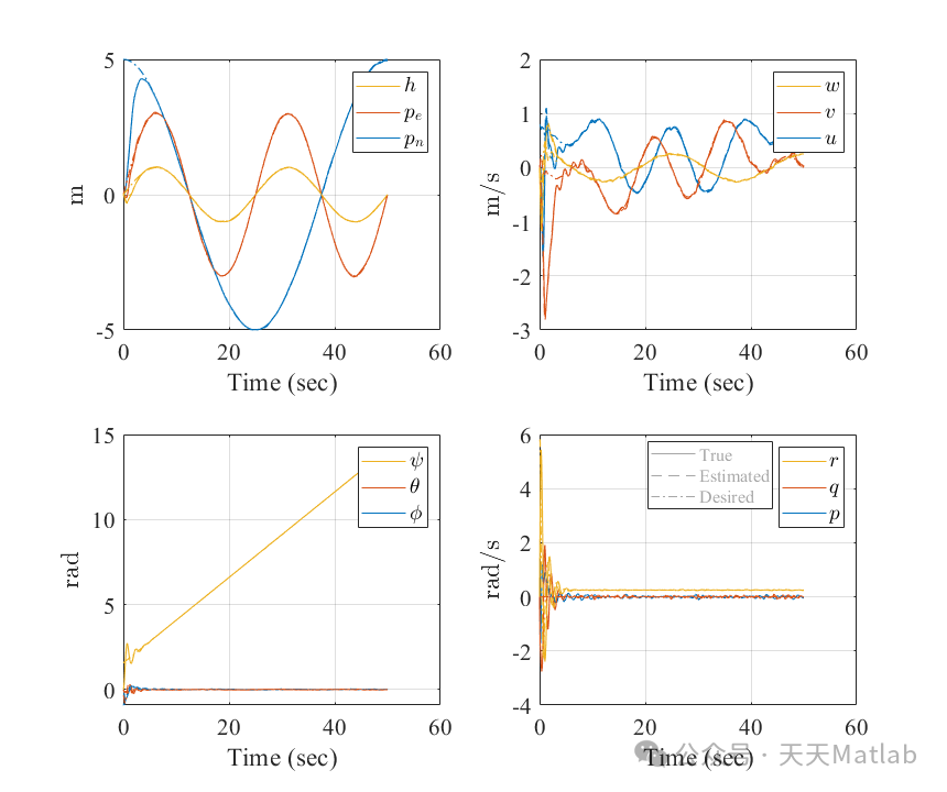
⛳️ 运行结果




🔗 参考文献
Rauniyar, S.; Bhalla, S.; Choi, D.; Kim, D. EKF-SLAM for Quadcopter Using Differential Flatness-Based LQR Control. Electronics 2023, 12, 1113. EKF-SLAM for Quadcopter Using Differential Flatness-Based LQR Control
🎈 部分理论引用网络文献,若有侵权联系博主删除
博客擅长领域:
🌈 各类智能优化算法改进及应用
生产调度、经济调度、装配线调度、充电优化、车间调度、发车优化、水库调度、三维装箱、物流选址、货位优化、公交排班优化、充电桩布局优化、车间布局优化、集装箱船配载优化、水泵组合优化、解医疗资源分配优化、设施布局优化、可视域基站和无人机选址优化、背包问题、 风电场布局、时隙分配优化、 最佳分布式发电单元分配、多阶段管道维修、 工厂-中心-需求点三级选址问题、 应急生活物质配送中心选址、 基站选址、 道路灯柱布置、 枢纽节点部署、 输电线路台风监测装置、 集装箱调度、 机组优化、 投资优化组合、云服务器组合优化、 天线线性阵列分布优化、CVRP问题、VRPPD问题、多中心VRP问题、多层网络的VRP问题、多中心多车型的VRP问题、 动态VRP问题、双层车辆路径规划(2E-VRP)、充电车辆路径规划(EVRP)、油电混合车辆路径规划、混合流水车间问题、 订单拆分调度问题、 公交车的调度排班优化问题、航班摆渡车辆调度问题、选址路径规划问题、港口调度、港口岸桥调度、停机位分配、机场航班调度、泄漏源定位
🌈 机器学习和深度学习时序、回归、分类、聚类和降维
2.1 bp时序、回归预测和分类
2.2 ENS声神经网络时序、回归预测和分类
2.3 SVM/CNN-SVM/LSSVM/RVM支持向量机系列时序、回归预测和分类
2.4 CNN|TCN|GCN卷积神经网络系列时序、回归预测和分类
2.5 ELM/KELM/RELM/DELM极限学习机系列时序、回归预测和分类
2.6 GRU/Bi-GRU/CNN-GRU/CNN-BiGRU门控神经网络时序、回归预测和分类
2.7 ELMAN递归神经网络时序、回归\预测和分类
2.8 LSTM/BiLSTM/CNN-LSTM/CNN-BiLSTM/长短记忆神经网络系列时序、回归预测和分类
2.9 RBF径向基神经网络时序、回归预测和分类
