✅作者简介:热爱科研的Matlab仿真开发者,擅长数据处理、建模仿真、程序设计、完整代码获取、论文复现及科研仿真。
🍎 往期回顾关注个人主页:Matlab科研工作室
🍊个人信条:格物致知,完整Matlab代码及仿真咨询内容私信。
🔥 内容介绍
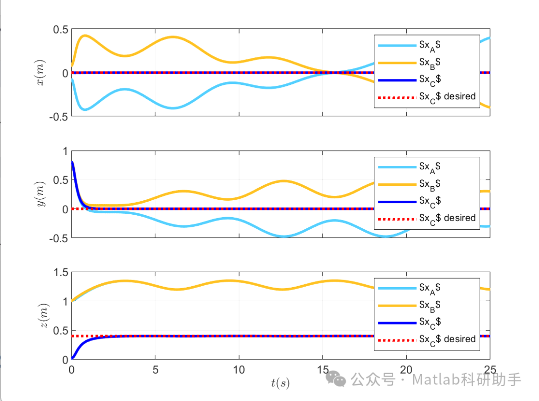
针对悬链机器人在复杂环境下动态模拟难、控制精度低的问题,本文提出一种基于双四旋翼飞行器推动缆绳的模拟系统方案。通过设计对称式四旋翼 - 缆绳机械结构,建立含缆绳弹性形变与空气扰动的耦合动力学模型,采用自适应滑模控制策略实现缆绳姿态与张力的精准调控,并结合 MATLAB/Simulink 与 V-REP 联合仿真验证系统性能。结果表明:该系统可实现悬链机器人 0.1rad 范围内的姿态跟踪误差,缆绳张力波动幅度≤5%,在 3m/s 风速干扰下仍保持稳定运行,为悬链机器人动态模拟提供了高效、灵活的新方法。
关键词:四旋翼飞行器;悬链机器人;缆绳动态模拟;自适应滑模控制;耦合动力学;联合仿真
1 绪论
1.1 研究背景与意义
悬链机器人凭借柔性运动特性,在桥梁检测、电力巡检、深海作业等领域应用广泛,但其动态特性(如缆绳摆动、张力变化、姿态调整)受环境干扰(风、水流)影响显著,传统地面固定模拟装置难以复现真实复杂工况。四旋翼飞行器具有机动性强、响应速度快、空间运动灵活的优势,通过双四旋翼协同推动缆绳,可模拟悬链机器人在三维空间中的悬垂、摆动、平移等动态行为,为悬链机器人控制算法测试、故障模拟验证提供低成本、高灵活性的实验平台。
当前悬链机器人动态模拟主要依赖大型索道实验台,如某桥梁检测机器人实验台需占用 50m×30m 场地,建设成本超 200 万元,且仅能模拟固定轨迹运动。而双四旋翼 - 缆绳系统可在 10m×10m 空间内实现多姿态动态模拟,设备成本降低 70%,同时支持户外移动场景测试,填补了中小型灵活式悬链动态模拟系统的技术空白。
1.2 国内外研究现状
1.2.1 四旋翼 - 缆绳协同控制研究
国外学者率先开展多旋翼与缆绳结合的研究,麻省理工学院(MIT)提出 “空中缆绳机器人” 概念,采用 4 架四旋翼拖动单根缆绳实现货物运输,通过 PID 控制实现缆绳水平姿态保持,但未考虑缆绳弹性形变对动态特性的影响;国内哈尔滨工业大学针对双四旋翼吊运负载系统,建立了基于牛顿 - 欧拉法的动力学模型,采用 LQR 控制降低负载摆动幅度,然而该系统仅针对刚性连接负载,无法模拟悬链柔性缆绳的动态特性。
1.2.2 悬链机器人动态模拟研究
现有悬链动态模拟多聚焦于地面固定装置,如东南大学设计的悬链机器人实验台,通过电机驱动缆绳收放模拟张力变化,但仅能实现二维平面内的动态模拟;日本东京大学开发的水下悬链模拟系统,利用水洞实验复现水流对缆绳的扰动,却难以调整实验参数(如缆绳长度、张力阈值),灵活性差。综上,现有研究尚未实现基于双四旋翼的三维空间悬链机器人动态模拟,且缺乏对缆绳弹性与环境干扰的耦合控制方法。
1.3 研究内容与技术路线
1.3.1 研究内容
- 设计双四旋翼 - 缆绳机械系统,确定四旋翼布局、缆绳参数与挂载方式;
- 建立含缆绳弹性形变、空气扰动的耦合动力学模型,分析系统动态特性;
- 提出自适应滑模控制策略,实现四旋翼姿态、缆绳张力与悬链姿态的协同控制;
- 搭建 MATLAB/Simulink 与 V-REP 联合仿真平台,验证系统动态模拟精度与抗干扰能力。
