

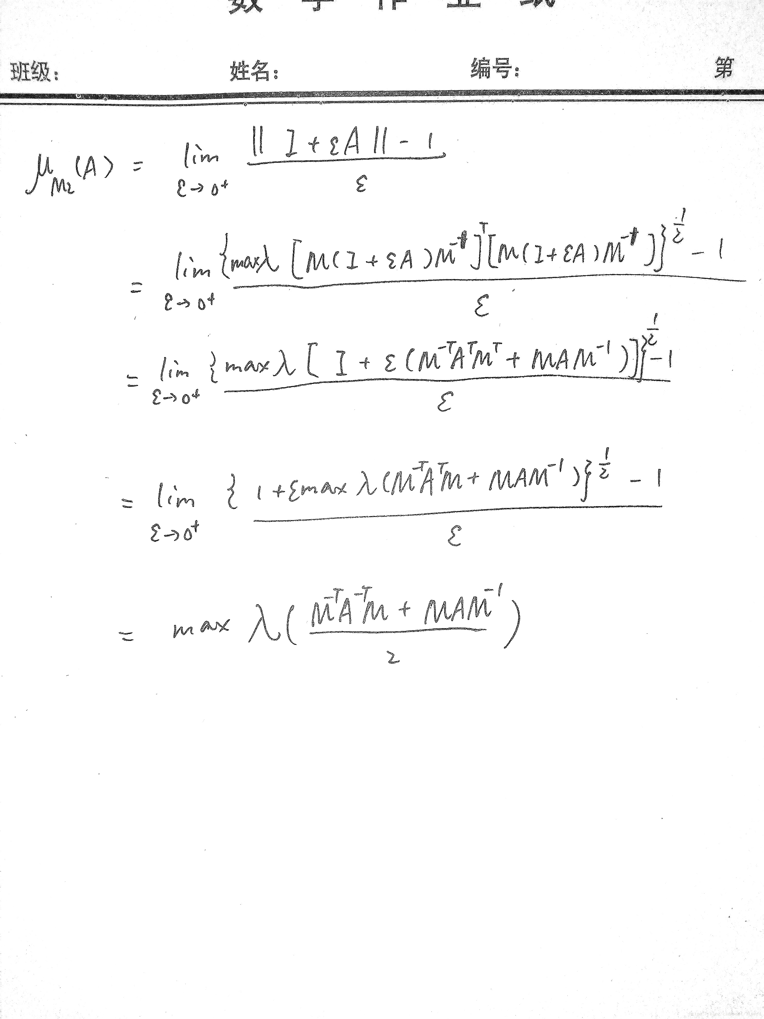
当 M = I ,即单位阵时,对应矩阵的L2诱导范数

当 M = I ,即单位阵时,对应L2诱导范数下的测度。
本文探讨了当矩阵M为单位阵时,L2诱导范数的定义与测量方法,深入解析了其在数学和信息技术领域的应用。


当 M = I ,即单位阵时,对应矩阵的L2诱导范数

当 M = I ,即单位阵时,对应L2诱导范数下的测度。
5384
1401
9575
2535

被折叠的 条评论
为什么被折叠?