https://zhuanlan.zhihu.com/p/122997370
2017年NIPS上的文章"Scalable trust-region method for deep reinforcement learning using Kronecker-factored approximation"提出了一种 Actor Critic using Kronecker-Factored Trust Region(ACKTR)的方法,笔者发现这个方法被普遍引用,但关于论文中的一些细节问题,网上讲解的资料比较少,因此在这里尝试把个人对文章逻辑一些方面的理解写出来,希望可以帮助到其他阅读论文的朋友。
本文的行文顺序为:论文动机-->论文所用到的基本原理-->论文用法-->总结。
一、论文动机
(1)主要目的:为了更加高效地从样本中学习信息,提升采样效率(sample efficiency)。
(2)达到目的的手段:通过使用更高效的梯度更新算法(Natural gradient, 自然梯度)来更新网络的参数,以保证更高效地从样本中学习有效信息,减少对样本量的需求。
这里补充一点,在强化学习中通常认为off-policy的采样效率低于on-policy,因为off-policy中需要优化的目标策略(target policy)和执行动作的策略(behavior policy)不一致,从而导致了需要使用重要度采样(importance sampling)的方法来估计状态-值函数
,而重要度采样又会引入偏差或者高方差的问题,使得样本利用率不是那么高。(这里不展开来写,想看具体原因的朋友可以参考【1】)
采样效率是很多强化学习方面的文章致力解决的问题,比如经典的改进ACER中针对off-policy的采样效率问题提出了重要度裁剪和偏差修正的方法,以保证off-policy在使用重要度采样的时候不至于给状态-值函数
的估计带来过大的方差,同时对偏差也进行了修正。
补充上述信息是为了指出,有很多不同的手段都可以达到提升采样效率的目的,笔者认为ACKTR文章中的一个基本逻辑是:
为了提升采样效率--->可以通过减小样本量--->样本量减小就需要更高的学习效率--->使用更优的梯度更新算法提高学习效率
二、论文所用到的基本原理
ACKTR中主要用到了两个概念的基本原理:自然梯度的定义和克罗内克积(Kronecker product)的性质。
先介绍自然梯度。
现在知道了论文的目的并确定了达成该目的所采用的手段,就需要介绍ACKTR中运用了什么梯度更新算法来提高学习效率,这里就要介绍自然梯度的基本原理了。(以下主要是笔者个人的理解,没有非常艰深的数学推导,不涉及流形,如果理解有误,欢迎指出。)
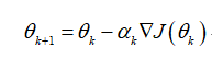
在常见的优化问题中,通常会看到以下参数更新公式:

式(1)
这个优化公式很眼熟了,从负梯度的方向更新参数,目标是最小化函数
。但是这个更新公式的目标函数
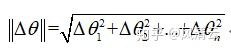
的变化量和参数
的变化量都是在同一个欧式空间中进行度量,参数变化的尺度通常使用欧式距离进行计算,例如:

式(2)
那这种方式是有欠缺的,因为
的增加量是使目标函数
向最小的方向变动。这种度量参数
变化的方式无法体现出参数变化引起的概率属性的变化量。
举个例子,假设有一个随机向量
,以及生成这个随机向量的概率分布
,现在参数
发生了 变化,
,我们目前手里有的衡量工具是衡量
在参数空间的变化尺度(见式(2)),但是却无法衡量这个参数变化对概率分布
的影响。(用简单的例子想,就是一个高斯分布的均值和方差更新了,我们需要知道对这个高斯分布的影响有多大)
要衡量概率分布上的变化,最经典的方式就是采用KL散度(Bregman散度的特例):

给出了两个概率分布之间的距离度量后,可以先简单地对自然梯度产生一个直观认识:
在欧式空间中,最速下降的方向就是负梯度方向,这是因为度量
采用的是范数度量;现在度量方式到了概率分布的空间,最速下降的方向就是自然梯度的方向。
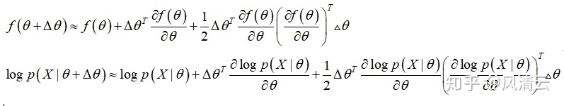
在计算自然梯度的表达式之前,无一例外地都需要化简一下KL散度的表达式。
首先,令
,然后按照二阶泰勒展开式照抄代入:

