✅作者简介:热爱科研的Matlab仿真开发者,擅长数据处理、建模仿真、程序设计、完整代码获取、论文复现及科研仿真。
🍎 往期回顾关注个人主页:Matlab科研工作室
🍊个人信条:格物致知,完整Matlab代码及仿真咨询内容私信。
🔥 内容介绍
在众多领域,如自动驾驶、机器人导航、航空航天等,对目标轨迹进行准确跟踪至关重要。然而,由于测量设备存在噪声、环境干扰等因素,直接获取的目标轨迹数据往往不准确。卡尔曼滤波器作为一种高效的递归滤波器,能够在存在噪声的情况下,对动态系统的状态进行最优估计,从而实现对目标轨迹的有效跟踪。
卡尔曼滤波器的基本原理
卡尔曼滤波器主要包括预测和更新两个步骤。预测步骤是根据系统的动态模型,利用上一时刻的状态估计值,预测当前时刻的状态估计值和误差协方差矩阵。更新步骤则是结合当前时刻的测量值,对预测的状态估计值进行修正,得到更准确的当前时刻状态估计值和更新后的误差协方差矩阵。
其核心公式围绕状态预测、误差协方差预测、卡尔曼增益计算、状态更新和误差协方差更新展开,通过不断的迭代,实现对目标状态的动态估计。
基于卡尔曼滤波器的目标轨迹跟踪实现


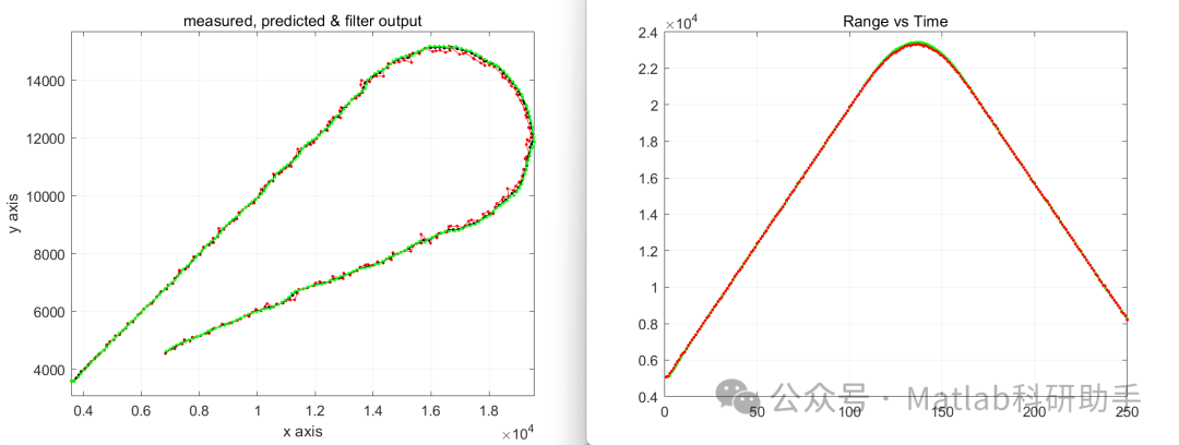
滤波器输出与原始轨迹的比较
数据准备
假设通过某种测量手段获取了目标的原始轨迹数据,该数据包含噪声。同时,利用上述卡尔曼滤波器对目标轨迹进行跟踪,得到滤波器输出的轨迹数据。

定性比较
绘制原始轨迹和滤波器输出轨迹的曲线图。从图中可以直观地观察到,原始轨迹由于噪声的存在,呈现出较为杂乱的波动;而卡尔曼滤波器输出的轨迹则相对平滑,能够更好地反映目标的真实运动趋势。
例如,在目标做匀速直线运动的情况下,原始轨迹可能在真实轨迹附近上下波动,而滤波器输出的轨迹则更接近一条直线,跟随性较好。
结论
卡尔曼滤波器通过对系统状态的不断预测和更新,能够有效滤除测量噪声,得到平滑且准确的目标轨迹。通过定量的误差分析和定性的图形比较可以看出,滤波器输出的轨迹相比原始轨迹,具有更高的精度和稳定性,能够更好地满足实际应用中对目标轨迹跟踪的要求。
在实际应用中,需要根据具体的系统特性和噪声情况,合理选择系统模型和参数,以达到最佳的跟踪效果。同时,卡尔曼滤波器也可以扩展到更复杂的系统模型,如目标做加速运动等情况,具有较强的适应性和灵活性。
⛳️ 运行结果



