动机:可见光(RGB)传感器难以处理雾和低光等复杂场景,而依赖RGB和热红外(T)传感器的多光谱视觉能够实现更鲁棒的感知。

问题:现有的方法多为任务导向,通过手工定制的模型来解决特定问题。但是,这种范式受限于人工偏差,模态偏置和数据瓶颈。
分析:基础模型具有编码大量知识的能力,能够解决这些限制。但是,仍需要解决缺乏大规模数据集和RGB与T信息不平衡的问题。
数据集:

基于现有数据集,构建了一个大规模数据集RGBT550K用于自监督预训练。具体来说,从RGBT图像和视频任务数据集中选取样本,通过随机采样视频帧避免样本冗余,使用SSIM(值小于0.8)过滤缺乏目标信息和低质量样本。
方法:

- 采用基于掩码自编码器的基于Siamese的架构(提取一致的模态表示),用于跨模态自监督学习。

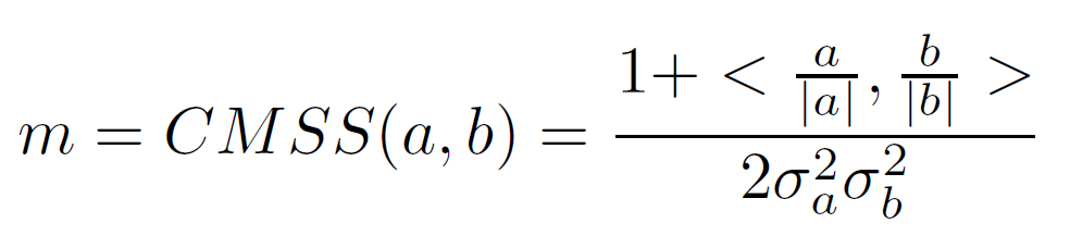
- 掩码策略方面,引入跨模态结构稀疏性(CMSS)指标来量化模态间的信息密度,从而能够实现由易到难的渐进式掩码策略:
-
基于相似度(正相关)和结构方差(负相关)定义CMSS,以计算出整个数据集每个样本的信息密度m,密度越高信息量/语义越少(例如天空),密度越低信息量/语义越多。

-
通过最大似然估计使用高斯混合模型(GMM)来拟合m的全局分布P(m),这里使用了EM算法在线更新可学习参数使得P(m)逐步稳定。



-
基于GMM分布设计采样函数S(x),通过控制参数K,μ,Σ来控制采样区间x:μ越小,区间越低,CMSS越低,信息量越多,则对应前景区域。在逐步调大μ的过程中,训练也由易到难,未mask区域从前景样本->背景样本。

实验:


- 在4 类任务(检测/分割/匹配/SOD)的11 个数据集上验证了方法在下游任务上的泛化性。

- 消融实验验证了预训练模型、多模态的表征结构、掩码策略、解码器(自注意力层)深度和掩码比率的影响。
那么,如何系统的去学习大模型LLM?
作为一名深耕行业的资深大模型算法工程师,我经常会收到一些评论和私信,我是小白,学习大模型该从哪里入手呢?我自学没有方向怎么办?这个地方我不会啊。如果你也有类似的经历,一定要继续看下去!这些问题啊,也不是三言两语啊就能讲明白的。
所以我综合了大模型的所有知识点,给大家带来一套全网最全最细的大模型零基础教程。在做这套教程之前呢,我就曾放空大脑,以一个大模型小白的角度去重新解析它,采用基础知识和实战项目相结合的教学方式,历时3个月,终于完成了这样的课程,让你真正体会到什么是每一秒都在疯狂输出知识点。
由于篇幅有限,⚡️ 朋友们如果有需要全套 《2025全新制作的大模型全套资料》,扫码获取~

👉大模型学习指南+路线汇总👈
我们这套大模型资料呢,会从基础篇、进阶篇和项目实战篇等三大方面来讲解。


👉①.基础篇👈
基础篇里面包括了Python快速入门、AI开发环境搭建及提示词工程,带你学习大模型核心原理、prompt使用技巧、Transformer架构和预训练、SFT、RLHF等一些基础概念,用最易懂的方式带你入门大模型。

👉②.进阶篇👈
接下来是进阶篇,你将掌握RAG、Agent、Langchain、大模型微调和私有化部署,学习如何构建外挂知识库并和自己的企业相结合,学习如何使用langchain框架提高开发效率和代码质量、学习如何选择合适的基座模型并进行数据集的收集预处理以及具体的模型微调等等。

👉③.实战篇👈
实战篇会手把手带着大家练习企业级的落地项目(已脱敏),比如RAG医疗问答系统、Agent智能电商客服系统、数字人项目实战、教育行业智能助教等等,从而帮助大家更好的应对大模型时代的挑战。

👉④.福利篇👈
最后呢,会给大家一个小福利,课程视频中的所有素材,有搭建AI开发环境资料包,还有学习计划表,几十上百G素材、电子书和课件等等,只要你能想到的素材,我这里几乎都有。我已经全部上传到优快云,朋友们如果需要可以微信扫描下方优快云官方认证二维码免费领取【保证100%免费】

相信我,这套大模型系统教程将会是全网最齐全 最易懂的小白专用课!!
1万+

被折叠的 条评论
为什么被折叠?