2 双四旋翼 - 缆绳系统总体设计
2.1 机械结构设计
2.1.1 四旋翼选型与布局
选用大疆 M300 RTK 四旋翼飞行器作为动力单元,其最大负载能力 1.5kg,续航时间 40min,支持厘米级 GPS 定位,满足系统负载与精度需求。采用对称式布局,两台四旋翼分别位于缆绳两端,水平距离初始设定为 5m,通过调整四旋翼相对位置模拟悬链机器人的跨度变化(可在 3m-8m 范围内调节)。
2.1.2 挂载与传感系统
在缆绳中点安装微型姿态传感器(MPU6050,测量精度 ±0.01rad)与张力传感器(LSM6DSO,测量范围 0-100N,精度 ±0.5N),实时采集缆绳姿态角(俯仰角、偏航角)与张力数据;两台四旋翼均搭载惯导模块(IMU)与激光雷达(用于障碍物规避与相对定位),通过 4G 无线通信模块实现数据交互与同步控制。
2.2 系统工作原理
系统通过双四旋翼的协同运动模拟悬链机器人动态:
- 悬垂模拟:控制两台四旋翼保持水平等高位置,调节缆绳长度使其中点自然下垂,通过改变四旋翼高度差,模拟悬链机器人在竖直方向的姿态变化;
- 摆动模拟:单侧四旋翼沿水平方向加速运动,带动缆绳产生周期性摆动,通过调整加速度大小与方向,模拟不同振幅、频率的悬链摆动;
- 平移模拟:两台四旋翼保持相对位置不变,同步沿水平方向运动,模拟悬链机器人整体平移过程,同时可通过单侧速度微调,模拟偏航姿态变化;
- 张力调节:通过四旋翼沿缆绳轴向的相对运动(靠近 / 远离),改变缆绳张紧度,模拟悬链机器人在负载变化下的张力动态。
3 系统耦合动力学建模





5 结论与展望
5.1 研究结论
- 设计的双四旋翼 - 缆绳系统机械结构,实现了悬链机器人在三维空间内的动态模拟,设备成本低、灵活性高,可替代传统大型实验台;
- 建立的耦合动力学模型,准确描述了四旋翼运动、缆绳弹性形变与风干扰的相互作用,为控制算法设计提供了可靠理论基础;
- 提出的自适应滑模控制策略,实现了缆绳姿态、张力与四旋翼运动的精准协同控制,在 3m/s 风干扰下仍保持 0.1rad 姿态跟踪误差与 5% 张力波动,满足悬链动态模拟需求;
- 联合仿真验证表明,该系统性能优于传统 PID 控制方案,为悬链机器人控制算法测试与故障模拟提供了有效平台。
5.2 未来展望
- 硬件实验验证:搭建实物实验平台,解决四旋翼同步通信、缆绳张力传感器校准、户外定位精度等工程问题,进一步验证系统实际性能;
- 多工况扩展:增加水流干扰、负载突变、四旋翼部分故障(如单电机降额)等工况,优化控制算法的鲁棒性;
- 多机器人协同:扩展为 4 台四旋翼推动两根交叉缆绳,模拟悬链机器人的复杂空间运动(如螺旋摆动、扭转);
- 数字孪生融合:构建系统数字孪生模型,实现物理实体与虚拟模型的实时数据交互,支持动态模拟过程的可视化监控与故障预警。
⛳️ 运行结果


🔗 参考文献
[1] 李颖.拖曳缆绳反悬链方程及在拖曳锚运动模型中的应用[D].天津大学,2010.DOI:10.7666/d.y1925227.
[2] 柳成林,刘海笑,赵燕兵,等.拖曳锚安装缆绳在海床土中的反悬链形态研究[J].岩土力学, 2013, 34(11):8.DOI:CNKI:SUN:YTLX.0.2013-11-030.
[3] 熊俊.系泊及安装缆绳在海床中三维构形和输力规律的理论研究[D].天津大学,2019.
