✅作者简介:热爱科研的Matlab仿真开发者,擅长数据处理、建模仿真、程序设计、完整代码获取、论文复现及科研仿真。
🍎 往期回顾关注个人主页:Matlab科研工作室
🍊个人信条:格物致知,完整Matlab代码及仿真咨询内容私信。
🔥 内容介绍
多旋翼无人机因其独特的垂直起降、空中悬停以及操作灵活等优势,在军事、民用等领域得到了广泛应用。然而,由于其飞行特点和应用场景的复杂性,对无人机的导航精度和可靠性提出了更高的要求。单一导航系统往往难以满足这些需求,易受外部环境干扰,且存在误差累积问题。因此,研究多源信息融合的组合导航系统对于提高多旋翼无人机的导航性能具有重要意义。
多源信息融合技术
多源信息融合是指将来自不同传感器或信息源的数据进行有效整合,以获得比单一信息源更全面、更准确、更可靠的信息。在多旋翼无人机组合导航系统中,常用的传感器包括全球导航卫星系统(GNSS)、惯性测量单元(IMU)、视觉传感器、磁力计、气压计等。每种传感器都有其自身的特点和局限性:
- GNSS:
提供高精度的位置和速度信息,但易受遮挡、多径效应和欺骗干扰等影响,在城市峡谷、室内等环境下性能下降甚至失效。
- IMU:
能够提供无人机的姿态、角速度和加速度信息,具有高动态响应和短期精度高的特点。但由于陀螺仪和加速度计存在漂移误差,长期工作会导致导航误差随时间累积。
- 视觉传感器:
通过图像处理技术提供相对位置和姿态信息,在GNSS信号受限区域具有良好表现,但易受光照、纹理等环境因素影响,且计算量较大。
- 磁力计:
提供航向信息,但易受周围磁场干扰。
- 气压计:
提供高度信息,但易受气压变化和气流影响。
多源信息融合算法
为了充分利用不同传感器的优势,弥补其不足,需要采用合适的多源信息融合算法。目前常用的融合算法主要有以下几种:
- 卡尔曼滤波(Kalman Filter, KF)及其扩展(Extended Kalman Filter, EKF, Unscented Kalman Filter, UKF):
卡尔曼滤波是一种基于状态空间模型的线性最优估计算法,能够对系统状态进行实时估计和预测。当系统模型为非线性时,可采用扩展卡尔曼滤波(EKF)或无迹卡尔曼滤波(UKF)。EKF通过泰勒级数展开对非线性系统进行线性化,UKF则采用确定性采样策略来近似非线性函数的均值和方差,相比EKF具有更高的精度和更强的鲁棒性。
- 粒子滤波(Particle Filter, PF):
粒子滤波是一种基于蒙特卡洛方法的非线性、非高斯状态估计算法。它通过一系列随机采样的粒子来逼近后验概率密度函数,适用于处理非线性、非高斯噪声的系统。然而,粒子滤波的计算量较大,且存在粒子退化问题。
- 互补滤波(Complementary Filter):
互补滤波是一种简单有效的融合算法,常用于融合IMU和GNSS数据。它利用IMU的高频响应和GNSS的低频准确性,通过设计合适的滤波器系数,实现对姿态和位置的精确估计。互补滤波计算量小,实时性好,但对噪声处理能力相对较弱。
- 基于学习的融合算法:
随着人工智能技术的发展,深度学习、强化学习等方法也开始应用于多源信息融合。例如,利用神经网络学习不同传感器数据之间的复杂关系,实现更精确的状态估计。这类方法通常需要大量的训练数据,且模型复杂度较高。
组合导航系统架构
典型的多旋翼无人机组合导航系统架构通常采用松耦合或紧耦合方式。
- 松耦合:
各传感器独立解算导航信息,然后将解算结果输入到融合算法中进行融合。这种方式结构简单,易于实现,但当单一传感器失效时,可能导致整体性能下降。
- 紧耦合:
将所有传感器原始数据直接输入到融合算法中,共同参与状态估计。这种方式能够充分利用传感器信息,提高系统鲁棒性和精度,尤其在GNSS信号不良或丢失时仍能保持较好的导航性能,但系统设计和实现相对复杂。
挑战与展望
多旋翼无人机组合导航系统中的多源信息融合技术仍面临诸多挑战:
- 传感器误差特性建模:
不同传感器具有复杂的误差特性,准确建模是提高融合精度的关键。
- 环境适应性:
复杂多变的飞行环境对融合算法的鲁棒性提出了更高要求,例如在强干扰、非视距等环境下如何保持导航精度。
- 计算资源限制:
无人机平台对体积、重量和功耗有严格限制,如何在有限计算资源下实现高效实时的融合算法是重要研究方向。
- 故障诊断与容错:
当部分传感器失效或数据异常时,如何及时发现并进行容错处理,保证导航系统的连续性和可靠性。
- 多模态融合:
除了传统传感器,如何有效融合激光雷达、毫米波雷达等新型传感器数据,实现更全面的环境感知和导航。
未来,多旋翼无人机组合导航系统中的多源信息融合技术将朝着以下方向发展:
- 智能化融合:
结合人工智能技术,开发自适应、自学习的融合算法,能够根据环境变化和传感器状态自动调整融合策略。
- 鲁棒性增强:
针对复杂电磁环境和非结构化环境,研究抗干扰、抗欺骗的融合算法,提高系统在恶劣条件下的性能。
- 小型化与低功耗:
结合MEMS(微机电系统)技术和低功耗处理芯片,实现导航模块的小型化、集成化和低功耗。
- 多传感器协同:
不仅是传感器数据的融合,更是不同传感器之间的协同工作,例如视觉与惯性、激光与视觉等,实现优势互补。
结论
多旋翼无人机组合导航系统中的多源信息融合技术是提高无人机导航精度、可靠性和鲁棒性的关键。通过充分利用GNSS、IMU、视觉等多种传感器信息,结合卡尔曼滤波、粒子滤波等先进融合算法,可以有效解决单一导航系统面临的挑战。尽管仍存在诸多研究难题,但随着传感器技术、融合算法和人工智能的不断发展,多源信息融合技术必将为多旋翼无人机在更广阔的应用领域提供精准可靠的导航保障。
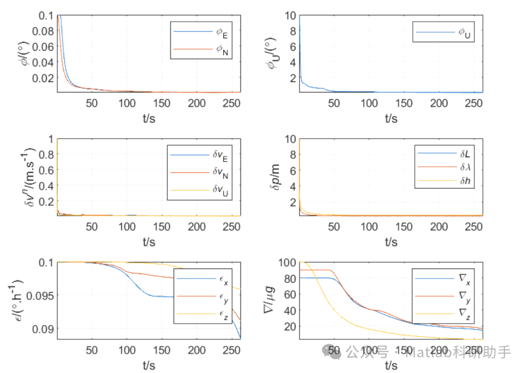
⛳️ 运行结果







🔗 参考文献
[1] 惠怀志,蔡伯根.组合导航信息融合算法的研究[J].北京交通大学学报(自然科学版), 2007.
[2] 刘洋.捷联惯性导航系统设计与信息融合算法研究[J].华南理工大学, 2013.
[3] 惠怀志,蔡伯根.组合导航信息融合算法的研究[J].北京交通大学学报:自然科学版, 2007, 31(2):62-66.DOI:10.3969/j.issn.1673-0291.2007.02.014.