🔗 参考文献
[1] 谭菊.基于Kalman滤波的目标轨迹预测[J].重庆文理学院学报(自然科学版), 2009.DOI:JournalArticle/5af44b11c095d718d81812f8.
[2] 张长春,黄英,杨刚.卡尔曼滤波在跟踪运动目标中的应用及仿真[J].现代电子技术, 2009, 32(20):3.DOI:10.3969/j.issn.1004-373X.2009.20.018.
[3] 窦永梅.基于粒子群算法和卡尔曼滤波的运动目标跟踪算法[D].太原理工大学[2025-08-06].DOI:10.7666/d.d198570.
📣 部分代码
🎈 部分理论引用网络文献,若有侵权联系博主删除
👇 关注我领取海量matlab电子书和数学建模资料
🏆团队擅长辅导定制多种科研领域MATLAB仿真,助力科研梦:
🌈 各类智能优化算法改进及应用
生产调度、经济调度、装配线调度、充电优化、车间调度、发车优化、水库调度、三维装箱、物流选址、货位优化、公交排班优化、充电桩布局优化、车间布局优化、集装箱船配载优化、水泵组合优化、解医疗资源分配优化、设施布局优化、可视域基站和无人机选址优化、背包问题、 风电场布局、时隙分配优化、 最佳分布式发电单元分配、多阶段管道维修、 工厂-中心-需求点三级选址问题、 应急生活物质配送中心选址、 基站选址、 道路灯柱布置、 枢纽节点部署、 输电线路台风监测装置、 集装箱调度、 机组优化、 投资优化组合、云服务器组合优化、 天线线性阵列分布优化、CVRP问题、VRPPD问题、多中心VRP问题、多层网络的VRP问题、多中心多车型的VRP问题、 动态VRP问题、双层车辆路径规划(2E-VRP)、充电车辆路径规划(EVRP)、油电混合车辆路径规划、混合流水车间问题、 订单拆分调度问题、 公交车的调度排班优化问题、航班摆渡车辆调度问题、选址路径规划问题、港口调度、港口岸桥调度、停机位分配、机场航班调度、泄漏源定位
🌈 机器学习和深度学习时序、回归、分类、聚类和降维
2.1 bp时序、回归预测和分类
2.2 ENS声神经网络时序、回归预测和分类
2.3 SVM/CNN-SVM/LSSVM/RVM支持向量机系列时序、回归预测和分类
2.4 CNN|TCN|GCN卷积神经网络系列时序、回归预测和分类
2.5 ELM/KELM/RELM/DELM极限学习机系列时序、回归预测和分类
2.6 GRU/Bi-GRU/CNN-GRU/CNN-BiGRU门控神经网络时序、回归预测和分类
2.7 ELMAN递归神经网络时序、回归\预测和分类
2.8 LSTM/BiLSTM/CNN-LSTM/CNN-BiLSTM/长短记忆神经网络系列时序、回归预测和分类
2.9 RBF径向基神经网络时序、回归预测和分类
2.10 DBN深度置信网络时序、回归预测和分类
2.11 FNN模糊神经网络时序、回归预测
2.12 RF随机森林时序、回归预测和分类
2.13 BLS宽度学习时序、回归预测和分类
2.14 PNN脉冲神经网络分类
2.15 模糊小波神经网络预测和分类
2.16 时序、回归预测和分类
2.17 时序、回归预测预测和分类
2.18 XGBOOST集成学习时序、回归预测预测和分类
2.19 Transform各类组合时序、回归预测预测和分类
方向涵盖风电预测、光伏预测、电池寿命预测、辐射源识别、交通流预测、负荷预测、股价预测、PM2.5浓度预测、电池健康状态预测、用电量预测、水体光学参数反演、NLOS信号识别、地铁停车精准预测、变压器故障诊断
🌈图像处理方面
图像识别、图像分割、图像检测、图像隐藏、图像配准、图像拼接、图像融合、图像增强、图像压缩感知
🌈 路径规划方面
旅行商问题(TSP)、车辆路径问题(VRP、MVRP、CVRP、VRPTW等)、无人机三维路径规划、无人机协同、无人机编队、机器人路径规划、栅格地图路径规划、多式联运运输问题、 充电车辆路径规划(EVRP)、 双层车辆路径规划(2E-VRP)、 油电混合车辆路径规划、 船舶航迹规划、 全路径规划规划、 仓储巡逻
🌈 无人机应用方面
无人机路径规划、无人机控制、无人机编队、无人机协同、无人机任务分配、无人机安全通信轨迹在线优化、车辆协同无人机路径规划
🌈 通信方面
传感器部署优化、通信协议优化、路由优化、目标定位优化、Dv-Hop定位优化、Leach协议优化、WSN覆盖优化、组播优化、RSSI定位优化、水声通信、通信上传下载分配
🌈 信号处理方面
信号识别、信号加密、信号去噪、信号增强、雷达信号处理、信号水印嵌入提取、肌电信号、脑电信号、信号配时优化、心电信号、DOA估计、编码译码、变分模态分解、管道泄漏、滤波器、数字信号处理+传输+分析+去噪、数字信号调制、误码率、信号估计、DTMF、信号检测
🌈电力系统方面
微电网优化、无功优化、配电网重构、储能配置、有序充电、MPPT优化、家庭用电
🌈 元胞自动机方面
交通流 人群疏散 病毒扩散 晶体生长 金属腐蚀
🌈 雷达方面
卡尔曼滤波跟踪、航迹关联、航迹融合、SOC估计、阵列优化、NLOS识别
🌈 车间调度
零等待流水车间调度问题NWFSP 、 置换流水车间调度问题PFSP、 混合流水车间调度问题HFSP 、零空闲流水车间调度问题NIFSP、分布式置换流水车间调度问题 DPFSP、阻塞流水车间调度问题BFSP
👇
7178

被折叠的 条评论
为什么被折叠?