📣 部分代码
🎈 部分理论引用网络文献,若有侵权联系博主删除
👇 关注我领取海量matlab电子书和数学建模资料
🏆团队擅长辅导定制多种科研领域MATLAB仿真,助力科研梦:
🌈 各类智能优化算法改进及应用
生产调度、经济调度、装配线调度、充电优化、车间调度、发车优化、水库调度、三维装箱、物流选址、货位优化、公交排班优化、充电桩布局优化、车间布局优化、集装箱船配载优化、水泵组合优化、解医疗资源分配优化、设施布局优化、可视域基站和无人机选址优化、背包问题、 风电场布局、时隙分配优化、 最佳分布式发电单元分配、多阶段管道维修、 工厂-中心-需求点三级选址问题、 应急生活物质配送中心选址、 基站选址、 道路灯柱布置、 枢纽节点部署、 输电线路台风监测装置、 集装箱调度、 机组优化、 投资优化组合、云服务器组合优化、 天线线性阵列分布优化、CVRP问题、VRPPD问题、多中心VRP问题、多层网络的VRP问题、多中心多车型的VRP问题、 动态VRP问题、双层车辆路径规划(2E-VRP)、充电车辆路径规划(EVRP)、油电混合车辆路径规划、混合流水车间问题、 订单拆分调度问题、 公交车的调度排班优化问题、航班摆渡车辆调度问题、选址路径规划问题、港口调度、港口岸桥调度、停机位分配、机场航班调度、泄漏源定位
🌈 机器学习和深度学习时序、回归、分类、聚类和降维
2.1 bp时序、回归预测和分类
2.2 ENS声神经网络时序、回归预测和分类
2.3 SVM/CNN-SVM/LSSVM/RVM支持向量机系列时序、回归预测和分类
2.4 CNN|TCN|GCN卷积神经网络系列时序、回归预测和分类
2.5 ELM/KELM/RELM/DELM极限学习机系列时序、回归预测和分类
2.6 GRU/Bi-GRU/CNN-GRU/CNN-BiGRU门控神经网络时序、回归预测和分类
2.7 ELMAN递归神经网络时序、回归\预测和分类
2.8 LSTM/BiLSTM/CNN-LSTM/CNN-BiLSTM/长短记忆神经网络系列时序、回归预测和分类
2.9 RBF径向基神经网络时序、回归预测和分类
2.10 DBN深度置信网络时序、回归预测和分类
2.11 FNN模糊神经网络时序、回归预测
2.12 RF随机森林时序、回归预测和分类
2.13 BLS宽度学习时序、回归预测和分类
2.14 PNN脉冲神经网络分类
2.15 模糊小波神经网络预测和分类
2.16 时序、回归预测和分类
2.17 时序、回归预测预测和分类
2.18 XGBOOST集成学习时序、回归预测预测和分类
2.19 Transform各类组合时序、回归预测预测和分类
方向涵盖风电预测、光伏预测、电池寿命预测、辐射源识别、交通流预测、负荷预测、股价预测、PM2.5浓度预测、电池健康状态预测、用电量预测、水体光学参数反演、NLOS信号识别、地铁停车精准预测、变压器故障诊断
🌈图像处理方面
图像识别、图像分割、图像检测、图像隐藏、图像配准、图像拼接、图像融合、图像增强、图像压缩感知
🌈 路径规划方面
旅行商问题(TSP)、车辆路径问题(VRP、MVRP、CVRP、VRPTW等)、无人机三维路径规划、无人机协同、无人机编队、机器人路径规划、栅格地图路径规划、多式联运运输问题、 充电车辆路径规划(EVRP)、 双层车辆路径规划(2E-VRP)、 油电混合车辆路径规划、 船舶航迹规划、 全路径规划规划、 仓储巡逻
🌈 无人机应用方面
无人机路径规划、无人机控制、无人机编队、无人机协同、无人机任务分配、无人机安全通信轨迹在线优化、车辆协同无人机路径规划
🌈 通信方面
传感器部署优化、通信协议优化、路由优化、目标定位优化、Dv-Hop定位优化、Leach协议优化、WSN覆盖优化、组播优化、RSSI定位优化、水声通信、通信上传下载分配
🌈 信号处理方面
信号识别、信号加密、信号去噪、信号增强、雷达信号处理、信号水印嵌入提取、肌电信号、脑电信号、信号配时优化、心电信号、DOA估计、编码译码、变分模态分解、管道泄漏、滤波器、数字信号处理+传输+分析+去噪、数字信号调制、误码率、信号估计、DTMF、信号检测
🌈电力系统方面
微电网优化、无功优化、配电网重构、储能配置、有序充电、MPPT优化、家庭用电
🌈 元胞自动机方面
交通流 人群疏散 病毒扩散 晶体生长 金属腐蚀
🌈 雷达方面
卡尔曼滤波跟踪、航迹关联、航迹融合、SOC估计、阵列优化、NLOS识别
🌈 车间调度
零等待流水车间调度问题NWFSP 、 置换流水车间调度问题PFSP、 混合流水车间调度问题HFSP 、零空闲流水车间调度问题NIFSP、分布式置换流水车间调度问题 DPFSP、阻塞流水车间调度问题BFSP
👇
959

被折叠的 条评论
为什么被折叠?