2.10 DBN深度置信网络时序、回归预测和分类
2.11 FNN模糊神经网络时序、回归预测
2.12 RF随机森林时序、回归预测和分类
2.13 BLS宽度学习时序、回归预测和分类
2.14 PNN脉冲神经网络分类
2.15 模糊小波神经网络预测和分类
2.16 时序、回归预测和分类
2.17 时序、回归预测预测和分类
2.18 XGBOOST集成学习时序、回归预测预测和分类
2.19 Transform各类组合时序、回归预测预测和分类
方向涵盖风电预测、光伏预测、电池寿命预测、辐射源识别、交通流预测、负荷预测、股价预测、PM2.5浓度预测、电池健康状态预测、用电量预测、水体光学参数反演、NLOS信号识别、地铁停车精准预测、变压器故障诊断
🌈图像处理方面
图像识别、图像分割、图像检测、图像隐藏、图像配准、图像拼接、图像融合、图像增强、图像压缩感知
🌈 路径规划方面
旅行商问题(TSP)、车辆路径问题(VRP、MVRP、CVRP、VRPTW等)、无人机三维路径规划、无人机协同、无人机编队、机器人路径规划、栅格地图路径规划、多式联运运输问题、 充电车辆路径规划(EVRP)、 双层车辆路径规划(2E-VRP)、 油电混合车辆路径规划、 船舶航迹规划、 全路径规划规划、 仓储巡逻
🌈 无人机应用方面
无人机路径规划、无人机控制、无人机编队、无人机协同、无人机任务分配、无人机安全通信轨迹在线优化、车辆协同无人机路径规划
🌈 通信方面
传感器部署优化、通信协议优化、路由优化、目标定位优化、Dv-Hop定位优化、Leach协议优化、WSN覆盖优化、组播优化、RSSI定位优化、水声通信、通信上传下载分配
🌈 信号处理方面
信号识别、信号加密、信号去噪、信号增强、雷达信号处理、信号水印嵌入提取、肌电信号、脑电信号、信号配时优化、心电信号、DOA估计、编码译码、变分模态分解、管道泄漏、滤波器、数字信号处理+传输+分析+去噪、数字信号调制、误码率、信号估计、DTMF、信号检测
🌈电力系统方面
微电网优化、无功优化、配电网重构、储能配置、有序充电、MPPT优化、家庭用电
🌈 元胞自动机方面
交通流 人群疏散 病毒扩散 晶体生长 金属腐蚀
🌈 雷达方面
卡尔曼滤波跟踪、航迹关联、航迹融合、SOC估计、阵列优化、NLOS识别
🌈 车间调度
零等待流水车间调度问题NWFSP 、 置换流水车间调度问题PFSP、 混合流水车间调度问题HFSP 、零空闲流水车间调度问题NIFSP、分布式置换流水车间调度问题 DPFSP、阻塞流水车间调度问题BFSP
👇
基于EKF和LQR的无人机三维SLAM及轨迹控制
489

被折叠的 条评论
为什么被折叠?