代入二阶泰勒展开式
把
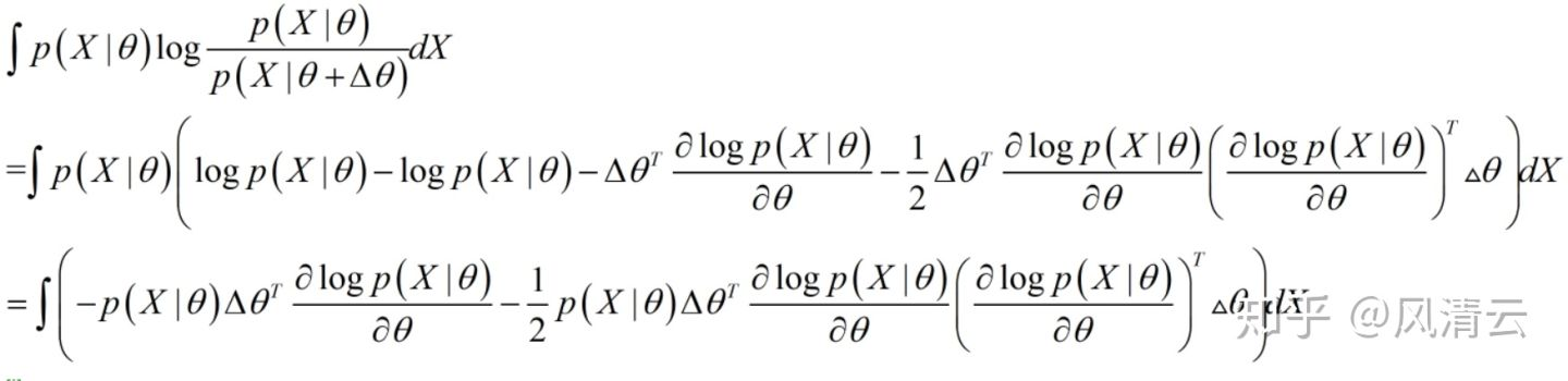
代入KL散度的表达式,那么KL散度的表达式就可以化简为:

代入后简单的对数运算,看似复杂实则不然
然后下一步需要证明一下上式中的第一项的积分是为0的:

这下就得到了KL散度化简后的表达式了:

这中间的这个
叫Fisher信息矩阵,它的定义是对数似然函数关于参数的导数的二阶矩,在上面的表达式中已经很明确了。想具体了解Fisher信息矩阵的定义可以知乎一下。
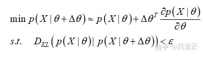
得到了KL散度化简后的表达式后,再回到优化目标上:

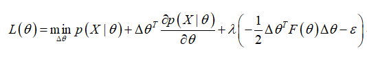
通过拉格朗日乘子法:

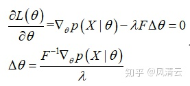
求偏导:

至此,就得到了自然梯度所表示的方向。
克罗内克积的定义和性质都比较简单,这里从百度百科直接摘出:

克罗内克积的定义

这里的vec(C)表示将一个m * n的矩阵向量化为一个 (m*n) * 1的列向量。
三、论文用法
ACKTR主要的贡献就是将自然梯度和克罗内克积应用到了actor-critic的参数更新上。但这中间还涉及到了一个减少计算量的操作,值得介绍一下。
对于一个全连接的神经网络(full-connected network, FCN)来说,假设有网络参数矩阵
,输入层
,输出层
,假设激活函数是常数1,则有
,损失函数为交叉熵损失
。
那么损失关于网络参数的导数为:

值得注意的是这里的维度,由于损失L是标量,对向量
的导数自然和
的维度相同,是m*1维的,而
则是1*n维的,因此L关于参数的导数就是m*n维;
考虑到交叉熵损失最小化和二项分布似然函数的最大化是一致的,在这里就引入了概率分布函数,因此可以计算Fisher信息矩阵(括号内的展开就用到了克罗内克积的性质):

ACKTR中的技巧K-FAC
因此,参数矩阵
就可以使用自然梯度进行更新了:

这里的简化主要在于简化了Fisher信息矩阵的求逆运算。原来的
是一个(m*n)*(m*n)的矩阵,求逆的计算量非常大,简化之后变成了分别对一个n*n的矩阵
和一个m*m的矩阵S求逆,计算量减少了不少。
至此,新的梯度更新算法也有了,关于FCN的参数更新的计算复杂度也减少了,就该应用到Actor-Critic中了:

Actor的Fisher矩阵

Critic的Fisher矩阵
四、总结
笔者个人看来,ACKTR中用到的自然梯度更新,克罗内克积简化参数更新的计算都是借鉴了他人的做法,但是ACKTR是首次将这两个技巧应用到了强化学习的Actor-Critic中的,提升了采样效率。
值得注意的是,Fisher信息矩阵和自然梯度更新都是要和概率分布挂钩的,不能滥用,ACKTR恰好就针对Actor和Critic中的概率分布应用了这两个技巧,也是非常巧妙的。
最后,毕竟是浅谈,如果理解有误,欢迎大家指出,谢谢~
参考文献:
【1】Sutton, Richard S., and Andrew G. Barto.Reinforcement learning: An introduction. MIT press, 2018.
【2】Wu, Yuhuai, et al. "Scalable trust-region method for deep reinforcement learning using kronecker-factored approximation."Advances in neural information processing systems. 2017.
【3】Martens, James, and Roger Grosse. "Optimizing neural networks with kronecker-factored approximate curvature."International conference on machine learning. 2015.
本文深入解析了ACKTR算法,一种结合自然梯度和克罗内克积的Actor-Critic方法,旨在提高强化学习中的采样效率。通过简化Fisher信息矩阵的计算,ACKTR实现了对全连接神经网络参数的有效更新。
7682