📣 部分代码
🎈 部分理论引用网络文献,若有侵权联系博主删除
👇 关注我领取海量matlab电子书和数学建模资料
🏆团队擅长辅导定制多种科研领域MATLAB仿真,助力科研梦:
🌈 各类智能优化算法改进及应用
生产调度、经济调度、装配线调度、充电优化、车间调度、发车优化、水库调度、三维装箱、物流选址、货位优化、公交排班优化、充电桩布局优化、车间布局优化、集装箱船配载优化、水泵组合优化、解医疗资源分配优化、设施布局优化、可视域基站和无人机选址优化、背包问题、 风电场布局、时隙分配优化、 最佳分布式发电单元分配、多阶段管道维修、 工厂-中心-需求点三级选址问题、 应急生活物质配送中心选址、 基站选址、 道路灯柱布置、 枢纽节点部署、 输电线路台风监测装置、 集装箱调度、 机组优化、 投资优化组合、云服务器组合优化、 天线线性阵列分布优化、CVRP问题、VRPPD问题、多中心VRP问题、多层网络的VRP问题、多中心多车型的VRP问题、 动态VRP问题、双层车辆路径规划(2E-VRP)、充电车辆路径规划(EVRP)、油电混合车辆路径规划、混合流水车间问题、 订单拆分调度问题、 公交车的调度排班优化问题、航班摆渡车辆调度问题、选址路径规划问题、港口调度、港口岸桥调度、停机位分配、机场航班调度、泄漏源定位
🌈 机器学习和深度学习时序、回归、分类、聚类和降维
2.1 bp时序、回归预测和分类
2.2 ENS声神经网络时序、回归预测和分类
2.3 SVM/CNN-SVM/LSSVM/RVM支持向量机系列时序、回归预测和分类
2.4 CNN|TCN|GCN卷积神经网络系列时序、回归预测和分类
2.5 ELM/KELM/RELM/DELM极限学习机系列时序、回归预测和分类
2.6 GRU/Bi-GRU/CNN-GRU/CNN-BiGRU门控神经网络时序、回归预测和分类
2.7 ELMAN递归神经网络时序、回归\预测和分类
2.8 LSTM/BiLSTM/CNN-LSTM/CNN-BiLSTM/长短记忆神经网络系列时序、回归预测和分类
2.9 RBF径向基神经网络时序、回归预测和分类
2.10 DBN深度置信网络时序、回归预测和分类
2.11 FNN模糊神经网络时序、回归预测
2.12 RF随机森林时序、回归预测和分类
2.13 BLS宽度学习时序、回归预测和分类
2.14 PNN脉冲神经网络分类
2.15 模糊小波神经网络预测和分类
2.16 时序、回归预测和分类
2.17 时序、回归预测预测和分类
2.18 XGBOOST集成学习时序、回归预测预测和分类
2.19 Transform各类组合时序、回归预测预测和分类
方向涵盖风电预测、光伏预测、电池寿命预测、辐射源识别、交通流预测、负荷预测、股价预测、PM2.5浓度预测、电池健康状态预测、用电量预测、水体光学参数反演、NLOS信号识别、地铁停车精准预测、变压器故障诊断
🌈图像处理方面
图像识别、图像分割、图像检测、图像隐藏、图像配准、图像拼接、图像融合、图像增强、图像压缩感知
🌈 路径规划方面
旅行商问题(TSP)、车辆路径问题(VRP、MVRP、CVRP、VRPTW等)、无人机三维路径规划、无人机协同、无人机编队、机器人路径规划、栅格地图路径规划、多式联运运输问题、 充电车辆路径规划(EVRP)、 双层车辆路径规划(2E-VRP)、 油电混合车辆路径规划、 船舶航迹规划、 全路径规划规划、 仓储巡逻
🌈 无人机应用方面
无人机路径规划、无人机控制、无人机编队、无人机协同、无人机任务分配、无人机安全通信轨迹在线优化、车辆协同无人机路径规划
🌈 通信方面
传感器部署优化、通信协议优化、路由优化、目标定位优化、Dv-Hop定位优化、Leach协议优化、WSN覆盖优化、组播优化、RSSI定位优化、水声通信、通信上传下载分配
🌈 信号处理方面
信号识别、信号加密、信号去噪、信号增强、雷达信号处理、信号水印嵌入提取、肌电信号、脑电信号、信号配时优化、心电信号、DOA估计、编码译码、变分模态分解、管道泄漏、滤波器、数字信号处理+传输+分析+去噪、数字信号调制、误码率、信号估计、DTMF、信号检测
🌈电力系统方面
微电网优化、无功优化、配电网重构、储能配置、有序充电、MPPT优化、家庭用电
🌈 元胞自动机方面
交通流 人群疏散 病毒扩散 晶体生长 金属腐蚀
🌈 雷达方面
卡尔曼滤波跟踪、航迹关联、航迹融合、SOC估计、阵列优化、NLOS识别
🌈 车间调度
零等待流水车间调度问题NWFSP 、 置换流水车间调度问题PFSP、 混合流水车间调度问题HFSP 、零空闲流水车间调度问题NIFSP、分布式置换流水车间调度问题 DPFSP、阻塞流水车间调度问题BFSP
👇
多旋翼无人机多源信息融合导航算法
1493

被折叠的 条评论
为什么被折叠?



